Study on the Application of Shell-Activated Carbon for the Adsorption of Dyes and Antibiotics
Abstract
1. Introduction
2. Materials and Methods
2.1. Materials
2.2. Experimental Methods
3. Results and Discussion
3.1. Characterization of Fruit Shell Activated Carbon
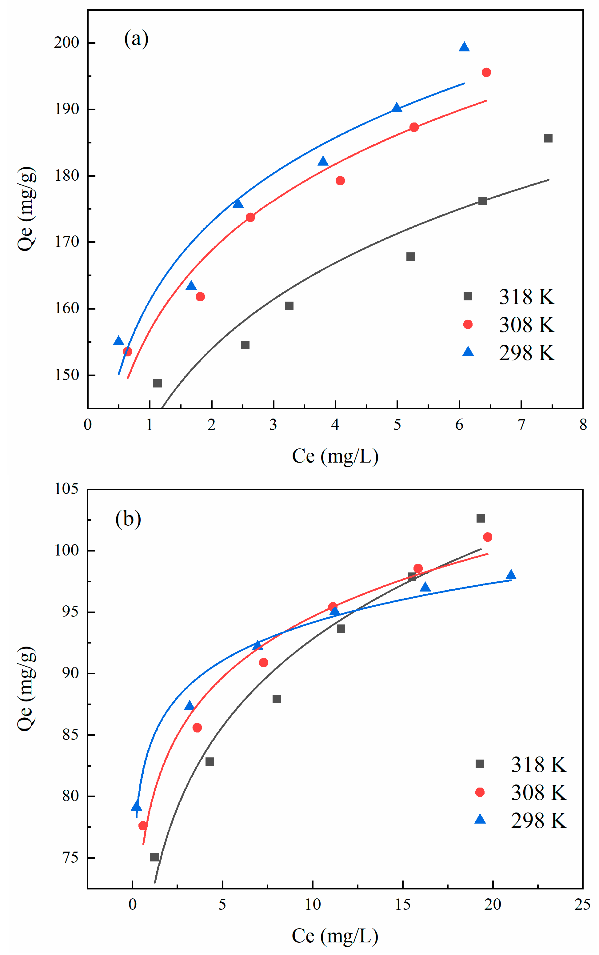
3.2. Adsorption of Fruit Shell-Activated Carbon
3.3. Effect of Single Factors on Adsorption Capacity
3.3.1. Effect of pH
3.3.2. Effect of SAC Dosing
3.3.3. Effect of Initial Concentration
3.3.4. Effect of Coexisting Ions
3.4. Regeneration of Adsorbent
4. Conclusions
Supplementary Materials
Author Contributions
Funding
Data Availability Statement
Conflicts of Interest
References
- Guillossou, R.; Le Roux, J.; Mailler, R.; Pereira-Derome, C.S.; Varrault, G.; Bressy, A.; Vulliet, E.; Morlay, C.; Nauleau, F.; Rocher, V.; et al. Influence of dissolved organic matter on the removal of 12 organic micropollutants from wastewater effluent by powdered activated carbon adsorption. Water Res. 2020, 172, 115487. [Google Scholar] [CrossRef] [PubMed]
- Solangi, N.H.; Kumar, J.; Mazari, S.A.; Ahmed, S.; Fatima, N.; Mubarak, N.M. Development of fruit waste derived bio-adsorbents for wastewater treatment: A review. J. Hazard. Mater. 2021, 416, 125848. [Google Scholar] [CrossRef]
- Nizam, N.U.M.; Hanafiah, M.M.; Mahmoudi, E.; Halim, A.A.; Mohammad, A.W. The removal of anionic and cationic dyes from an aqueous solution using biomass-based activated carbon. Sci. Rep. 2021, 11, 8623. [Google Scholar] [CrossRef]
- Li, Z.; Hanafy, H.; Zhang, L.; Sellaoui, L.; Schadeck Netto, M.; Oliveira, M.L.S.; Seliem, M.K.; Luiz Dotto, G.; Bonilla-Petriciolet, A.; Li, Q. Adsorption of congo red and methylene blue dyes on an ashitaba waste and a walnut shell-based activated carbon from aqueous solutions: Experiments, characterization and physical interpretations. Chem. Eng. J. 2020, 388, 124263. [Google Scholar] [CrossRef]
- Kuang, Y.; Zhang, X.; Zhou, S. Adsorption of Methylene Blue in Water onto Activated Carbon by Surfactant Modification. Water 2020, 12, 587. [Google Scholar] [CrossRef]
- Cai, Z.; Deng, X.; Wang, Q.; Lai, J.; Xie, H.; Chen, Y.; Huang, B.; Lin, G. Core-shell granular activated carbon and its adsorption of trypan blue. J. Clean. Prod. 2020, 242, 118496. [Google Scholar] [CrossRef]
- Bouzikri, S.; Ouasfi, N.; Benzidia, N.; Salhi, A.; Bakkas, S.; Khamliche, L. Marine alga “Bifurcaria bifurcata”: Biosorption of Reactive Blue 19 and methylene blue from aqueous solutions. Environ. Sci. Pollut. Res. 2020, 27, 33636–33648. [Google Scholar] [CrossRef]
- Song, T.; Deng, R.; Gao, J.; Yi, J.; Liu, P.; Yang, X.; Zhang, Z.; Han, B.; Zhang, Y. Comprehensive resource utilization of peony seeds shell: Extraction of active ingredients, preparation and application of activated carbon. Ind. Crop. Prod. 2022, 180, 114764. [Google Scholar] [CrossRef]
- Scigliano, G.; Scigliano, G.A. Methylene blue in COVID-19. Med. Hypotheses 2021, 146, 110455. [Google Scholar] [CrossRef]
- Alvarenga, G.; Lima, J.P.; Goszczynski, A.C.F.; Rosa, C.H.; Rosa, G.R.; Lopes, T.J. Methylene blue adsorption by timbaúva (Enterolobium contortisiliquum)-derived materials. Environ. Sci. Pollut. Res. 2020, 27, 27893–27903. [Google Scholar] [CrossRef]
- Elkady, M.; Shokry, H.; Hamad, H. New Activated Carbon from Mine Coal for Adsorption of Dye in Simulated Water or Multiple Heavy Metals in Real Wastewater. Materials 2020, 13, 2498. [Google Scholar] [CrossRef] [PubMed]
- Alver, E.; Metin, A.Ü.; Brouers, F. Methylene blue adsorption on magnetic alginate/rice husk bio-composite. Int. J. Biol. Macromol. 2020, 154, 104–113. [Google Scholar] [CrossRef] [PubMed]
- Bednárek, J.; Matějová, L.; Koutník, I.; Vráblová, M.; Cruz, G.J.F.; Strašák, T.; Šiler, P.; Hrbáč, J. Revelation of high-adsorption-performance activated carbon for removal of fluoroquinolone antibiotics from water. Biomass Convers. Biorefinery 2022. [Google Scholar] [CrossRef]
- Igwegbe, C.A.; Oba, S.N.; Aniagor, C.O.; Adeniyi, A.G.; Ighalo, J.O. Adsorption of ciprofloxacin from water: A comprehensive review. J. Ind. Eng. Chem. 2021, 93, 57–77. [Google Scholar] [CrossRef]
- Wang, C.; Wu, Q.; Zeng, Y.; Huang, D.; Yu, C.; Wang, X.; Mei, W. Synthesis, characterization and DNA-binding properties of Ru(II) complexes coordinated by ofloxacin as potential antitumor agents. J. Coord. Chem. 2015, 68, 1489–1499. [Google Scholar] [CrossRef]
- He, S.; Chen, Q.; Chen, G.; Shi, G.; Ruan, C.; Feng, M.; Ma, Y.; Jin, X.; Liu, X.; Du, C.; et al. N-doped activated carbon for high-efficiency ofloxacin adsorption. Microporous Mesoporous Mat. 2022, 335, 111848. [Google Scholar] [CrossRef]
- Jaswal, A.; Kaur, M.; Singh, S.; Kansal, S.K.; Umar, A.; Garoufalis, C.S.; Baskoutas, S. Adsorptive removal of antibiotic ofloxacin in aqueous phase using rGO-MoS2 heterostructure. J. Hazard. Mater. 2021, 417, 125982. [Google Scholar] [CrossRef]
- Antonelli, R.; Martins, F.R.; Malpass, G.R.P.; Da Silva, M.G.C.; Vieira, M.G.A. Ofloxacin adsorption by calcined Verde-lodo bentonite clay: Batch and fixed bed system evaluation. J. Mol. Liq. 2020, 315, 113718. [Google Scholar] [CrossRef]
- Eke-Emezie, N.; Etuk, B.R.; Akpan, O.P.; Chinweoke, O.C. Cyanide removal from cassava wastewater onto H3PO4 activated periwinkle shell carbon. Appl. Water Sci. 2022, 12, 157. [Google Scholar] [CrossRef]
- Dao, M.U.; Le, H.S.; Hoang, H.Y.; Tran, V.A.; Doan, V.D.; Le, T.T.N.; Sirotkin, A.; Le, V.T. Natural core-shell structure activated carbon beads derived from Litsea glutinosa seeds for removal of methylene blue: Facile preparation, characterization, and adsorption properties. Environ. Res. 2021, 198, 110481. [Google Scholar] [CrossRef]
- Sessa, F.; Merlin, G.; Canu, P. Pine bark valorization by activated carbons production to be used as VOCs adsorbents. Fuel 2022, 318, 123346. [Google Scholar] [CrossRef]
- Lin, L.; Jiang, W.; Xu, P. Comparative study on pharmaceuticals adsorption in reclaimed water desalination concentrate using biochar: Impact of salts and organic matter. Sci. Total Environ. 2017, 601–602, 857–864. [Google Scholar] [CrossRef]
- Gayathiri, M.; Pulingam, T.; Lee, K.T.; Sudesh, K. Activated carbon from biomass waste precursors: Factors affecting production and adsorption mechanism. Chemosphere 2022, 294, 133764. [Google Scholar] [CrossRef]
- Mozhiarasi, V.; Natarajan, T.S. Bael fruit shell–derived activated carbon adsorbent: Effect of surface charge of activated carbon and type of pollutants for improved adsorption capacity. Biomass Convers. Biorefinery 2022. [Google Scholar] [CrossRef]
- Atallah Al-Asad, H.; Parniske, J.; Qian, J.; Alex, J.; Ramaswami, S.; Kaetzl, K.; Morck, T. Development and application of a predictive model for advanced wastewater treatment by adsorption onto powdered activated carbon. Water Res. 2022, 217, 118427. [Google Scholar] [CrossRef]
- Kali, A.; Amar, A.; Loulidi, I.; Jabri, M.; Hadey, C.; Lgaz, H.; Alrashdi, A.A.; Boukhlifi, F. Characterization and adsorption capacity of four low-cost adsorbents based on coconut, almond, walnut, and peanut shells for copper removal. Biomass Convers. Biorefinery 2022. [Google Scholar] [CrossRef]
- Abisha, B.R.; Anish, C.I.; Beautlin, N.R.; Daniel, S.N.; Jaya, R.M. Adsorption and equilibrium studies of methyl orange on tamarind shell activated carbon and their characterization. Phosphorus Sulfur Silicon Relat. Elem. 2022, 197, 225–230. [Google Scholar]
- Rodríguez-Sánchez, S.; Díaz, P.; Ruiz, B.; González, S.; Díaz-Somoano, M.; Fuente, E. Food industrial biowaste-based magnetic activated carbons as sustainable adsorbents for anthropogenic mercury emissions. J. Environ. Manag. 2022, 312, 114897. [Google Scholar] [CrossRef]
- Partlan, E.; Ren, Y.; Apul, O.G.; Ladner, D.A.; Karanfil, T. Adsorption kinetics of synthetic organic contaminants onto superfine powdered activated carbon. Chemosphere 2020, 253, 126628. [Google Scholar] [CrossRef]
- Deng, Z.; Sun, S.; Li, H.; Pan, D.; Patil, R.R.; Guo, Z.; Seok, I. Modification of coconut shell-based activated carbon and purification of wastewater. Adv. Compos. Hybrid Mater. 2021, 4, 65–73. [Google Scholar] [CrossRef]
- Omokafe, S.M.; Department of Metallurgical Materials Engineering, F.U.O.T. Fabrication of Activated Carbon from Coconut Shells and its Electrochemical Properties for Supercapacitors. Int. J. Electrochem. Sci. 2020, 15, 10854–10865. [Google Scholar] [CrossRef]
- Qin, Y.; Luo, J.; Zhao, Y.; Yao, C.; Li, Y.; An, Q.; Xiao, Z.; Zhai, S. Dual-wastes derived biochar with tailored surface features for highly efficient p-nitrophenol adsorption. J. Clean. Prod. 2022, 353, 131571. [Google Scholar] [CrossRef]
- Mubarak, M.F.; Zayed, A.M.; Ahmed, H.A. Activated Carbon/Carborundum@Microcrystalline Cellulose core shell nano-composite: Synthesis, characterization and application for heavy metals adsorption from aqueous solutions. Ind. Crop. Prod. 2022, 182, 114896. [Google Scholar] [CrossRef]
- Veeramalai, S.; Ramlee, N.N.; Mahdi, H.I.; Manas, N.H.A.; Ramli, A.N.M.; Illias, R.M.; Azelee, N.I.W. Development of organic porous material from pineapple waste as a support for enzyme and dye adsorption. Ind. Crop. Prod. 2022, 181, 114823. [Google Scholar] [CrossRef]
- Oba, O.A.; Pasaoglulari, A.N. Preparation of mesoporous activated carbon from novel African walnut shells (AWS) for deltamethrin removal: Kinetics and equilibrium studies. Appl. Water Sci. 2022, 12, 149. [Google Scholar] [CrossRef]
- Thirumal, V.; Yuvakkumar, R.; Ravi, G.; Dineshkumar, G.; Ganesan, M.; Alotaibi, S.H.; Velauthapillai, D. Characterization of activated biomass carbon from tea leaf for supercapacitor applications. Chemosphere 2022, 291, 132931. [Google Scholar] [CrossRef]
- Sulaiman, N.S.; Mohamad, A.M.H.; Danish, M.; Sulaiman, O.; Hashim, R. Kinetics, Thermodynamics, and Isotherms of Methylene Blue Adsorption Study onto Cassava Stem Activated Carbon. Water 2021, 13, 2936. [Google Scholar] [CrossRef]
- Zhao, T.; Liu, R.; Lu, J.; Zhu, X.; Zhu, X.; Lu, K.; Zhu, H. Photocatalytic degradation of methylene blue solution by diphenylanthrazoline compounds. J. Phys. Org. Chem. 2017, 30, e3712. [Google Scholar] [CrossRef]
- Mirzaie, M.; Talebizadeh, A.R.; Hashemipour, H. Mathematical modeling and experimental study of VOC adsorption by Pistachio shell–based activated carbon. Environ. Sci. Pollut. Res. 2021, 28, 3737–3747. [Google Scholar] [CrossRef]
- Salomón, Y.L.D.O.; Georgin, J.; Franco, D.S.P.; Netto, M.S.; Foletto, E.L.; Piccilli, D.G.A.; Sellaoui, L.; Dotto, G.L. Transforming pods of the species Capparis flexuosa into effective biosorbent to remove blue methylene and bright blue in discontinuous and continuous systems. Environ. Sci. Pollut. Res. 2021, 28, 8036–8049. [Google Scholar] [CrossRef]
- Wang, X.; Cheng, H.; Ye, G.; Fan, J.; Yao, F.; Wang, Y.; Jiao, Y.; Zhu, W.; Huang, H.; Ye, D. Key factors and primary modification methods of activated carbon and their application in adsorption of carbon-based gases: A review. Chemosphere 2022, 287, 131995. [Google Scholar] [CrossRef]
- Moradi, O.; Sharma, G. Emerging novel polymeric adsorbents for removing dyes from wastewater: A comprehensive review and comparison with other adsorbents. Environ. Res. 2021, 201, 111534. [Google Scholar] [CrossRef]
- Li, Y.; Wang, X.; Zou, S.; Ding, Y.; You, N.; Fan, H. Nanocomposites of immobilized nano-zirconia on low-cost activated carbon derived from hazelnut shell for enhanced removal of 3-Nitro-4-Hydroxy-Phenylarsonic acid from water. Environ. Res. 2022, 209, 112851. [Google Scholar] [CrossRef] [PubMed]
- Sahnoun, A.Y.; Selatnia, A.; Alouache, A.; Tidjani, A.E.B.; Bellil, A.; Ayeche, R. Valorization of sewage sludge for methylene blue removal from aqueous solution. Biomass Convers. Biorefinery 2022. [Google Scholar] [CrossRef]
- Georgin, J.; Salomón, Y.L.D.O.; Franco, D.S.P.; Netto, M.S.; Piccilli, D.G.A.; Foletto, E.L.; Dotto, G.L. Successful adsorption of bright blue and methylene blue on modified pods of Caesalpinia echinata in discontinuous system. Environ. Sci. Pollut. Res. 2021, 28, 8407–8420. [Google Scholar] [CrossRef] [PubMed]












| Solution (Chemistry) | Langmuir Isotherm | Freundlich Isotherm | ||||
|---|---|---|---|---|---|---|
| Qm (mg/g) | KL (L/mg) | R2 | KF (mg/g)1/n | N | R2 | |
| MB | 204.08 | 2.88 | 0.995 | 161.73 | 10.15 | 0.922 |
| OFL | 96.15 | 4.52 | 0.999 | 84.28 | 22.78 | 0.983 |
| Solution (Chemistry) | ∆G (kJ/mol) | ∆H (J/mol K) | ∆S (kJ/mol) | ||
|---|---|---|---|---|---|
| 298 K | 308 K | 318 K | |||
| MB | −220.031 | –250.898 | –274.001 | –151.415 | 2.770 |
| OFL | –313.624 | –152.631 | –24.408 | –680.027 | –14.765 |
| Number of Regenerations | MB | OFL | ||||
|---|---|---|---|---|---|---|
| Qe (mg/g) | Removal Efficiency (%) | Recovery Efficiency (%) | Qe (mg/g) | Removal Efficiency (%) | Recovery Efficiency (%) | |
| 0 | 190.79 | 99.9 | / | 82.88 | 97.6 | / |
| 1 | 134.21 | 70.3 | 73.0 | 75.03 | 88.3 | 84.0 |
| 2 | 131.67 | 68.9 | 62.6 | 18.84 | 22.2 | 80.0 |
| 3 | 117.67 | 51.1 | 43.8 | 11.58 | 13.6 | 70.0 |
Publisher’s Note: MDPI stays neutral with regard to jurisdictional claims in published maps and institutional affiliations. |
© 2022 by the authors. Licensee MDPI, Basel, Switzerland. This article is an open access article distributed under the terms and conditions of the Creative Commons Attribution (CC BY) license (https://creativecommons.org/licenses/by/4.0/).
Share and Cite
Wang, J.; Wang, R.; Ma, J.; Sun, Y. Study on the Application of Shell-Activated Carbon for the Adsorption of Dyes and Antibiotics. Water 2022, 14, 3752. https://doi.org/10.3390/w14223752
Wang J, Wang R, Ma J, Sun Y. Study on the Application of Shell-Activated Carbon for the Adsorption of Dyes and Antibiotics. Water. 2022; 14(22):3752. https://doi.org/10.3390/w14223752
Chicago/Turabian StyleWang, Jinlong, Rui Wang, Jingqian Ma, and Yongjun Sun. 2022. "Study on the Application of Shell-Activated Carbon for the Adsorption of Dyes and Antibiotics" Water 14, no. 22: 3752. https://doi.org/10.3390/w14223752
APA StyleWang, J., Wang, R., Ma, J., & Sun, Y. (2022). Study on the Application of Shell-Activated Carbon for the Adsorption of Dyes and Antibiotics. Water, 14(22), 3752. https://doi.org/10.3390/w14223752

