Managing Apparent Loss and Real Loss from the Nexus Perspective Using System Dynamics
Abstract
:1. Introduction
2. Materials and Methods
2.1. Modeling Scope
2.2. Model Structure
2.3. Energy and Gas Intensity
2.4. Model Building, Calibration, and Simulation
3. Results
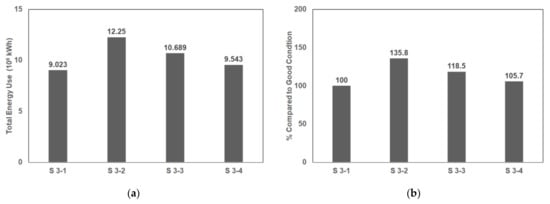
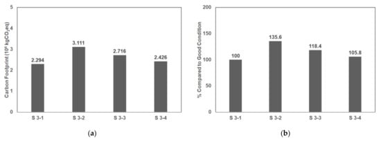
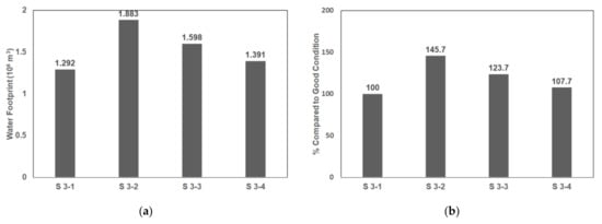
3.1. The Effect of Leakage Status on the WE Nexus
3.2. The Effect of Energy Intensity on the WE Nexus
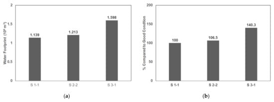
3.3. Water Footprint, Total Energy Use, and Carbon Footprint in Each UWS Process
4. Discussion
5. Conclusions
Author Contributions
Funding
Institutional Review Board Statement
Informed Consent Statement
Data Availability Statement
Conflicts of Interest
Abbreviation
| AL | Apparent Loss |
| CLEW3 | Climate, Land-use, Energy and Water 3 |
| GHG | Greenhouse Gas |
| DMA | District Metered Area |
| GAEZ | Global Agro-Ecological Zones |
| IWRM | Integrated Water Resources Management |
| LEAP | Low Emissions Analysis Platform |
| MESSAGE | Model for Energy Supply Strategy Alternatives and their General Environmental Impacts |
| MuSIASEM | Multi-Scale Integrated Analysis of Societal and Ecosystem Metabolism |
| NRW | Non-revenue Water |
| RL | Real Loss |
| SD | System Dynamics |
| SDGs | Sustainable Development Goals |
| UWC | Urban Water Cycle |
| UWS | Urban Water System |
| WEAP | Water Evaluation and Planning System |
| WE | Water-Energy |
Appendix A
| No. | Variables | Equations | Unit |
|---|---|---|---|
| 1 | Apparent loss | NRW a ratio/(1-NRW r ratio) * “Residential & Commercial water use” | m3 |
| 2 | Apparent loss ratio | Apparent loss/(Apparent loss + Real loss) | - |
| 3 | CF coef for te | 0.25 | kgCO2e/kWh |
| 4 | CF coef for wtc | 1e−06 | kgCO2e/mg |
| 5 | CF coef for wwtc | 1e−06 | kgCO2e/mg |
| 6 | CF of total energy | CF coef for te * Total Energy for UWS | kgCO2e |
| 7 | CF of wastewater treatment chemical | CF coef for wwtc * Major chemicals for wastewater treatment | kgCO2e |
| 8 | CF of water treatment chemical | CF coef for wtc * Major chemicals for water treatment | kgCO2e |
| 9 | Conveyance | Water treatment | m3 |
| 10 | Conveyance energy | Energy intensity c * Conveyance | kWh |
| 11 | Discharge | Wastewater treatment | m3 |
| 12 | Discharge energy | Energy intensity d * Discharge | kWh |
| 13 | EE coef for wtc | 5e−07 | kWh/mg |
| 14 | EE coef for wwtc | 5e−07 | kWh/mg |
| 15 | Embodied energy of wastewater treatment chemical | EE coef for wwtc * Major chemicals for wastewater treatment | kWh |
| 16 | Embodied energy of water treatment chemical | EE coef for wtc * Major chemicals for water treatment | kWh |
| 17 | End use energy | Water heating energy | kWh |
| 18 | Energy intensity c | 0.2, 2.1, 4 | kWh/m3 |
| 19 | Energy intensity d | 0.02 | kWh/m3 |
| 20 | Energy intensity gi | 0.0027 | kWh/m3/m |
| 21 | Energy intensity si | 0 | kWh/m3 |
| 22 | Energy intensity td | 0.2, 0.5, 0.8 | kWh/m3 |
| 23 | Energy intensity wh | 50 | kWh/m3 |
| 24 | Energy intensity wt | 0.2, 0.6, 1 | kWh/m3 |
| 25 | Energy intensity wwc | 0 | kWh/m3 |
| 26 | Energy intensity wwt | 0.3, 0.65, 1 | kWh/m3 |
| 27 | Groundwater intake | Groundwater ratio * Conveyance | m3 |
| 28 | Groundwater level | 20, 40, 60 | m |
| 29 | Groundwater ratio | 0.1, 0.5, 0.9 | - |
| 30 | Intake energy | (Energy intensity gi * Groundwater level * Groundwater intake) + (Energy intensity si * Surface water intake) | kWh |
| 31 | lpcd | 100 | liter/Person/day |
| 32 | lpcd unit conversion | 0.03 | (day*m3)/liter |
| 33 | Major chemicals for wastewater treatment | Wastewater chemical dosage * Wastewater treatment | mg |
| 34 | Major chemicals for water treatment | Water chemical dosage * Water treatment | mg |
| 35 | NRW a ratio | INTEG (IF THEN ELSE (NRW a ratio < 0.01001, 0—NRW a ratio reduction), 0.01) | - |
| 36 | NRW a ratio reduction | 0 | 1/Month |
| 37 | NRW r ratio | INTEG (IF THEN ELSE (NRW r ratio < 0.19001, 0—NRW r ratio reduction), 0.19) | - |
| 38 | NRW r ratio reduction | 0 | 1/Month |
| 39 | NRW ratio | NRW a ratio + NRW r ratio | - |
| 40 | Population | INTEG (Population growth, 300,000) | Person |
| 41 | Population growth | Population growth rate * Population | Person/Month |
| 42 | Population growth rate | 0.001 | 1/Month |
| 43 | Real loss | NRW r ratio / (1-NRW r ratio) * “Residential & Commercial water use” | m3 |
| 44 | “Residential & Commercial water use” | lpcd unit conversion * lpcd * Population | m3 |
| 45 | Revenue water | (1-NRW a ratio-NRW r ratio)/(1-NRW r ratio) * “Residential & Commercial water use” | m3 |
| 46 | Surface water intake | (1-Groundwater ratio) * Conveyance | m3 |
| 47 | Total CF of UWS | CF of total energy + CF of water treatment chemical + CF of wastewater treatment chemical | kgCO2e |
| 48 | Total Energy for UWS | Intake energy + Conveyance energy + Water treatment energy + “Transmission & Distribution energy” + End use energy + Wastewater collection energy + Wastewater treatment energy + Discharge energy + Embodied energy of water treatment chemical + Embodied energy of wastewater treatment chemical | kWh |
| 49 | Total water loss | Apparent loss + Real loss | m3 |
| 50 | Total WF of UWS | Groundwater intake + Surface water intake + WF of water treatment chemical + WF of total energy + WF of wastewater treatment chemical | m3 |
| 51 | “Transmission & Distribution energy” | Energy intensity td * “Transmission & Distribution” | kWh |
| 52 | “Transmission & Distribution” | Revenue water+Apparent loss+Real loss | m3 |
| 53 | Wastewater chemical dosage | 20,000 | mg/m3 |
| 54 | Wastewater collection | Revenue water + (Wastewater collection ratio * Apparent loss) | m3 |
| 55 | Wastewater collection energy | Energy intensity wwc * Wastewater collection | kWh |
| 56 | Wastewater collection ratio | 0.9 | - |
| 57 | Wastewater ratio | 0.9 | - |
| 58 | Wastewater treatment | Wastewater ratio * Wastewater collection | m3 |
| 59 | Wastewater treatment energy | Energy intensity wwt * Wastewater treatment | kWh |
| 60 | Water chemical dosage | 20,000 | mg/m3 |
| 61 | Water heating energy | Energy intensity wh * Water heating ratio * “Residential & Commercial water use” | kWh |
| 62 | Water heating ratio | 0.01 | - |
| 63 | Water treatment | “Transmission & Distribution” | m3 |
| 64 | Water treatment energy | Energy intensity wt * Water treatment | kWh |
| 65 | WF coef for te | 0.02 | m3/kWh |
| 66 | WF coef for wtc | 1e-08 | m3/mg |
| 67 | WF coef for wwtc | 1e-08 | m3/mg |
| 68 | WF of total energy | WF coef for te * Total Energy for UWS | m3 |
| 69 | WF of wastewater treatment chemical | WF coef for wwtc * Major chemicals for wastewater treatment | m3 |
| 70 | WF of water treatment chemical | WF coef for wtc * Major chemicals for water treatment | m3 |
References
- Al-Washali, T.M.; Elkhider, M.E.; Sharma, S.K.; Kennedy, M.D. A review of nonrevenue water assessment software tools. Wiley Interdiscip. Rev. Water 2020, 7, e1413. [Google Scholar] [CrossRef] [Green Version]
- American Water Works Association. Water Audits and Loss Control Programs: M36; American Water Works Association: Denver, CO, USA, 2008; Volume 36. [Google Scholar]
- American Water Works Association. Manual of Water Supply Practices–M36: Water Audits and Loss Control Programs; American Water Works Association: Denver, CO, USA, 2016. [Google Scholar]
- Baader, J.; Fallis, P.; Hübschen, K.; Klingel, P.; Knobloch, A.; Laures, C.; Oertlé, E.; Trujillo, R.; Ziegler, D. Guidelines for Water Loss Reduction–A Focus on Pressure Management; Deutsche Gesellschaft für Inter nationale Zusammenarbeit (GIZ) GmbH: Eschborn, Germany, 2011. [Google Scholar]
- EPA. Control and Mitigation of Drinking Water Losses in Distribution Systems; United States Environmental Protection Agency (US EPA): Washington, DC, USA, 2010. [Google Scholar]
- Fanner, P.; Sturm, R.; Thornton, J.; Liemberger, R.; Davis, S.; Hoogerwerf, T. Leak Management Technologies; Awwa Research Foundation: Denver, CO, USA, 2007. [Google Scholar]
- Farley, M. The Manager’s Non-Revenue Water Handbook: A guide to Understanding Water Losses; Ranhill Utilities Berhad and the United States Agency for International Development (USAID): Bangkok, Thailand; Kuala Lumpur, Malaysia, 2008. [Google Scholar]
- Farley, M.; Trow, S. Losses in Water Distribution Networks; IWA Publishing: Tunbridge Wells, UK, 2003. [Google Scholar]
- Farley, M.; Water, S.; Supply, W.; Council, S.C. Leakage Management and Control: A Best Practice Training Manual (No. WHO/SDE/WSH/01.1); World Health Organization: Geneva, Switzerland, 2001. [Google Scholar]
- McKenzie, R.S. Guidelines for Reducing Water Losses in South African Municipalities: Report to the Water Research Commission; Water Research Commission: Gezina, South Africa, 2014. [Google Scholar]
- Serranito, F.S.; Donnelly, A. Active Water Loss Control; EPAL, Empresa Portuguesa das Águas Livres S.A.: Lisbon, Portugal, 2015; p. 95. [Google Scholar]
- Thornton, J.; Sturm, R.; Kunkel, G. Water Loss Control; McGraw-Hill Education: New York, NY, USA, 2008. [Google Scholar]
- EPA. Water Efficiency for Public Water System; United States Environmental Protection Agency: Washington, DC, USA, 2013. [Google Scholar]
- Li, X.; Liu, J.; Zheng, C.; Han, G.; Hoff, H. Energy for water utilization in China and policy implications for integrated planning. Int. J. Water Resour. Dev. 2016, 32, 477–494. [Google Scholar] [CrossRef]
- Frauendorfer, R.; Liemberger, R. The Issues and Challenges of Reducing Non-Revenue Water; Asian Development Bank: Metro Manila, Philippines, 2010. [Google Scholar]
- Sambito, M.; Piazza, S.; Freni, G. Stochastic Approach for Potimal Positioning of Pumps as Turbines (PATs). Sustainability 2021, 13, 12318. [Google Scholar] [CrossRef]
- Bizikova, L.; Roy, D.; Swanson, D.; Venema, H.D.; McCandless, M. The Water-Energy-Food Security Nexus: Towards a Practical Planning and Decision-Support Framework for Landscape Investment and Risk Management; International Institute for Sustainable Development: Winnipeg, MB, Canada, 2013; pp. 16–20. [Google Scholar]
- Biggs, E.M.; Bruce, E.; Boruff, B.; Duncan, J.M.; Horsley, J.; Pauli, N.; McNeill, K.; Neef, A.; Van Ogtrop, F.; Curnow, J.; et al. Sustainable development and the water–energy–food nexus: A perspective on livelihoods. Environ. Sci. Policy 2015, 54, 389–397. [Google Scholar] [CrossRef] [Green Version]
- FAO. The Water-Energy-Food Nexus. A New Approach in Support of Food Security and Sustainable Agriculture; Food and Agriculture Organization of the United Nations: Rome, Italy, 2014. [Google Scholar]
- Hassan, T.A.; Muhammad, K.; Ian, M.; Lars, R.; Justyna, S. The Water-Energy-Food Security Nexus; a Review on Nexus Literature and Ongoing Nexus Initiatives and Policy-Makers; Nexus Regional Dialogue Programme (NRD); Deutsche Gesellschaft für Internationale Zusammenarbeit (GIZ) GmbH: Bonn, Germany; Eschborn, Germany, 2018. [Google Scholar]
- Hoff, H. Understanding the Nexus: Background Paper for the Bonn2011 Nexus Conference; Stockholm Environment Institute (SEI): Stockholm, Sweden, 2011. [Google Scholar]
- Sanders, K.T.; Webber, M.E. Evaluating the energy consumed for water use in the United States. Environ. Res. Lett. 2012, 7, 034034. [Google Scholar] [CrossRef]
- Cottee, J.; López-Avilés, A.; Behzadian, K.; Bradley, D.; Butler, D.; Downing, C.; Farmani, R.; Ingram, J.; Leach, M.; Pike, A.; et al. The local nexus network: Exploring the future of localised food systems and associated energy and water supply. In Proceedings of the International Conference on Sustainable Design and Manufacturing, Cham, Switzerland, 19 April 2016; pp. 613–624. [Google Scholar]
- Brandi, C.; Richerzhangen, C.; Stepping, K. Why is the Water-Energy-Land Nexus Important for the Future Development Agenda? Briefing Pater; German Development Institute/Deutsches Institut fur Entwicklungspolitik: Bonn, Germany, 2013. [Google Scholar]
- Weitz, N.; Humber-Lee, A.; Nilsson, M.; Davis, M.; Hoff, H. Cross-Sectoral Integration in the Sustainable Development Goals: A Nexus Approach; Discussion Pater; Stockholm Environment Institute (SEI): Stockholm, Sweden, 2014. [Google Scholar]
- De Strasser, L.; Lipponen, A.; Howells, M.; Stec, S.; Bréthaut, C. A methodology to assess the water energy food ecosystems nexus in transboundary river basins. Water 2016, 8, 59. [Google Scholar] [CrossRef]
- Endo, A.; Burnett, K.; Orencio, P.M.; Kumazawa, T.; Wada, C.A.; Ishii, A.; Tsurita, I.; Taniguchi, M. Methods of the water-energy-food nexus. Water 2015, 7, 5806–5830. [Google Scholar] [CrossRef] [Green Version]
- Halbe, J.; Pahl-Wostl, C.; Lange, M.A.; Velonis, C. Governance of transitions towards sustainable development–the water–energy–food nexus in Cyprus. Water Int. 2015, 40, 877–894. [Google Scholar] [CrossRef]
- Karlberg, L.; Hoff, H.; Amsalu, T.; Andersson, K.; Binnington, T.; Flores-López, F.; de Bruin, A.; Gebrehiwot, S.G.; Gedif, B.; Johnson, O.; et al. Tackling complexity: Understanding the food-energy-environment nexus in Ethiopia’s Lake tana sub-basin. Water Altern. 2015, 8, 710–734. [Google Scholar]
- Haie, N. Sefficiency (sustainable efficiency) of water–energy–food entangled systems. Int. J. Water Resour. Dev. 2016, 32, 721–737. [Google Scholar] [CrossRef]
- Grindle, A.K.; Siddiqi, A.; Anadon, L.D. Food security amidst water scarcity: Insights on sustainable food production from Saudi Arabia. Sustain. Prod. Consum. 2015, 2, 67–78. [Google Scholar] [CrossRef]
- King, C.; Jaafar, H. Rapid assessment of the water–energy–food–climate nexus in six selected basins of North Africa and West Asia undergoing transitions and scarcity threats. Int. J. Water Resour. Dev. 2015, 31, 343–359. [Google Scholar] [CrossRef]
- Li, G.; Huang, D.; Li, Y. China’s input-output efficiency of water-energy-food nexus based on the data envelopment analysis (DEA) model. Sustainability 2016, 8, 927. [Google Scholar] [CrossRef] [Green Version]
- Pacetti, T.; Lombardi, L.; Federici, G. Water–energy Nexus: A case of biogas production from energy crops evaluated by Water Footprint and Life Cycle Assessment (LCA) methods. J. Clean. Prod. 2015, 101, 278–291. [Google Scholar] [CrossRef]
- Scott, C.A.; Sugg, Z.P. Global energy development and climate-induced water scarcity—Physical limits, sectoral constraints, and policy imperatives. Energies 2015, 8, 8211–8225. [Google Scholar] [CrossRef] [Green Version]
- Zimmerman, R.; Zhu, Q.; Dimitri, C. Promoting resilience for food, energy, and water interdependencies. J. Environ. Stud. Sci. 2016, 6, 50–61. [Google Scholar] [CrossRef]
- De Laurentiis, V.; Hunt, D.V.; Rogers, C.D. Overcoming food security challenges within an energy/water/food nexus (EWFN) approach. Sustainability 2016, 8, 95. [Google Scholar] [CrossRef] [Green Version]
- Irabien, A.; Darton, R.C. Energy–water–food nexus in the Spanish greenhouse tomato production. Clean Technol. Environ. Policy 2016, 18, 1307–1316. [Google Scholar] [CrossRef]
- King, C.W.; Carbajales-Dale, M. Food–energy–water metrics across scales: Project to system level. J. Environ. Stud. Sci. 2016, 6, 39–49. [Google Scholar] [CrossRef]
- Ravi, S.; Macknick, J.; Lobell, D.; Field, C.; Ganesan, K.; Jain, R.; Elchinger, M.; Stoltenberg, B. Colocation opportunities for large solar infrastructures and agriculture in drylands. Appl. Energy 2016, 165, 383–392. [Google Scholar] [CrossRef] [Green Version]
- Pittock, J.; Dumaresq, D.; Bassi, A.M. Modeling the hydropower–food nexus in large river basins: A mekong case study. Water 2016, 8, 425. [Google Scholar] [CrossRef] [Green Version]
- Smajgl, A.; Ward, J.; Pluschke, L. The water–food–energy Nexus–Realising a new paradigm. J. Hydrol. 2016, 533, 533–540. [Google Scholar] [CrossRef]
- Topi, C.; Esposto, E.; Govigli, V.M. The economics of green transition strategies for cities: Can low carbon, energy efficient development approaches be adapted to demand side urban water efficiency? Environ. Sci. Policy 2016, 58, 74–82. [Google Scholar] [CrossRef]
- Yang, Y.E.; Ringler, C.; Brown, C.; Mondal, M.A.H. Modeling the agricultural water–energy–food nexus in the Indus River Basin, Pakistan. J. Water Resour. Plan. Manag. 2016, 142, 04016062. [Google Scholar] [CrossRef]
- Yang, Y.E.; Wi, S.; Ray, P.A.; Brown, C.M.; Khalil, A.F. The future nexus of the Brahmaputra River Basin: Climate, water, energy and food trajectories. Glob. Environ. Chang. 2016, 37, 16–30. [Google Scholar] [CrossRef] [Green Version]
- Daccache, A.; Ciurana, J.S.; Diaz, J.R.; Knox, J.W. Water and energy footprint of irrigated agriculture in the Mediterranean region. Environ. Res. Lett. 2014, 9, 124014. [Google Scholar] [CrossRef]
- Guillaume, J.H.; Kummu, M.; Eisner, S.; Varis, O. Transferable principles for managing the nexus: Lessons from historical global water modelling of central Asia. Water 2015, 7, 4200–4231. [Google Scholar] [CrossRef] [Green Version]
- Hurford, A.P.; Harou, J.J. Balancing ecosystem services with energy and food security–Assessing trade-offs from reservoir operation and irrigation investments in Kenya’s Tana Basin. Hydrol. Earth Syst. Sci. 2014, 18, 3259–3277. [Google Scholar] [CrossRef] [Green Version]
- Karabulut, A.; Egoh, B.N.; Lanzanova, D.; Grizzetti, B.; Bidoglio, G.; Pagliero, L.; Bouraoui, F.; Aloe, A.; Reynaud, A.; Maes, J.; et al. Mapping Water Provisioning Services to Support the Ecosystem–Water–Food–Energy Nexus in the Danube River Basin. Ecosyst. Serv. 2016, 17, 278–292. [Google Scholar] [CrossRef]
- Keskinen, M.; Guillaume, J.H.; Kattelus, M.; Porkka, M.; Räsänen, T.A.; Varis, O. The water-energy-food nexus and the transboundary context: Insights from large Asian rivers. Water 2016, 8, 193. [Google Scholar] [CrossRef] [Green Version]
- Hermann, S.; Welsch, M.; Segerstrom, R.E.; Howells, M.I.; Young, C.; Alfstad, T.; Rogner, H.H.; Steduto, P. Climate, Land, Energy and Water (CLEW) Interlinkages in Burkina Faso: An Analysis of Agricultural Intensification and Bioenergy Production. Nat. Resour. Forum 2012, 36, 245–262. [Google Scholar] [CrossRef]
- Giampietro, M.; Mayumi, K.; Ramos-Martin, J. Multi-scale integrated analysis of societal and ecosystem metabolism (MuSIASEM): Theoretical concepts and basic rationale. Energy 2009, 34, 313–322. [Google Scholar] [CrossRef]
- Howells, M.; Hermann, S.; Welsch, M.; Bazilian, M.; Segerström, R.; Alfstad, T.; Gielen, D.; Rogner, H.; Fischer, G.; van Velthuizen, H.; et al. Integrated Analysis of Climate Change, Land-Use, Energy and Water Strategies. Nat. Clim. Chang. 2013, 3, 621–626. [Google Scholar] [CrossRef]
- Almulla, Y. Gulf Cooperation Council (GCC) Countries 2040 Energy Scenario for Electricity Generation and Water Desalination. Master‘s Thesis, KTH Royal Institute of Technology, Stockholm, Sweden, 2015. [Google Scholar]
- Liu, J.; Yang, H.; Cudennec, C.; Gain, A.K.; Hoff, H.; Lawford, R.; Qi, J.; de Strasser, L.; Yillia, P.T.; Zheng, C. Challenges in operationalizing the water–energy–food nexus. Hydrol. Sci. J. 2017, 62, 1714–1720. [Google Scholar] [CrossRef] [Green Version]
- Albrecht, T.R.; Crootof, A.; Scott, C.A. The Water-Energy-Food Nexus: A systematic review of methods for nexus assessment. Environ. Res. Lett. 2018, 13, 043002. [Google Scholar] [CrossRef]
- Bagley, D.; Andrews, R.; Adams, B.; Karney, B. Development of sustainable water systems for urban areas: A human hydrologic cycle approach. In Proceedings of the 33rd Canadian Society for Civil Engineering Annual Conference on Infrastructure Technologies, Management and Policy, CSCE, Toronto, ON, Canada, 1 April 2005. [Google Scholar]
- Chhipi-Shrestha, G.; Hewage, K.; Sadiq, R. Water–energy–carbon nexus modeling for urban water systems: System dynamics approach. J. Water Resour. Plan. Manag. 2017, 143, 04017016. [Google Scholar] [CrossRef]
- Friedrich, E. Life-cycle assessment as an environmental management tool in the production of potable water. Water Sci. Technol. 2002, 46, 29–36. [Google Scholar] [CrossRef]
- Kenney, D.S.; Wilkinson, R. (Eds.) The Water-Energy Nexus in the American West; Edward Elgar Publishing Limited: Cheltenham, UK; Northampton, MA, USA, 2011. [Google Scholar]
- Duan, C.; Chen, B. Energy-water-carbon nexus at urban scale. Energy Procedia 2016, 104, 183–190. [Google Scholar] [CrossRef]
- Huang, C.; Li, Y.; Li, X.; Wang, H.; Yan, J.; Wang, X.; Wu, J.; Li, F. Understanding the Water-Energy Nexus in Urban Water Supply Systems with City Features. Energy Procedia 2018, 152, 265–270. [Google Scholar] [CrossRef]
- Forrester, J.W. Industrial Dynamics; Massachussets Institute of Technology: Cambridge, MA, USA; John Wiley and Sons: Hoboken, NJ, USA, 1961. [Google Scholar]
- Forrester, J.W. Principles of Systems; Wright Allen Press: Cambridge, MA, USA, 1968. [Google Scholar]
- De Stercke, S.; Mijic, A.; Buytaert, W.; Chaturvedi, V. Modelling the dynamic interactions between London’s water and energy systems from an end-use perspective. Appl. Energy 2018, 230, 615–626. [Google Scholar] [CrossRef]
- Fagan, J.E.; Reuter, M.A.; Langford, K.J. Dynamic performance metrics to assess sustainability and cost effectiveness of integrated urban water systems. Resour. Conserv. Recycl. 2010, 54, 719–736. [Google Scholar] [CrossRef]
- Zhang, C.; Chen, X.; Li, Y.; Ding, W.; Fu, G. Water-energy-food nexus: Concepts, questions and methodologies. J. Clean. Prod. 2018, 195, 625–639. [Google Scholar] [CrossRef]
- Sehlke, G.; Jacobson, J. System dynamics modeling of transboundary systems: The Bear River basin model. Groundwater 2005, 43, 722–730. [Google Scholar] [CrossRef]
- Daher, B.; Mohtar, R.H.; Lee, S.H.; Assi, A. Modeling the water-energy-food nexus: A 7-question guideline. Water-Energy-Food Nexus Princ. Pract. 2017, 229, 57. [Google Scholar]
- McCarl, B.A.; Yang, Y.; Schwabe, K.; Engel, B.A.; Mondal, A.H.; Ringler, C.; Pistikopoulos, E.N. Model use in WEF nexus analysis: A review of issues. Curr. Sustain. Renew. Energy Rep. 2017, 4, 144–152. [Google Scholar] [CrossRef]
- Abdallah, A.M.; Rosenberg, D.E. Heterogeneous residential water and energy linkages and implications for conservation and management. J. Water Resour. Plan. Manag. 2014, 140, 288–297. [Google Scholar] [CrossRef]
- Stillwell, A.S. Sustainability of public policy: Example from the energy–water nexus. J. Water Resour. Plan. Manag. 2015, 141, A4015001. [Google Scholar] [CrossRef]
- Malinowski, P.A.; Stillwell, A.S.; Wu, J.S.; Schwarz, P.M. Energy-water nexus: Potential energy savings and implications for sustainable integrated water management in urban areas from rainwater harvesting and gray-water reuse. J. Water Resour. Plan. Manag. 2015, 141, A4015003. [Google Scholar] [CrossRef]
- Chini, C.M.; Schreiber, K.L.; Barker, Z.A.; Stillwell, A.S. Quantifying energy and water savings in the US residential sector. Environ. Sci. Technol. 2016, 50, 9003–9012. [Google Scholar] [CrossRef] [Green Version]
- Escriva-Bou, A.; Lund, J.R.; Pulido-Velazquez, M. Modeling residential water and related energy, carbon footprint and costs in California. Environ. Sci. Policy 2015, 50, 270–281. [Google Scholar] [CrossRef] [Green Version]
- Kenway, S.J.; Binks, A.; Lane, J.; Lant, P.A.; Lam, K.L.; Simms, A. A systemic framework and analysis of urban water energy. Environ. Model. Softw. 2015, 73, 272–285. [Google Scholar] [CrossRef]
- Lam, K.L.; Kenway, S.J.; Lant, P.A. City-scale analysis of water-related energy identifies more cost-effective solutions. Water Res. 2017, 109, 287–298. [Google Scholar] [CrossRef] [Green Version]
- Spang, E.S.; Loge, F.J. A high-resolution approach to mapping energy flows through water infrastructure systems. J. Ind. Ecol. 2015, 19, 656–665. [Google Scholar] [CrossRef]
- Wakeel, M.; Chen, B. Energy consumption in urban water cycle. Energy Procedia 2016, 104, 123–128. [Google Scholar] [CrossRef]
- Zappone, M.; Fiore, S.; Genon, G.; Venkatesh, G.; Brattebø, H.; Meucci, L. Life Cycle Energy and GHG Emission within the Turin Metropolitan Area Urban Water Cycle. Procedia Eng. 2014, 89, 1382–1389. [Google Scholar] [CrossRef] [Green Version]
- Dai, J.; Wu, S.; Han, G.; Weinberg, J.; Xie, X.; Wu, X.; Song, X.; Jia, B.; Xue, W.; Yang, Q. Water-energy nexus: A review of methods and tools for macro-assessment. Appl. Energy 2018, 210, 393–408. [Google Scholar] [CrossRef]
- Zhang, X.H.; Zhang, H.W.; Chen, B.; Chen, G.Q.; Zhao, X.H. Water resources planning based on complex system dynamics: A case study of Tianjin city. Commun. Nonlinear Sci. Numer. Simul. 2008, 13, 2328–2336. [Google Scholar] [CrossRef]
- El-Gafy, I. Water–food–energy nexus index: Analysis of water–energy–food nexus of crop’s production system applying the indicators approach. Appl. Water Sci. 2017, 7, 2857–2868. [Google Scholar] [CrossRef] [Green Version]
- Griffiths-Sattenspiel, B.; Wilson, W. The Carbon Footprint of Water; River Network: Portland, OR, USA, 2009. [Google Scholar]
- Nelson, G.C.; Robertson, R.; Msangi, S.; Zhu, T.; Liao, X.; Jawajar, P. Greenhouse Gas Mitigation: Issues for Indian Agriculture; International Food Policy Research Institute: Washington, DC, USA, 2009. [Google Scholar]
- Renzoni, R.; Germain, A. Life Cycle Assessment of Water: From the pumping station to the wastewater treatment plant (9 pp). Int. J. Life Cycle Assess. 2007, 12, 118–126. [Google Scholar] [CrossRef]
- Anderson, J.M. Integrating recycled water into urban water supply solutions. Desalination 2006, 187, 1–9. [Google Scholar] [CrossRef]
- Dale, L. Electricity price and Southern California’s water supply options. Resour. Conserv. Recycl. 2004, 42, 337–350. [Google Scholar] [CrossRef]
- Muñoz, I.; Milà-i-Canals, L.; Fernández-Alba, A.R. Life cycle assessment of water supply plans in Mediterranean Spain: The Ebro river transfer versus the AGUA Programme. J. Ind. Ecol. 2010, 14, 902–918. [Google Scholar] [CrossRef]
- Raluy, R.G.; Serra, L.; Uche, J. Life cycle assessment of water production technologies-part 1: Life cycle assessment of different commercial desalination technologies (MSF, MED, RO) (9 pp). Int. J. Life Cycle Assess. 2005, 10, 285–293. [Google Scholar] [CrossRef]
- Scott, C.; Pasqualetti, M.; Hoover, J.; Garfin, G.; Varady, R.; Guhathakurta, S. Water and Energy Sustainability with Rapid Growth and Climate Change in the Arizona-Sonora Border Region; A Report to the Arizona Water Institute; Arizona Water Institute: Temple, AZ, USA, 2009. [Google Scholar]
- Stokes, J.R.; Horvath, A. Energy and Air Emission Effects of Water Supply. Environ. Sci. Technol. 2009, 43, 2680–2687. [Google Scholar] [CrossRef] [Green Version]
- Xiang, D.; Gao, L.; Liu, X.; Guo, C.; Yang, S.; Qian, Y. Water consumption analysis of olefins production from alternative resources in China. J. Clean. Prod. 2016, 139, 146–156. [Google Scholar] [CrossRef]
- Amores, M.J.; Meneses, M.; Pasqualino, J.; Antón, A.; Castells, F. Environmental assessment of urban water cycle on Mediterranean conditions by LCA approach. J. Clean. Prod. 2013, 43, 84–92. [Google Scholar] [CrossRef]
- Cammerman, N. Integrated Water Resource Management and the Water, Energy, Climate Change Nexus: A Discussion Report. Master’s Thesis, University of Queensland, Brisbane, Australia, 2009. [Google Scholar]
- Cheng, C.L. Study of the inter-relationship between water use and energy conservation for a building. Energy Build. 2002, 34, 261–266. [Google Scholar] [CrossRef]
- Friedrich, E.; Pillay, S.; Buckley, C.A. Environmental life cycle assessments for water treatment processes—A South African case study of an urban water cycle. Water Sa 2009, 35, 73–84. [Google Scholar] [CrossRef] [Green Version]
- Hardberger, A.; Stillwell, A.S.; King, C.W.; Webber, M.; Duncan, I.J. Energy-Water Nexus in Texas; The University of Texas at Austin: Austin, TX, USA; Environmental Defense Fund: Washington, DC, USA, 2009. [Google Scholar]
- Hardy, L.; Garrido, A.; Juana, L. Evaluation of Spain’s water-energy nexus. Int. J. Water Resour. Dev. 2012, 28, 151–170. [Google Scholar] [CrossRef] [Green Version]
- Kenway, S.J.; Priestley, A.; Cook, S.; Seo, S.; Inman, M.; Gregory, A.; Hall, M. Energy Use in the Provision and Consumption of Urban Water in AUSTRALIA and New Zealand; Water Services Association of Australia (WSAA): Sydney, Australia, 2008. [Google Scholar]
- Klein, G.; Krebs, M.; Hall, V.; O’Brien, T.; Blevins, B.B. California’s Water–Energy Relationship; California Energy Commission: Sacramento, CA, USA, 2005; pp. 1–180. [Google Scholar]
- Kneppers, B.; Birchfield, D.; Lawton, M. Energy-water relationships in reticulated water infrastructure systems. Water Supply 2009, 76, 75-15. [Google Scholar]
- Lemos, D.; Dias, A.C.; Gabarrell, X.; Arroja, L. Environmental assessment of an urban water system. J. Clean. Prod. 2013, 54, 157–165. [Google Scholar] [CrossRef]
- Lundie, S.; Peters, G.M.; Beavis, P.C. Life Cycle Assessment for Sustainable Metropolitan Water Systems Planning. Environ. Sci. Technol. 2004, 38, 3465–3473. [Google Scholar] [CrossRef] [Green Version]
- Maas, C. Greenhouse Gas and Energy Co-Benefits of Water Conservation; POLIS Project on Ecological Governance; University of Victoria: Victoria, Australia, 2009. [Google Scholar]
- Miller, L.A.; Ramaswami, A.; Ranjan, R. Contribution of water and wastewater infrastructures to urban energy metabolism and greenhouse gas emissions in cities in India. J. Environ. Eng. 2013, 139, 738–745. [Google Scholar] [CrossRef]
- Mo, W.; Wang, R.; Zimmerman, J.B. Energy–water nexus analysis of enhanced water supply scenarios: A regional comparison of Tampa Bay, Florida, and San Diego, California. Environ. Sci. Technol. 2014, 48, 5883–5891. [Google Scholar] [CrossRef]
- Racoviceanu, A.I.; Karney, B.W.; Kennedy, C.A.; Colombo, A.F. Life-cycle energy use and greenhouse gas emissions inventory for water treatment systems. J. Infrastruct. Syst. 2007, 13, 261–270. [Google Scholar] [CrossRef] [Green Version]
- Tan, D.; Hu, F.; Thieriot, H.; McGregor, D. Towards a Water & Energy Secure China; China Water Risk: Hong Kong, China, 2015. [Google Scholar]
- Venkatesh, G.; Brattebø, H. Energy consumption, costs and environmental impacts for urban water cycle services: Case study of Oslo (Norway). Energy 2011, 36, 792–800. [Google Scholar] [CrossRef]
- Wang, H.; Yang, Y.; Keller, A.A.; Li, X.; Feng, S.; Dong, Y.N.; Li, F. Comparative analysis of energy intensity and carbon emissions in wastewater treatment in USA, Germany, China and South Africa. Appl. Energy 2016, 184, 873–881. [Google Scholar] [CrossRef] [Green Version]
- WEF. Energy Conservation in Water and Wastewater Facilities; Prepared by the Energy Conservation in Water and Wastewater Treatment Facilities; Task Force of the Water Environment Federation: Alexandria, VA, USA, 2009. [Google Scholar]
- Zarghami, M.; Akbariyeh, S. System dynamics modeling for complex urban water systems: Application to the city of Tabriz, Iran. Resour. Conserv. Recycl. 2012, 60, 99–106. [Google Scholar] [CrossRef]
- Cooley, H.; Gleick, P.H.; Wolff, G. Desalination, with a Grain of Salt; Pacific Institute: Oakland, CA, USA, 2006. [Google Scholar]
- National Research Council. Desalination: A National Perspective; National Academies Press: Washington, DC, USA, 2008. [Google Scholar]
- Park, L.; Bennett, B. Embedded Energy in Water Studies-Study 2: Water Agency and Function Component Study and Embedded Energy-Water Load Profiles; California Public Utilities Commission: Sacramento, CA, USA, 2010. [Google Scholar]
- Yu, M.; Wang, C.; Liu, Y.; Olsson, G.; Bai, H. Water and related electrical energy use in urban households—Influence of individual attributes in Beijing, China. Resour. Conserv. Recycl. 2018, 130, 190–199. [Google Scholar] [CrossRef]
- Wakeel, M.; Chen, B.; Hayat, T.; Alsaedi, A.; Ahmad, B. Energy consumption for water use cycles in different countries: A review. Appl. Energy 2016, 178, 868–885. [Google Scholar] [CrossRef]
- Mizuta, K.; Shimada, M. Benchmarking energy consumption in municipal wastewater treatment plants in Japan. Water Sci. Technol. 2010, 62, 2256–2262. [Google Scholar] [CrossRef]
- Apostolidis, N. Australian experience in water and energy footprints. Water Pract. Technol. 2010, 5, wpt2010076. [Google Scholar] [CrossRef]
- Coffey, M. Amiad’s Pre-Treatment Systems Used in NEWater Factories; Environmental XPR: Madrid, Spain, 2006. [Google Scholar]
- General Purpose Standing Committee, No. 5. A Sustainable Water Supply for Sydney; General Purpose Standing Committee: Sydney, Australia, 2006. [Google Scholar]
- Chaudhry, S. Energy & water Nexus: Availability & impacts. In Proceedings of the EIA Energy Conferences and Presentations, Washington, DC, USA, 6–7 April 2010. [Google Scholar]
- Knights, D.; MacGill, I.; Passey, R. The Sustainability of Desalination Plants in Australia: Is Renewable Energy the Answer? In Proceedings of the OzWater Conference, Sydney, Australia, 4–8 March 2007. [Google Scholar]
- Mo, W.; Zhang, Q.; Mihelcic, J.R.; Hokanson, D.R. Embodied energy comparison of surface water and groundwater supply options. Water Res. 2011, 45, 5577–5586. [Google Scholar] [CrossRef]
- Cooley, H.; Wilkinson, R. Implications of Future Water Supply Sources for Energy Demands; WateReuse Research Foundation: Alexandria, VA, USA, 2012. [Google Scholar]
- Nair, S.; George, B.; Malano, H.M.; Arora, M.; Nawarathna, B. Water–energy–greenhouse gas nexus of urban water systems: Review of concepts, state-of-art and methods. Resour. Conserv. Recycl. 2014, 89, 1–10. [Google Scholar] [CrossRef]
- Global Water Market. Meeting the World’s Water and Wastewater Needs Until 2020; Global Water Intelligence: Oxford, UK, 2017. [Google Scholar]
- Pearson, D.; Trow, S.W. Calculating economic levels of leakage. In Proceedings of the Leakage 2005 Conference, Halifax, NS, Canada, 12–14 September 2005. [Google Scholar]
- Farley, M.; Wyeth, G.; Ghazali, Z.B.M.; Istandar, A.; Singh, S. The Manager‘s Non-Revenue Water Handbook For Africa: A Guide to Understanding Water Losses; United States Agency for International Development (USAID): Washington, DC, USA, 2010. [Google Scholar]












| Items | Details |
|---|---|
| Sector | Water, energy |
| Geographic scale | Urban level |
| Application of model results | Understanding the Nexus |
| Interaction assumption | One-way impact analysis (water → energy) Building a water-driven Nexus |
| Indicators | Water footprints, total energy use, and total CO2 equivalent emission |
| [58] | [67] | [65] | |
|---|---|---|---|
| Water resource |
|
|
|
| Intake/Conveyance & transmission | O | X | X |
| Water treatment |
| X | X |
| Distribution | O | X | X |
| Groundwaterrecharging | X |
| X |
| Other water resources |
| O | O |
| Population |
|
|
|
| Water losses |
|
|
|
| Water use |
|
|
|
| Sewage collection |
| X | X |
| Wastewater treatment | O | X | X |
| Process in UWS | Specific Technique | Energy Intensity (kWh/m3) | Reference |
|---|---|---|---|
| Intake | - | 0.0027~0.05 | [85,86] |
| Conveyance & transmission | - | 0.21~4.07 | [87,88,89,90,91,92,93] |
| Water treatment | Surface water & ground water | 0.01~16.4 | [33,79,86,89,94,95,96,97,98,99,100,101,102,103,104,105,106,107,108,109,110,111,112,113] |
| Desalination | 0.36~68.69 | [114,115,116,117] | |
| Distribution | - | 0.2~4.9 | [118] |
| Use | 1.5~50 | [118] | |
| Sewage collection | 0 | - | |
| Wastewater treatment | 0.05~7.50 | [33,79,86,94,96,97,98,99,100,103,104,106,107,108,110,111,113,119] | |
| Reuse | Centralized system | 0.72~3.8 | [87,89,120,121,122,123,124] |
| Decentralized system | 1.7~4.5 | [119] | |
| Discharge | 0.02 | [119] |
| Water Losses | Good Condition | High NRW & Low AL Ratio | High NRW & Medium AL Ratio | High NRW & High AL Ratio | |
|---|---|---|---|---|---|
| Energy Intensity | |||||
| Low EI | S 1-1 | S 1-2 | S 1-3 | S 1-4 | |
| Medium EI | S 2-1 | S 2-2 | S 2-3 | S 2-4 | |
| High EI | S 3-1 | S 3-2 | S 3-3 | S 3-4 | |
| Urban Water System | Parameter | Low EI | Medium EI | High EI |
|---|---|---|---|---|
| Intake | Energy intensity | 0.0027 | 0.0027 | 0.0027 |
| Groundwater level | 20 | 40 | 60 | |
| Groundwater ratio | 0.1 | 0.5 | 0.9 | |
| Conveyance and transmission | Energy intensity | 0.2 | 2.1 | 4 |
| Water treatment | Energy intensity | 0.2 | 0.6 | 1 |
| Water distribution | Energy intensity | 0.2 | 0.5 | 0.8 |
| Use | Energy intensity | 50 | 50 | 50 |
| Hot water usage ratio | 0.01 | 0.02 | 0.03 | |
| Sewage collection | Energy intensity | 0 | 0 | 0 |
| Sewage collection ratio | 0.9 | 0.9 | 0.9 | |
| Wastewater treatment | Energy intensity | 0.3 | 0.65 | 1 |
| WW treatment ratio | 0.9 | 0.9 | 0.9 | |
| Discharge | Energy intensity | 0.02 | 0.02 | 0.02 |
| Apparent Loss (NRW a) | Real Loss (NRW r) | |||||||
|---|---|---|---|---|---|---|---|---|
| Initial Value | Final Value | Reduction Rate [L/Month] | Month of Final Value | Initial Value | Final Value | Reduction Rate [L/Month] | Month of Final Value | |
| Good condition | 0.01 | 0.01 | 0 | - | 0.19 | 0.19 | 0 | - |
| High NRW & Low AL ratio | 0.05 | 0.01 | 0.00067 | 60 | 0.45 | 0.19 | 0.00433 | 60 |
| High NRW & Medium AL ratio | 0.15 | 0.01 | 0.00233 | 60 | 0.35 | 0.19 | 0.00267 | 60 |
| High NRW & High AL ratio | 0.25 | 0.01 | 0.004 | 60 | 0.25 | 0.19 | 0.001 | 60 |
| Time [Month] Scenario | 0 | 1 | 13 | 25 | 37 | 49 | 61 | 73 | 85 | 97 | 109 | 120 |
|---|---|---|---|---|---|---|---|---|---|---|---|---|
| S 1-1 | 1.13951 | 1.14065 | 1.15441 | 1.16834 | 1.18244 | 1.19680 | 1.21115 | 1.22576 | 1.24055 | 1.25552 | 1.27067 | 1.28472 |
| S 1-2 | 1.67129 | 1.66 | 1.53721 | 1.43406 | 1.34622 | 1.27869 | 1.21115 | 1.22576 | 1.24055 | 1.25552 | 1.27067 | 1.28472 |
| S 1-3 | 1.41631 | 1.412 | 1.36296 | 1.3185 | 1.27804 | 1.24460 | 1.21115 | 1.22576 | 1.24055 | 1.25552 | 1.27067 | 1.28472 |
| S 1-4 | 1.22933 | 1.22895 | 1.22448 | 1.22033 | 1.21649 | 1.21382 | 1.21115 | 1.22576 | 1.24055 | 1.25552 | 1.27067 | 1.28472 |
| S 2-1 | 1.21303 | 1.21424 | 1.2289 | 1.24372 | 1.25873 | 1.27401 | 1.28929 | 1.30485 | 1.32059 | 1.33653 | 1.35265 | 1.36761 |
| S 2-2 | 1.77259 | 1.76072 | 1.63169 | 1.52332 | 1.43107 | 1.36018 | 1.28929 | 1.30485 | 1.32059 | 1.33653 | 1.35265 | 1.36761 |
| S 2-3 | 1.5042 | 1.49968 | 1.44826 | 1.40167 | 1.35929 | 1.32429 | 1.28929 | 1.30485 | 1.32059 | 1.33653 | 1.35265 | 1.36761 |
| S 2-4 | 1.30738 | 1.30699 | 1.30249 | 1.29833 | 1.2945 | 1.29190 | 1.28929 | 1.30485 | 1.32059 | 1.33653 | 1.35265 | 1.36761 |
| S 3-1 | 1.29196 | 1.29325 | 1.30885 | 1.32465 | 1.34063 | 1.35691 | 1.37318 | 1.38975 | 1.40651 | 1.42349 | 1.44066 | 1.45659 |
| S 3-2 | 1.88185 | 1.86935 | 1.73349 | 1.6194 | 1.52231 | 1.44775 | 1.37318 | 1.38975 | 1.40652 | 1.42349 | 1.44066 | 1.45659 |
| S 3-3 | 1.59882 | 1.59407 | 1.54004 | 1.49111 | 1.44661 | 1.40990 | 1.37318 | 1.38975 | 1.40651 | 1.42349 | 1.44066 | 1.45659 |
| S 3-4 | 1.39127 | 1.39087 | 1.38632 | 1.38213 | 1.37827 | 1.37573 | 1.37318 | 1.38975 | 1.40651 | 1.42349 | 1.44066 | 1.45659 |
| Time [Month] Scenario | 0 | 1 | 13 | 25 | 37 | 49 | 61 | 73 | 85 | 97 | 109 | 120 |
|---|---|---|---|---|---|---|---|---|---|---|---|---|
| S 1-1 | 1.40075 | 1.40215 | 1.41907 | 1.43619 | 1.45352 | 1.47117 | 1.48881 | 1.50677 | 1.52495 | 1.54335 | 1.56198 | 1.57924 |
| S 1-2 | 1.72189 | 1.71578 | 1.65024 | 1.59665 | 1.55243 | 1.52062 | 1.48881 | 1.50677 | 1.52495 | 1.54335 | 1.56198 | 1.57924 |
| S 1-3 | 1.56322 | 1.56142 | 1.54148 | 1.52433 | 1.50963 | 1.49922 | 1.48881 | 1.50677 | 1.52495 | 1.54335 | 1.56198 | 1.57924 |
| S 1-4 | 1.44687 | 1.44749 | 1.45505 | 1.46289 | 1.471 | 1.47991 | 1.48881 | 1.50677 | 1.52495 | 1.54335 | 1.56198 | 1.57924 |
| S 2-1 | 5.07679 | 5.08186 | 5.14318 | 5.20524 | 5.26805 | 5.33200 | 5.39595 | 5.46105 | 5.52695 | 5.59364 | 5.66113 | 5.72372 |
| S 2-2 | 6.78688 | 6.75198 | 6.37419 | 6.05973 | 5.79474 | 5.59535 | 5.39595 | 5.46105 | 5.52695 | 5.59364 | 5.66113 | 5.72372 |
| S 2-3 | 5.95747 | 5.9452 | 5.80669 | 5.68298 | 5.5722 | 5.48408 | 5.39595 | 5.46105 | 5.52695 | 5.59364 | 5.66113 | 5.72372 |
| S 2-4 | 5.34924 | 5.34969 | 5.35571 | 5.36294 | 5.37133 | 5.38364 | 5.39595 | 5.46105 | 5.52695 | 5.59364 | 5.66113 | 5.72372 |
| S 3-1 | 9.02305 | 9.03207 | 9.14105 | 9.25135 | 9.36298 | 9.47664 | 9.59029 | 9.70601 | 9.82313 | 9.94166 | 10.0616 | 10.1728 |
| S 3-2 | 12.2498 | 12.1834 | 11.4639 | 10.8637 | 10.3568 | 9.97355 | 9.5903 | 9.70602 | 9.82313 | 9.94166 | 10.0616 | 10.1729 |
| S 3-3 | 10.6885 | 10.6647 | 10.3958 | 10.1548 | 9.93814 | 9.76422 | 9.59029 | 9.70601 | 9.82313 | 9.94166 | 10.0616 | 10.1728 |
| S 3-4 | 9.54345 | 9.54363 | 9.547 | 9.55256 | 9.56025 | 9.57527 | 9.59029 | 9.70601 | 9.82313 | 9.94166 | 10.0616 | 10.1728 |
| Time [Month] Scenario | 0 | 1 | 13 | 25 | 37 | 49 | 61 | 73 | 85 | 97 | 109 | 120 |
|---|---|---|---|---|---|---|---|---|---|---|---|---|
| S 1-1 | 0.38858 | 0.38897 | 0.39367 | 0.39842 | 0.40322 | 0.40812 | 0.41301 | 0.41800 | 0.42304 | 0.42815 | 0.43331 | 0.43810 |
| S 1-2 | 0.47925 | 0.47752 | 0.45893 | 0.44372 | 0.43115 | 0.42208 | 0.41301 | 0.41800 | 0.42304 | 0.42815 | 0.43331 | 0.43810 |
| S 1-3 | 0.43432 | 0.43381 | 0.42812 | 0.42323 | 0.41902 | 0.41602 | 0.41301 | 0.41800 | 0.42304 | 0.42815 | 0.43331 | 0.43810 |
| S 1-4 | 0.40137 | 0.40154 | 0.40364 | 0.40582 | 0.40807 | 0.41054 | 0.41301 | 0.41800 | 0.42304 | 0.42815 | 0.43331 | 0.43810 |
| S 2-1 | 1.3076 | 1.30891 | 1.3247 | 1.34068 | 1.35686 | 1.37333 | 1.3898 | 1.40657 | 1.42354 | 1.44072 | 1.45811 | 1.47423 |
| S 2-2 | 1.7455 | 1.73657 | 1.63992 | 1.55949 | 1.49173 | 1.44077 | 1.3898 | 1.40657 | 1.42354 | 1.44072 | 1.45811 | 1.47423 |
| S 2-3 | 1.53289 | 1.52976 | 1.49443 | 1.46289 | 1.43466 | 1.41223 | 1.3898 | 1.40657 | 1.42354 | 1.44072 | 1.45811 | 1.47423 |
| S 2-4 | 1.37697 | 1.3771 | 1.37881 | 1.38084 | 1.38316 | 1.38648 | 1.3898 | 1.40657 | 1.42354 | 1.44072 | 1.45811 | 1.47423 |
| S 3-1 | 2.29416 | 2.29646 | 2.32417 | 2.35221 | 2.38059 | 2.40949 | 2.43839 | 2.46781 | 2.49759 | 2.52773 | 2.55823 | 2.58651 |
| S 3-2 | 3.11124 | 3.09443 | 2.91234 | 2.76048 | 2.63225 | 2.53532 | 2.43839 | 2.46781 | 2.49759 | 2.52773 | 2.55823 | 2.58651 |
| S 3-3 | 2.71563 | 2.70962 | 2.6417 | 2.58084 | 2.52615 | 2.48227 | 2.43839 | 2.46781 | 2.49759 | 2.52773 | 2.55823 | 2.58651 |
| S 3-4 | 2.42552 | 2.42558 | 2.42663 | 2.42824 | 2.43039 | 2.43439 | 2.43839 | 2.46781 | 2.49759 | 2.52773 | 2.55823 | 2.58651 |
Publisher’s Note: MDPI stays neutral with regard to jurisdictional claims in published maps and institutional affiliations. |
© 2022 by the authors. Licensee MDPI, Basel, Switzerland. This article is an open access article distributed under the terms and conditions of the Creative Commons Attribution (CC BY) license (https://creativecommons.org/licenses/by/4.0/).
Share and Cite
Choi, S.H.; Shin, B.; Shin, E. Managing Apparent Loss and Real Loss from the Nexus Perspective Using System Dynamics. Water 2022, 14, 231. https://doi.org/10.3390/w14020231
Choi SH, Shin B, Shin E. Managing Apparent Loss and Real Loss from the Nexus Perspective Using System Dynamics. Water. 2022; 14(2):231. https://doi.org/10.3390/w14020231
Chicago/Turabian StyleChoi, Seo Hyung, Bongwoo Shin, and Eunher Shin. 2022. "Managing Apparent Loss and Real Loss from the Nexus Perspective Using System Dynamics" Water 14, no. 2: 231. https://doi.org/10.3390/w14020231
APA StyleChoi, S. H., Shin, B., & Shin, E. (2022). Managing Apparent Loss and Real Loss from the Nexus Perspective Using System Dynamics. Water, 14(2), 231. https://doi.org/10.3390/w14020231
