Driving Mechanisms of the Evolution and Ecological Water Demand of Hulun Lake in Inner Mongolia
Abstract
1. Introduction
2. Description of the Study Area
3. Materials and Methods
3.1. Data Sources
3.2. Research Methodology
3.2.1. Water Balance Analysis
3.2.2. Ecological Water Demand
4. Results
4.1. Analysis of Lake Evolution and Driving Force
4.1.1. Annual Variations in Hulun Lake
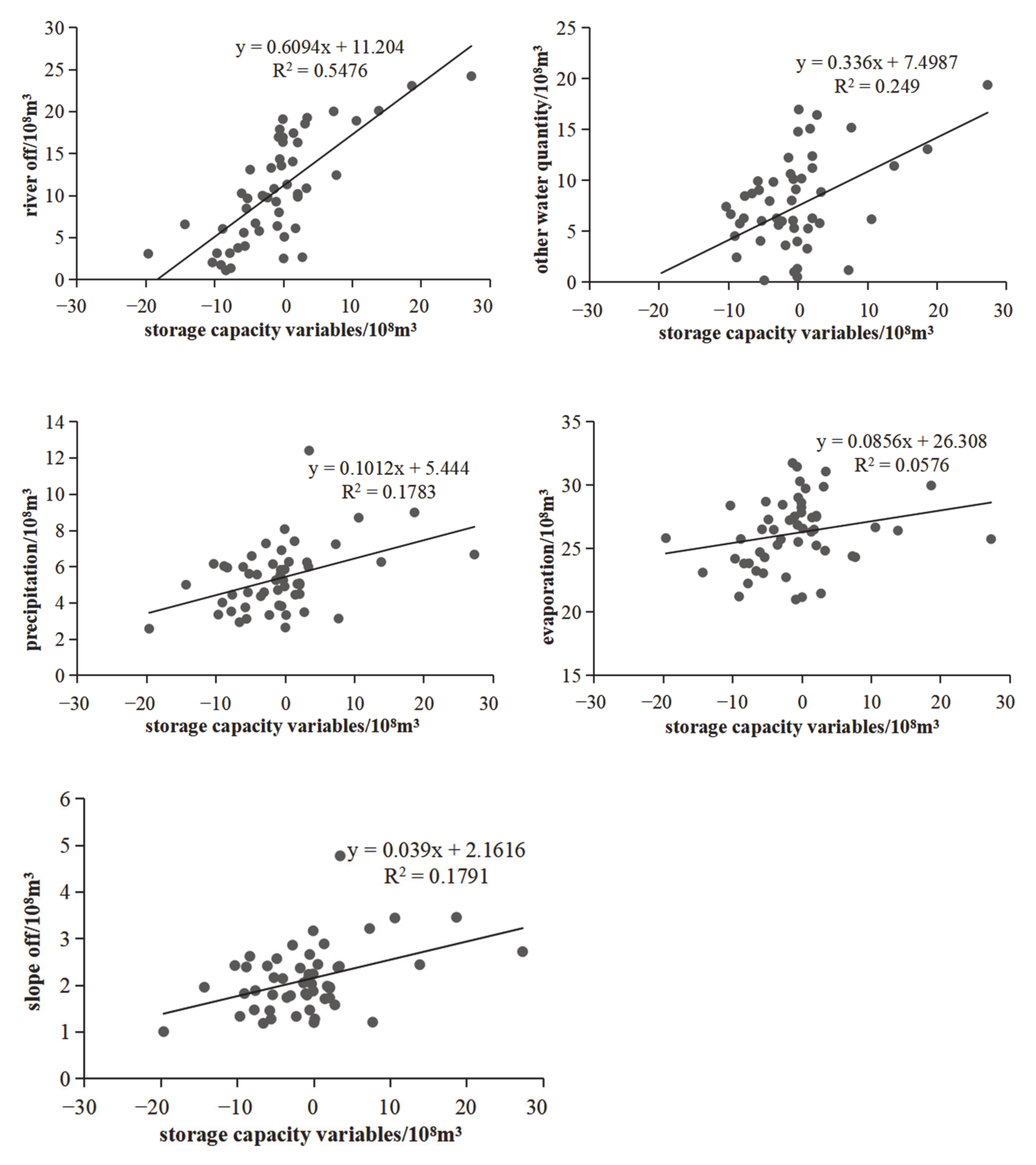
4.1.2. Analysis of the Driving Forces of Changes in Hulun Lake
Climatic Factors
Ingress Runoff Volume
Human Factors
4.2. Analysis of the Water Balance of Hulun Lake
4.3. Examination of the Ecological Water Demand of Hulun Lake
4.3.1. Minimum Ecological Water Demand of Hulun Lake
4.3.2. Minimum Water Body Area of Hulun Lake
5. Discussion
6. Conclusions
- (1)
- In the past 55 years, the changes in the water level, area, and reservoir capacity of Hulun Lake have been consistent and can be roughly divided into six stages: In 1962–1982, the water level of Hulun Lake exhibited a slow decline; From 1982–1990, the water volume of Hulun Lake showed a fluctuating trend of growth–decline–growth; From 1990–2000, Hulun Lake maintained a high water level; From 2000–2009, the water volume of Hulun Lake showed a rapidly decreasing trend; From 2009–2012, the water level of Hulun Lake ceased to decrease and was basically in a stable state; and from 2012–2016, the water volume of Hulun Lake exhibited a rapid recovery.
- (2)
- The dynamic changes in the water level and water body area of Hulun Lake are the interplay of climate change and human activities. The increase in temperature and evaporation, and the decrease in precipitation lead to a decrease in the amount of water entering the lake from the main recharge rivers in the region, which is the primary reason for the decrease in the water level and water body area of Hulun Lake.
- (3)
- According to the results of the water balance analysis of Hulun Lake for a long time series, groundwater occupies a certain proportion of the water cycle of Hulun Lake, and approximately 792 million m3 of groundwater is recharged to the lake every year after deducting seepage and surface discharge.
- (4)
- Based on the theory of ecological water demand of the lake and the actual situation of Hulun Lake, the ecological water demand of Hulun Lake was investigated, and the minimum ecological water demand of Hulun Lake was 11.272 billion m3, considering the environmental, ecological, and production functions of Hulun Lake.
Author Contributions
Funding
Institutional Review Board Statement
Informed Consent Statement
Data Availability Statement
Acknowledgments
Conflicts of Interest
References
- Huang, Q.C. Function Evolution and Its Driving Force Analysis of the Structure of Inland Wetland—A Case of Honghu Wetland. Master’s Thesis, Central China Normal University, Wuhan, China, 2013. [Google Scholar]
- Zhao, S.; Ji, W.Q.; Gao, P.; Han, W.J.; Xu, D.W. Study on dynamic change of Hulun lake water area and the relationship with the climatic factors during 1986~2016. Chin. J. Agric. Resour. Reg. Plan. 2018, 39, 53–58. [Google Scholar]
- Hu, R.J.; Jiang, F.Q.; Wang, Y.J.; Sun, Z.D.; Li, Y. On the importance of research on the lakes in arid land of China. Arid. Zone Res. 2007, 24, 137–140. [Google Scholar]
- Han, Z.M. Study on Hydrogen and Oxygen Isotope and Hydrochemistry Characteristics of Hulun Lake Basin. Master’s Thesis, Inner Mongolia Agricultural University, Hohhot, China, 2018. [Google Scholar]
- Ding, Y.J.; Liu, S.Y.; Ye, B.S.; Zhao, L. Climatic implications on variations of lakes in the cold and arid regions of China during the recent 50 years. J. Glaciol. Geogryol. 2006, 28, 623–632. [Google Scholar]
- Tao, S.L.; Fang, J.Y.; Zhao, X.; Zhao, S.Q.; Shen, H.H.; Hu, H.F.; Tang, Z.Y.; Wang, Z.H.; Guo, Q.H. Rapid loss of lakes on the Mongolian Plateau. Proc. Natl. Acad. Sci. USA 2015, 112, 2281–2286. [Google Scholar] [PubMed]
- Yang, G.S.; Ma, R.H.; Zhang, L.; Jiang, J.H.; Yao, S.C.; Zhang, M.; Zeng, H.A. Lake status, major problem and protection strategy in China. J. Lake Sci. 2010, 22, 799–810. [Google Scholar]
- Russell, J.M.; Werne, J.P. Climate change and productivity variations recorded by sedimentary sulfur in Lake Edward, Uganda/D. R. Congo. Chem. Geol. 2009, 264, 337–346. [Google Scholar] [CrossRef]
- Smith, R.; Kalff, J. Limnology: Inland water ecosystems. J. N. Am. Benthol. Soc. 2002, 21, 346–347. [Google Scholar] [CrossRef]
- Park, J.; Byrne, R.; Böhnel, H.; Garza, R.M.; Conserva, M. Holocene climate change and human impact, central Mexico: A record based on maar lake pollen and sediment chemistry. Quat. Sci. Rev. 2010, 29, 618–632. [Google Scholar] [CrossRef]
- Birkett, C.M. Synergistic remote sensing of Lake Chad: Variability of basin inundation. Remote Sens. Environ. 2000, 72, 218–236. [Google Scholar] [CrossRef]
- Bai, A.J.; Jia, L.; Xu, W.X. Evaporation and its impact upon drought climate around the Qinghai Lake Basin based on potential Evaporation. Arid. Land Geogr. 2011, 34, 949–957. [Google Scholar]
- Zhang, Y.Y.; Cai, X.B.; Yang, C.; Song, X.X.; Li, R.D.; Li, E.H.; Wang, X.L. Driving force analysis of landscape pattern changes in Honghu Wetland Nature Reserve in recent 40 years. J. Lake Sci. 2019, 31, 171–182. [Google Scholar]
- Liu, H.J.; Liu, E.F.; Yu, Z.Z.; Zhang, E.L.; Lin, Q.; Wang, R.; Shen, J. Spatio-temporal patterns of organic carbon burial in the sediment of Lake Erhai in China during the past 100 years. J. Lake Sci. 2019, 31, 282–292. [Google Scholar]
- Wurtsbaugh, W.A.; Miller, C.; Null, S.E.; DeRose, R.J.; Wilcock, P.; Hahnenberger, M.; Howe, F.; Moore, J. Decline of the world’s saline lakes. Nat. Geosci. 2017, 10, 816. [Google Scholar]
- Meng, Q.M. Climate change and extreme weather drive the declines of saline lakes: A showcase of the Great Salt Lake. Climate 2019, 7, 19. [Google Scholar] [CrossRef]
- Budzyńska, A.; Rosińska, J.; Pełechata, A.; Toporowska, M.; Krzebietke, A.N.; Kozak, A.; Messyasz, B.; Pęczuła, W.; Kokociński, M.; Wasielewska, E.S.; et al. Environmental factors driving the occurrence of the invasive cyanobacterium Sphaerospermopsis aphanizomenoides (Nostocales) in temperate lakes. Sci. Total Environ. 2019, 650, 1338–1347. [Google Scholar] [CrossRef]
- Ahmed, M.H.; El Leithy, B.M.; Thompson, J.R.; Flower, R.J.; Ramdani, M.; Ayache, F.; Hassan, S.M. Application of remote sensing to site characterisation and environmental change analysis of North African coastal lagoons. Hydrobiologia 2009, 622, 147–171. [Google Scholar] [CrossRef]
- Armentrout, G.W.; Wilson, J.F. An Assessment of Low Flows in Streams in Northeastern Wyoming; US Geological Survey: Reston, VA, USA, 1987. [Google Scholar]
- Henry, C.P.; Amoros, C. Restoration ecology of riverine wetlands: Ⅰ. a scientific base. Environ. Manag. 1995, 19, 891–902. [Google Scholar]
- Petts, G.E. Water allocation to protect river ecosystems. Regul. Rivers Res. Manag. 1996, 12, 353–365. [Google Scholar]
- Gleick, P.H. Water in Crisis: A guide to the Worlds Flesh Water Resources; Oxford University Press: New York, NY, USA, 1993. [Google Scholar]
- Gleick, P.H. Water in Crisis: Paths to sustainable water use. Ecol. Appl. 1998, 8, 571. [Google Scholar]
- Falkemnakr, M. Coping with water scarcity under rapid population growth. In Proceedings of the Conference of SADC Ministers, Lilongwe, Malawi, 13 May 2022; pp. 23–24. [Google Scholar]
- Hughes, D.A.; Ziervogel, G. The inclusion of operating rules in a daily reservoir simulation model to determine ecological reserve releases for river maintenance. Water SA-Pretoria 1998, 24, 293–302. [Google Scholar]
- Sun, D.Y.; Hu, X.Q.; Jin, Y.Z.; Zhang, Y.L.; Li, Y.H. Prediction and evaluation of ecological water requirement of natural vegetation in the middle reaches oasis of Shulehe River Basin. Arid. Land Geogr. 2016, 39, 154–161. [Google Scholar]
- Hao, B. Study on the Spatial and Temporal Variation of Vegetation Ecological Water Requirement in Shi Yang River Basin Based on GIS and RS. Master’s Thesis, Northwest A & F University, Yangling, China, 2010. [Google Scholar]
- Bai, Y.; Xu, H.L.; Zhang, Q.Q.; Ye, M. Evaluation on ecological water requirement in the lower reaches of Tarim River based on groundwater restoration. Acta Ecol. Sin. 2015, 35, 630–640. [Google Scholar]
- Jiang, L.L.; Jiao, J.Y.; Wang, X.Y.; Liu, J.; Li, Y. Study on ecological water requirement for the lake and natural vegetation in the Alice Lake basin. J. Arid. Land Resour. Environ. 2016, 30, 108–114. [Google Scholar]
- Sun, D.Y.; Yang, J.; Hu, X.Q.; Jin, Y.Z.; Zhang, Y.L. Study on eco-environmental water requirement in the middle-reach oasis of Shulehe River Basin based on ecological protection target. Acta Ecol. Sin. 2017, 37, 1008–1020. [Google Scholar]
- Wang, Z.J. The Numerical Simulation of the Hulun Lake Watershed Hydrology in Inner Mongolia under the Future Climate. Ph.D. Thesis, Inner Mongolia Agricultural University, Hohhot, China, 2012. [Google Scholar]
- Wang, Z.J.; Li, C.Y.; Li, W.P.; Zhang, S. Calculation and analysis of water balance in Lake Hulun, Inner Mongolia. J. Lake Sci. 2012, 24, 273–281. [Google Scholar]
- Li, C.; Ma, W.; Ye, B.S.; Liao, W.G. Estimation of water evaporation and water balance in ungauged Hulun lake. J. China Hydrol. 2006, 26, 41–44. [Google Scholar]
- Zhao, H.Y.; Wu, L.J.; Hao, W.J. Influences of climate change to ecological and environmental evolvement in the Hulun Lake wetland and its surrounding areas. Acta Ecol. Sin. 2008, 28, 1064–1071. [Google Scholar]
- Yang, H.C.; Jiang, M.Y.; Wang, G.Q.; Wu, B.B. Changes in land use and landscape pattern in Hulun Lake nature reserve. J. Beijing Norm. Univ. 2013, 49, 318–325. [Google Scholar]
- Wu, Y.N. Health Assessment and Stability Threshold Analysis of the Hulun Lake Ecosystem Using Remote Sensing. Master’s Thesis, China Institute of Water Resources and Hydropower Research, Beijing, China, 2013. [Google Scholar]
- Han, X.H.; Yang, C. An analysis of the self-purification function of Hulun Lake and its effect on regional environmental conservation. J. Nat. Resour. 2002, 17, 684–690. [Google Scholar]
- Zhang, H.R.; Qing, H.; Liu, H.M.; Zhuo, Y.; Wen, L.; Liu, D.W.; Li, Z.Y.; Wang, L.X. Dynamics and its driving forces of Hulun lake. J. Inn. Mong. Univ. 2018, 49, 102–107. [Google Scholar]
- Han, Z.M.; Shi, X.H.; Jia, K.L.; Sun, B.; Zhao, S.N.; Fu, C.X. Determining the discharge and recharge relationships between lake and groundwater in Lake Hulun using hydrogen and oxygen isotopes and chloride ions. Water 2019, 11, 264. [Google Scholar] [CrossRef]
- Li, C.; Ma, W.; Shi, X.X.; Liao, W.G. Reconstruction of the hydrology series and simulation of salinity in ungauged Lake Hulun. J. Lake Sci. 2006, 18, 13–20. [Google Scholar]
- Gu, R.Y.; Li, S.H.; Zhao, H.Y.; Li, C.; Song, W.S.; Meng, J.; Wang, Y.P. Responses of runoff in Hulun Lake basin of Inner Mongolia to climate change. Chin. J. Ecol. 2012, 31, 1517–1524. [Google Scholar]
- Troin, M.; Vallet-Coulomb, C.; Sylvestre, F.; Piovano, E. Hydrological modelling of a closed lake (Laguna Mar Chiquita, Argentina) in the context of 20th century climatic changes. J. Hydrolody 2010, 393, 233–244. [Google Scholar]
- Wang, N. Ecological Water Demand Calculation of Wetland Based on Sensitive Protection Target—A Case Study of Zhalong National Nature Reserve. Master’s Thesis, Hebei University of Engineering, Handan, China, 2020. [Google Scholar]
- Sun, B. The Dynamic Change of Water Based on Spatial Information Technology for Hulun Lake in Inner Mongolia. Ph.D. Thesis, Inner Mongolia Agricultural University, Hohhot, China, 2010. [Google Scholar]
- Wang, J.J.; Li, C.Y.; Sun, B.; Fan, C.R.; Liang, L.E.; Han, Z.M. Impacts of precipitation on runoff yield of Hulun lake basin during 1963–2014. Bull. Soil Water Conserv. 2017, 37, 115–119. [Google Scholar]
- Li, X.F.; Chen, A.R. Correlation analysis of energy intensity and industrial structure in Hulunbuir city. J. Hulunbeier Coll. 2015, 23, 67–69+116. [Google Scholar]
- Liu, Z.D. Analysis of industrial and economic situation in Hulunbuir under the new ordinary state. Inn. Mong. Stat. 2015, 2, 63–65. [Google Scholar]
- Chen, X. Research progress on the environment impacts from underground coal mining in arid western area of China. China Sci. Technol. Rev. 2015, 16, 358. [Google Scholar]
- Cui, B.S.; Yang, Z.F. Water consumption for eco-environmental aspect on wetlands. Acta Sci. Circumstantiae 2002, 22, 31–36. [Google Scholar]
- Jiang, J.H.; Huang, Q. Analysis on utilization of the lacustrine water resources and the salinization of lacustring water in west China. Arid. Land Geogr. 2004, 27, 300–304. [Google Scholar]
- Guo, J.Y. Research on Water Quality Prediction and Eco-Environmental Water Requirement of the Hulun Lake Inflow Rivers. Master’s Thesis, Inner Mongolia Agricultural University, Hohhot, China, 2016. [Google Scholar]












Publisher’s Note: MDPI stays neutral with regard to jurisdictional claims in published maps and institutional affiliations. |
© 2022 by the authors. Licensee MDPI, Basel, Switzerland. This article is an open access article distributed under the terms and conditions of the Creative Commons Attribution (CC BY) license (https://creativecommons.org/licenses/by/4.0/).
Share and Cite
Guo, J.; Zhang, Y.; Shi, X.; Sun, B.; Wu, L.; Wang, W. Driving Mechanisms of the Evolution and Ecological Water Demand of Hulun Lake in Inner Mongolia. Water 2022, 14, 3415. https://doi.org/10.3390/w14213415
Guo J, Zhang Y, Shi X, Sun B, Wu L, Wang W. Driving Mechanisms of the Evolution and Ecological Water Demand of Hulun Lake in Inner Mongolia. Water. 2022; 14(21):3415. https://doi.org/10.3390/w14213415
Chicago/Turabian StyleGuo, Jiao, Yilong Zhang, Xiaohong Shi, Biao Sun, Lijie Wu, and Wei Wang. 2022. "Driving Mechanisms of the Evolution and Ecological Water Demand of Hulun Lake in Inner Mongolia" Water 14, no. 21: 3415. https://doi.org/10.3390/w14213415
APA StyleGuo, J., Zhang, Y., Shi, X., Sun, B., Wu, L., & Wang, W. (2022). Driving Mechanisms of the Evolution and Ecological Water Demand of Hulun Lake in Inner Mongolia. Water, 14(21), 3415. https://doi.org/10.3390/w14213415
