Seasonal and Spatial Variability of Dissolved Nutrients in the Yenisei River
Abstract
1. Introduction
2. Materials and Methods
2.1. River Basin
2.2. River Water Sampling and Dissolved Nutrient Measurements
2.3. Discharge and Nutrient Flux
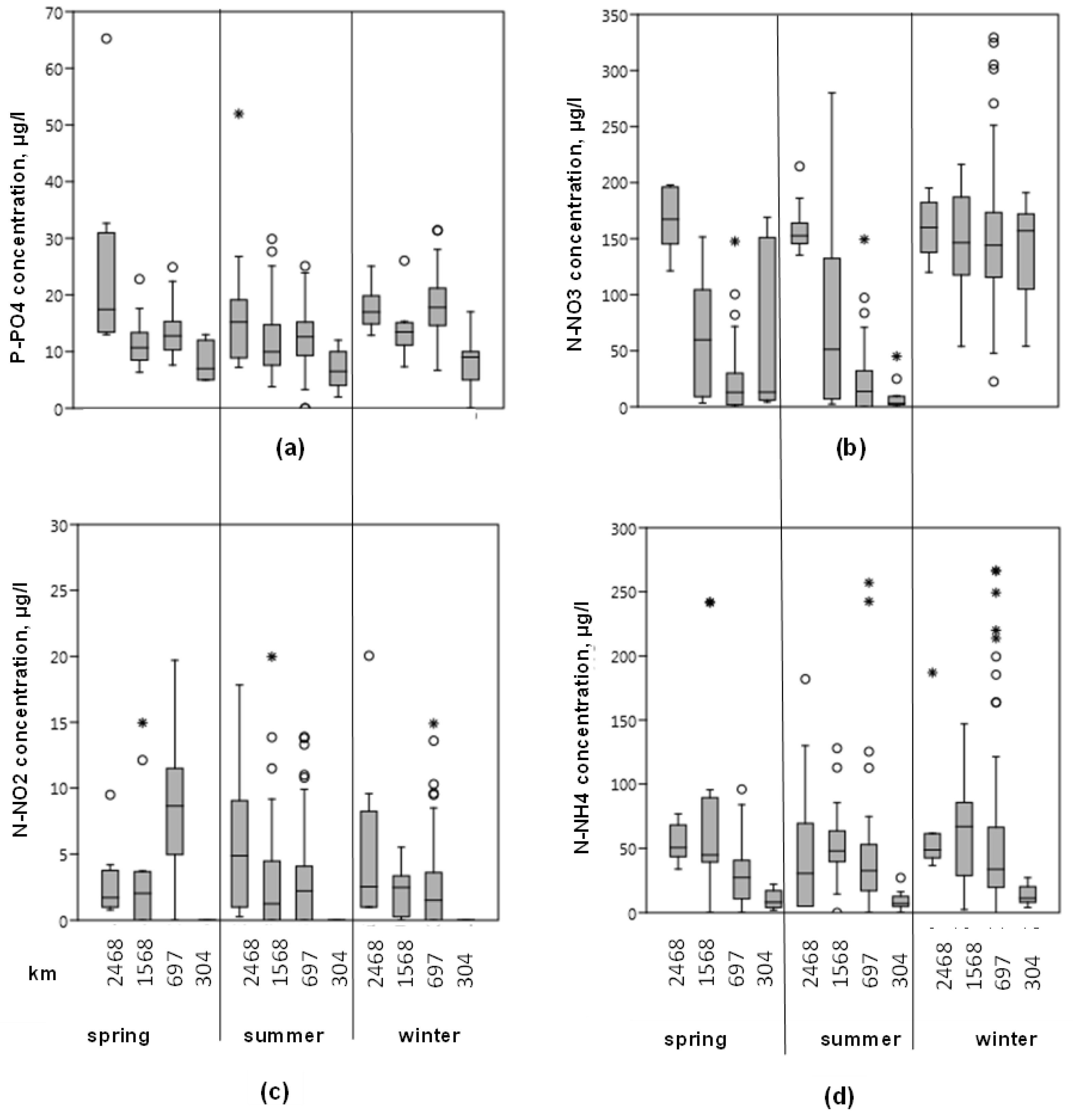
3. Results
3.1. Hydrological Regime
3.2. Nutrients in the Upper Section
3.3. Nutrients in the Middle Section
3.4. Nutrients in the Lower Section
3.5. Nutrient Loads
4. Discussion
5. Conclusions
Author Contributions
Funding
Data Availability Statement
Acknowledgments
Conflicts of Interest
References
- Lobbes, J.M.; Fitznar, H.P.; Kattner, G. Biogeochemical characteristics of dissolved and particulate organic matter in Russian rivers entering the Arctic Ocean. Geochim. Cosmochim. Acta 2000, 64, 2973–2983. [Google Scholar] [CrossRef]
- Dittmar, T.; Kattner, G. The biogeochemistry of the river and shelf ecosystem of the Arctic Ocean: A review. Mar. Chem. 2003, 83, 103–120. [Google Scholar] [CrossRef]
- Prokushkin, A.S.; Tokareva, I.V.; Prokushkin, S.G.; Abaimov, A.P.; Guggenberger, G. Fluxes of dissolved organic matter in larch forests of permafrost zone of Siberia. Russ. J. Ecol. 2008, 39, 153–161. [Google Scholar] [CrossRef]
- Amon, R.M.W.; Rinehart, A.J.; Duan, S.; Louchouarn, P.; Prokushkin, A.; Guggenberger, G.; Bauch, D.; Stedmon, C.; Raymond, P.A.; Holmes, R.M.; et al. Dissolved organic matter sources in large Arctic rivers. Geochim. Cosmochim. Acta 2012, 94, 217–237. [Google Scholar] [CrossRef]
- Arctic Monitoring and Assessment Programme. Arctic Climate Impact Assessment; Cambridge University Press: New York, NY, USA, 2005; 1042p, Available online: http://www.acia.uaf.edu (accessed on 8 September 2022).
- Report on Climate Features on the Territory of the Russian Federation for 2017 IGCE; Russian Federation: Moscow, Russia, 2018; p. 69.
- Lawrence, D.M.; Slater, A.G. A projection of near-surface permafrost degradation during the 21st century. Geophys. Res. 2005, 32, L24401. [Google Scholar] [CrossRef]
- Biskaborn, B.K.; Smith, S.L.; Noetzli, J.; Matthes, H.; Vieira, G.; Streletskiy, D.A. Permafrost is warming at a global scale. Nat. Commun. 2019, 10, 264. [Google Scholar] [CrossRef]
- Schuur, E.A.G.; Abbott, B.W. Climate Change: High Risk of Permafrost Thaw. Nature 2011, 480, 32–33. [Google Scholar] [CrossRef]
- Tarnocai, C.; Canadell, J.G.; Schuur, E.A.G.; Kuhry, P.; Mazhitova, G.; Zimov, S. Soil organic carbon pools in the northern circumpolar permafrost region. Glob. Chang. Biol. 2009, 23, GB20237. [Google Scholar] [CrossRef]
- Dessert, C.; Dupré, B.; Gaillardet, J.; François, L.M.; Allègre, C.J. Basalt weathering laws and the impact of basalt weathering on the global carbon cycle. Chem. Geol. 2003, 202, 257–273. [Google Scholar] [CrossRef]
- Tank, S.E.; Manizza, M.; Holmes, R.M.; McClelland, J.W.; Peterson, B.J. The processing and impact of dissolved riverine nitrogen in the Arctic Ocean. Estuar. Coast. 2012, 35, 401–415. [Google Scholar] [CrossRef]
- MacLean, R.; Oswood, M.W.; Irons, J.G.; McDowell, W.H. The effect of permafrost on stream biogeochemistry: A case study of two streams in the Alaskan (USA) taiga. Biogeochemistry 1999, 47, 239–267. [Google Scholar] [CrossRef]
- Camill, P. Permafrost thaw accelerates in boreal peatlands during late-20th century climate warming. Clim. Chang. 2005, 68, 135–152. [Google Scholar] [CrossRef]
- McGuire, A.D.; Anderson, L.G.; Christensen, T.R.; Dallimor, S.; Guo, L.; Hayes, D.J.; Heimann, M.; Lorenson, T.D.; Macdonald, R.W.; Roulet, N. Sensitivity of the carbon cycle in the Arctic to climate change. Ecol. Monogr. 2009, 79, 523–555. [Google Scholar] [CrossRef]
- Frey, K.E.; Smith, L.C. Amplified carbon release from vast west Siberian peatlands by 2100. Geophys. Res. Lett. 2005, 32, L09401. [Google Scholar] [CrossRef]
- Frey, K.E.; McClelland, J.W.; Holmes, R.M.; Smith, L.C. Impacts of climate warming and permafrost thaw on the riverine transport of nitrogen and phosphorus to the Kara Sea. J. Geophys. Res. 2007, 112, 1–10. [Google Scholar] [CrossRef]
- Vonk, J.E.; Tank, S.E.; Bowden, W.B.; Laurion, I.; Vincent, W.F.; Alekseychik, P.; Amyot, M.; Billet, M.F.; Canário, J.; Cory, R.M.; et al. Reviews and syntheses: Effects of permafrost thaw on Arctic aquatic ecosystems. Biogeosciences 2015, 12, 7129–7167. [Google Scholar] [CrossRef]
- McClelland, J.W.; Holmes, R.M.; Peterson, B.J.; Raymond, P.A.; Striegl, R.G.; Zhulidov, A.V.; Zimov, S.A.; Zimov, N.; Tank, S.E.; Spencer, R.G.M.; et al. Particulate organic carbon and nitrogen export from major Arctic rivers. Glob. Biogeochem. Cycles 2016, 30, 629–643. [Google Scholar] [CrossRef]
- Sanders, T.; Fiencke, C.; Fuchs, M.; Haugk, C.; Juhls, B.; Mollenhauer, G.; Ogneva, O.; Overduin, P.; Palmtag, J.; Povazhniy, V.; et al. Seasonal nitrogen fluxes of the Lena River Delta. Ambio 2022, 51, 423–438. [Google Scholar] [CrossRef]
- Peterson, B.J.; Holmes, R.M.; McClelland, J.W.; Vörösmarty, C.J.; Lammers, R.B.; Shiklomanov, A.I.; Shiklomanov, I.A.; Rahmstorf, S. Increasing river discharge to the Arctic Ocean. Science 2002, 298, 2171–2173. [Google Scholar] [CrossRef]
- Wu, P.; Wood, R.; Stott, P. Human influence on increasing Arctic river discharges. Geophys. Res. Lett. 2005, 32, L02703. [Google Scholar] [CrossRef]
- Pavelsky, T.M.; Smith, L.C. Intercomparison of four global precipitation data sets and their correlation with increased Eurasian river discharge to the Arctic Ocean. J. Geophys. Res. 2006, 111, D21112. [Google Scholar] [CrossRef]
- Smith, L.C.; Sheng, Y.; MacDonald, G.M. A First Pan-Arctic Assessment of the Influence of Glaciation, Permafrost, Topography and Peatlands on Northern Hemisphere Lake Distribution. Permafr. Periglac. Process. 2007, 18, 201–208. [Google Scholar] [CrossRef]
- Fabre, C.; Sauvage, S.; Tananaev, N.; Noël, G.E.; Teisserenc, R.; Probst, J.L.; Sanchez Perez, J.M. Assessment of sediment and organic carbon exports into the Arctic ocean: The case of the Yenisei River basin. Water Res. 2019, 158, 118–135. [Google Scholar] [CrossRef] [PubMed]
- Kasurinen, V.; Alfredsen, K.; Ojala, A.; Pumpanen, J.; Weyhenmeyer, G.A.; Futter, M.N.; Laudon, H.; Berninger, F. Modeling nonlinear responses of DOC transport in boreal catchments in Sweden. Water Resour. Res. 2016, 52, 4970–4989. [Google Scholar] [CrossRef]
- Dai, M.; Su, J.; Zhao, Y.; Hofmann, E.; Cao, Z.; Cai, W.-J.; Gan, J.; Lacroix, F.; Laruelle, G.G.; Meng, F.; et al. Carbon Fluxes in the Coastal Ocean: Synthesis, Boundary Processes, and Future Trends. Annu. Rev. Earth Planet. Sci. 2022, 50, 593–626. [Google Scholar] [CrossRef]
- Ekholm, N.P. Ratios in Estimating Nutrient Limitation in Aquatic Systems; Finnish Environment Institute: Helsingfors, Finland, 2008; pp. 11–14. [Google Scholar]
- Diemer, L.A.; McDowell, W.H.; Wymore, A.S.; Prokushkin, A.S. Nutrient uptake along a fire gradient in boreal streams of Central Siberia. Freshw. Sci. 2015, 34, 1443–1456. [Google Scholar] [CrossRef]
- Voigt, C.; Marushchak, M.E.; Abbott, B.W.; Biasi, C.; Elberling, B.; Siciliano, S.D.; Sonnentag, O.; Stewart, K.J.; Yang, Y.; Martikainen, P.J. Nitrous oxide emissions from permafrost-affected soils. Nat. Rev. Earth Environ. 2020, 1, 420–434. [Google Scholar] [CrossRef]
- Braakhekke, M.C.; Rebel, K.T.; Dekker, S.C.; Smith, B.; Beusen, A.H.W.; Wassen, M.J. Nitrogen leaching from natural ecosystems under global change: A modelling study. Earth Syst. Dynam. 2017, 8, 1121–1139. [Google Scholar] [CrossRef]
- Schimel, J.P.; Bennett, J. Nitrogen mineralization: Challenges of a changing paradigm. Ecology 2004, 85, 591–602. [Google Scholar] [CrossRef]
- Rasmussen, L.H.; Michelsen, A.; Ladegaard-Pedersen, P.; Nielsen, C.S.; Elberling, B. Arctic soil water chemistry in dry and wet tundra subject to snow addition, summer warming and herbivory simulation. Soil Biol. Biochem. 2020, 141, 107676. [Google Scholar] [CrossRef]
- Buckeridge, K.; Zufelt, E.; Chu, H. Grogan, Soil nitrogen cycling rates in low arctic shrub tundra are enhanced by litter feedbacks. Plant Soil 2010, 330, 407–421. [Google Scholar] [CrossRef]
- Abbott, B.W.; Jones, J.B. Permafrost collapse alters soil carbon stocks, respiration, CH4, and N2O in upland tundra. Glob. Chang. Biol. 2015, 21, 4570–4587. [Google Scholar] [CrossRef] [PubMed]
- Hawkings, J.; Wadham, J.; Tranter, M.; Telling, J.; Bagshaw, E.; Beaton, A.; Simmons, S.L.; Chandler, D.; Tedstone, A.; Nienow, P. The Greenland Ice Sheet as a hot spot of phosphorus weathering and export in the Arctic. Glob. Biogeochem. Cycles 2016, 30, 191–210. [Google Scholar] [CrossRef]
- Zhang, S.M.; Mu, C.C.; Li, Z.L.; Dong, W.W.; Wang, X.Y.; Streletskaya, I.; Grebenets, V.; Sokratov, S.; Kizyakov, A.; Wu, X.D. Export of nutrients and suspended solids from major Arctic rivers and their response to permafrost degradation. Adv. Clim. Chang. Res. 2021, 12, 466–474. [Google Scholar] [CrossRef]
- Terhaar, J.; Lauerwald, R.; Regnier, P.; Gruber, N.; Bopp, L. Around one third of current Arctic Ocean primary production sustained by rivers and coastal erosion. Nat. Commun. 2021, 12, 1–10. [Google Scholar] [CrossRef]
- Holmes, R.M.; McClelland, J.W.; Peterson, B.J.; Tank, S.E.; Bulygina, E.; Eglinton, T.I.; Gordeev, V.V.; Gurtovaya, T.Y.; Raymond, P.A.; Repeta, D.J.; et al. Seasonal and Annual Fluxes of Nutrients and Organic Matter from Large Rivers to the Arctic Ocean and Surrounding Seas. Estuaries Coasts 2012, 35, 369–382. [Google Scholar] [CrossRef]
- Gebhardt, A.C.; Gaye-Haakeb, B.; Unger, D.; Lahajnarb, N.; Ittekkot, V. Recent particulate organic carbon and total suspended matter fluxes from the Ob and Yenisei Rivers into the Kara Sea (Siberia). Mar. Geol. 2004, 207, 225–245. [Google Scholar] [CrossRef]
- Hessen, D.O.; Carroll, J.; Kjeldstad, B.; Korosov, A.A.; Pettersson, L.H.; Pozdnyakov, D.; Sørensen, K. Input of organic carbon as determinant of nutrient fluxes, light climate and productivity in the Ob and Yenisey estuaries. Estuar. Coast. Shelf Sci. 2010, 88, 53–62. [Google Scholar] [CrossRef]
- Driukker, V.V.; Sorokovikova, L.M.; Gorshkova, A.S. Ecological status of the Yenisei River in the modern period and strategy of designing new reservoirs in the Yenisei River basin. In Proceedings of the 8th International Conference “The Rivers of Siberia and the Far”, Irkutsk, Russia, 6–7 June 2013. 140p. [Google Scholar]
- Ponomareva, Y.A. The chemical composition of water and the structure of phytoplankton in the downstream of the Krasnoyarsk hydroelectric power station. Electr. Eng. Hydroelectr. Power 2013, 183–188. [Google Scholar]
- Bessudova, A.Y.; Sorokovikova, L.M.; Firsova, A.D.; Tomberg, I.V. The present state of the waters in the lower reach of the Yenisei River. Geogr. Nat. Resour. 2014, 35, 93–99. [Google Scholar]
- Tolomeev, A.P.; Anischenko, O.V.; Kravchuk, E.S.; Kolmakova, O.V.; Gluschenko, L.A.; Mahutova, O.N.; Kolmakova, A.A.; Kolmakov, V.I.; Trusova, M.Y.; Suschik, N.N.; et al. Component Elements of the Carbon Cycle in the Middle and Lower Yenisei River Ecosystem. Contemp. Probl. Ecol. 2014, 7, 489–500. [Google Scholar] [CrossRef]
- Prokushkin, A.S.; Pokrovsky, O.S.; Korets, M.A.; Rubtsov, A.; Titov, S.V.; Tokareva, I.V.; Kolosov, R.A.; Amon, R.M.W. Sources of Dissolved Organic Carbon in Rivers of the Yenisei River Basin. Dokl. Earth Sci. 2018, 480, 763–766. [Google Scholar] [CrossRef]
- Grese, V.N. Fish forage resources of the Yenisei River and their utilization. Bull. Inst. Fresh Water Fish. 1957, 41, 15. (In Russian) [Google Scholar]
- Brown, J.; Ferrians, O.J., Jr.; Heginbottom, J.A.; Melnikov, E.S. Circum-Arctic Map of Permafrost and Ground-Ice Conditions; Digital Media; revised February 2001; National Snow and Ice Data Center/World DataCenter for Glaciology: Boulder, CO, USA, 1998. [Google Scholar]
- Surface and Groundwater Resources, Their Use and Quality. Annual Editions 2015–2018; The Russian Federal Service for Hydrometeorology and Environmental Monitoring (Roshydromet): St. Petersburg, Russia, 2019.
- Creed, I.F.; McKnight, D.M.; Pellerin, B.A.; Green, M.B.; Bergamaschi, B.A.; Aiken, G.R.; Burns, D.A.; Findlay, S.E.G.; Shanley, J.B.; Striegl, R.G.; et al. The river as a chemostat: Fresh perspectives on dissolved organic matter flowing down the river continuum. Can. J. Fish. Aquat. Sci. 2015, 72, 1272–1285. [Google Scholar] [CrossRef]
- Anishchenko, O.V.; Gladyshev, M.I.; Kravchuk, E.S.; Ivanova, E.A.; Gribovskaya, I.V.; Sushchik, N.N. Seasonal variations of metal concentrations in periphyton and taxonomic composition of the algal community at a Yenisei River littoral site. Cent. Eur. J. Biol. 2010, 5, 125–134. [Google Scholar] [CrossRef]
- Sorokovikova, L.M.; Bashenkhaeva, N.V. The Yenisei River: Water Quality and Eutrophication. Water Res. 2000, 27, 453. [Google Scholar]
- Tokareva, I.V.; Prokushkina, M.P.; Korets, M.A.; Panov, A.V.; Georgiadi, A.G.; Prokushkin, A.S. Changes in the Concentration and Flux of Dis solved Biogenic Elements in the Yenisei River. Russ. Meteorol. Hydrol. 2022, 47, 133–140. [Google Scholar] [CrossRef]
- Volkova, N.I. Biological Research of the Krasnoyarsk Reservoir; Nauka: Novosibirsk, Russia, 1975; pp. 36–43. [Google Scholar]
- Gold, Z.G. Ecological monitoring of the Krasnoyarsk reservoir (principles, stages of organization, scheme, model). Bull. Kras GAU 2003, 5, 69–77. [Google Scholar]
- Ekholm, P.; Malve, O.; Kirkkala, T. Internal and external loading as regulators of nutrient concentrations in the agriculturally loaded Lake Pyhäjärvi (southwest Finland). Hydrobiologia 1997, 345, 3–14. [Google Scholar] [CrossRef]
- Pacific, V.; Jencso, K.; McGlynn, B.L. Variable flushing mechanisms and landscape structure control stream DOC export during snowmelt in a set of nested catchments. Biogeochemistry 2010, 99, 193–211. [Google Scholar] [CrossRef]
- Gladyshev, M.I.; Gribovskaya, I.V.; Adamovich, V.V. Disappearance of phenol in water samples taken from the Yenisei River and the Krasnoyarsk reservoir. Water Res. 1993, 27, 1063–1070. [Google Scholar] [CrossRef]
- Mineeva, N.M.; Shchur, L.A. Comparative Analysis of Phytoplankton Habitat in Large River Systems in Different Climatic Zones: Case Study of the Volga and Yenisei Rivers. Water Res. 2014, 41, 188. [Google Scholar] [CrossRef]
- Vannote, R.L.; Minshall, G.W.; Cummins, K.W.; Sedell, J.R.; Cushing, C.E. The river continuum concept. Can. J. Fish. Aquat. Sci. 1980, 37, 130–137. [Google Scholar] [CrossRef]
- Galaziy, G.I. (Ed.) Production and Hydrobiological Research of the Yenisei; Nauka: Novosibirsk, Russia, 1993; p. 195. [Google Scholar]
- Magritskiy, D.V.; Efimova, L.E.; Zaslavskaya, M.B. Changes in the flow of the Yenisei and its tributaries in regulated conditions. In Proceedings of the International Scientific and Practical Conference “Modern Problems of Reservoirs and their Catchments”, Perm, Russia, 28 May–1 June 2007; Volume 1, pp. 92–96. [Google Scholar]
- Aponasenko, A.D.; Shchur, L.A.; Driukker, V.V.; Sorokovikova, L.M. The effect of tributaries on the environmental conditions in the Enisei River. Water Res. 2010, 37, 817–824. [Google Scholar] [CrossRef]
- Dornblaser, M.M.; Striegl, R.G. Nutrient (N, P) loads and yields at multiple scales and subbasin types in the Yukon River basin, Alaska. J. Geophys. Res. Biogeosci. 2007, 112, 675–717. [Google Scholar] [CrossRef]
- Forina, Y.A.; Shesterkin, V. Peculiarities of the chemical composition of river waters on the eastern macroslope of the Northern Sikhote-Alin. Geogr. Nat. Resour. 2010, 3, 81–87. [Google Scholar]
- Codispoti, L.A.; Christensen, J. Nitrification, denitrification and nitrous oxide cycling in the eastern tropical South Pacific ocean. Mar. Chem. 1985, 16, 277–300. [Google Scholar] [CrossRef]
- Tremblay, J.-É.; Anderson, L.G.; Matrai, P.; Coupel, P.; Bélanger, S.; Michel, C.; Reigstad, M. Global and regional drivers of nutrient supply, primary production and CO2 drawdown in the changing Arctic Ocean. Prog. Oceanogr. 2015, 139, 171–196. [Google Scholar] [CrossRef]
- Redfield, A.C. The biological control of chemical factors in the environment. Am. Sci. 1958, 46, 205–221. [Google Scholar]
- Mikhailov, V.N. Mouths of Rivers in Russia and Neighboring Countries: Past, Present and Future; GEOS: Moscow, Russia, 1997; 413p. [Google Scholar]
- Gaidenok, N.D.; Perezhilin, A.I.; Chmarkova, G.M. Analysis of the functioning of the ecosystem of the Yenisei River. Bull. Kras GAU 2010, 10, 99–105. [Google Scholar]



| Nutrient | Instrument | Method | Detection Limits |
|---|---|---|---|
| P-PO4 | Flow injection analyzer Lachat Quikchem 8500 (Loveland, CO, USA) | 10-115-01-1-M | ≥0.1 µgP/L |
| N-NO3 | Flow injection analyzer Lachat Quikchem 8500 (Loveland, CO, USA) | 10-107-04-1-O | ≥7 µgN/L |
| N-NO2 | Flow injection analyzer Lachat Quikchem 8500 (Loveland, CO, USA) | 10-107-04-1-O | ≥1.5 µgN/L |
| N-NH4 | Flow injection analyzer Lachat Quikchem 8500 (Loveland, CO, USA) | 10-107-06-5-H | ≥0.46 µgN/L |
| Period | Bazaikha | Bor | Igarka |
|---|---|---|---|
| Water discharge, m3/s (% of annual flow) | |||
| Spring flood (2015–2018) | 2650 ± 200 (19) | 20,150 ± 1500 (36) | 46,530 ± 6620 (44) |
| Long-term mean | 3110 * | 25,780 ** | 53,220 *** |
| Summer–fall (2015–2018) | 2800 ± 60 (36) | 9690 ± 290 (34) | 16,400 ± 1070 (31) |
| Long-term mean | 3020 | 11,150 | 18,540 |
| Winter low flow (2015–2018) | 2150 ± 110 (45) | 5610 ± 230 (30) | 8940 ± 880 (25) |
| Long-term mean | 2490 | 6440 | 7020 |
| Annual (2015–2018) | 2660 | 9680 | 17,290 |
| Annual long-term mean | 2800 | 10,860 | 18,520 |
| Hydrological Period | Bazaikha | Bor | Igarka | Dudinka * | ||||
|---|---|---|---|---|---|---|---|---|
| DIN | N:P | DIN | N:P | DIN | N:P | DIN | N:P | |
| Spring flood | 221 ± 37 | 20 | 149 ± 78 | 29 | 59 ± 39 | 10 | 81 ± 85 | 22 |
| Summer–fall | 210 ± 58 | 25 | 134 ± 81 | 23 | 72 ± 56 | 13 | 18 ± 15 | 6 |
| Winter low-flow | 231 ± 41 | 27 | 210 ± 62 | 33 | 199 ± 87 | 25 | 153 ± 44 | 39 |
| Period | Bazaikha | Bor | Igarka |
|---|---|---|---|
| P-PO4, ×109 g | |||
| Spring flood | 580 ± 170 | 1630 ± 430 | 3240 ± 600 |
| Summer–fall | 590 ± 130 | 840 ± 150 | 2270 ± 190 |
| Winter low-flow | 1330 ± 350 | 740 ± 220 | 2590 ± 120 |
| Annual | 2500 | 3210 | 8100 |
| N-NO3, ×109 g | |||
| Spring flood | 2350 ± 390 | 4390 ± 1530 | 5140 ± 2720 |
| Summer–fall | 5470 ± 360 | 1720 ± 1080 | 3300 ± 670 |
| Winter low-flow | 5830 ± 810 | 12,840 ± 3150 | 19,800 ± 1260 |
| Annual | 13,650 | 18,950 | 28,240 |
| N-NO2, ×109 g | |||
| Spring flood | 50 ± 40 | 590 ± 310 | 2070 ± 490 |
| Summer–fall | 200 ± 50 | 260 ± 120 | 560 ± 100 |
| Winter low-flow | 190 ± 70 | 200 ± 50 | 380 ± 50 |
| Annual | 440 | 1050 | 3010 |
| N-NH4, ×109 g | |||
| Spring flood | 760 ± 200 | 10,930 ± 4450 | 8340 ± 2130 |
| Summer–fall | 670 ± 250 | 5380 ± 2030 | 7820 ± 1270 |
| Winter low-flow | 1110 ± 450 | 5100 ± 3260 | 8140 ± 1040 |
| Annual | 2540 | 21,390 | 24,300 |
Publisher’s Note: MDPI stays neutral with regard to jurisdictional claims in published maps and institutional affiliations. |
© 2022 by the authors. Licensee MDPI, Basel, Switzerland. This article is an open access article distributed under the terms and conditions of the Creative Commons Attribution (CC BY) license (https://creativecommons.org/licenses/by/4.0/).
Share and Cite
Tokareva, I.V.; Prokushkin, A.S. Seasonal and Spatial Variability of Dissolved Nutrients in the Yenisei River. Water 2022, 14, 3935. https://doi.org/10.3390/w14233935
Tokareva IV, Prokushkin AS. Seasonal and Spatial Variability of Dissolved Nutrients in the Yenisei River. Water. 2022; 14(23):3935. https://doi.org/10.3390/w14233935
Chicago/Turabian StyleTokareva, Irina V., and Anatoly S. Prokushkin. 2022. "Seasonal and Spatial Variability of Dissolved Nutrients in the Yenisei River" Water 14, no. 23: 3935. https://doi.org/10.3390/w14233935
APA StyleTokareva, I. V., & Prokushkin, A. S. (2022). Seasonal and Spatial Variability of Dissolved Nutrients in the Yenisei River. Water, 14(23), 3935. https://doi.org/10.3390/w14233935

