Water Requirement of Solar Greenhouse Tomatoes with Drip Irrigation under Mulch in the Southwest of the Taklimakan Desert
Abstract
1. Introduction
2. Materials and Methods
2.1. Experimental Plot
2.2. Plant Material
2.3. Irrigation Treatment Design
2.4. Agronomic Management
2.5. Parameter Determinations
2.5.1. Meteorological Data
2.5.2. Irrigation Amount
2.5.3. Soil Moisture
2.5.4. Fruit Yield
2.5.5. Fruit Quality
2.6. Parameter Calculation
2.6.1. Reference Crop Evapotranspiration
2.6.2. Evapotranspiration
- (1)
- The instrument measurement error. Since the Diniver2000 was used for soil moisture monitoring in this study, in order to reduce the measurement error, the instrument was calibrated before the experiment started;
- (2)
- The layout of the access tubes: different from flood irrigation, drip irrigation is a localized irrigation technology, the layout of the access tubes will directly affect the accurate acquisition of soil moisture. A total of three access tubes were installed in the experiment (see Section 2.5.3), and the average value of soil moisture measurements of three access tubes at a certain depth were used as the soil water content at that depth;
- (3)
- Installation of the access tube: when the Diniver2000 is used to measure soil moisture, the contact between the side wall of an access tube and the soil will greatly affect the measurement results (when there are pores, the measured value is higher than the actual value). Therefore, after an access tube is buried, the gap between the side wall of the access tube and the soil is filled with mud to secure a close contact and then ensure the accuracy of soil moisture data;
- (4)
- The measurement of soil water content: due to the redistribution process of soil water after irrigation, it is important to measure the soil water content at an adequate time. If the measurement is carried out too early, the measured soil moisture change will be larger than the actual result because the soil water in the scheming wetted soil layer is still draining from the soil after the measurement, and. In this study, the soil moisture is usually measured 12 h after irrigation to ensure that the gravity water in the scheming wetted soil layer depth has been completely drained.
2.6.3. Crop Coefficient
2.6.4. Water Use Efficiency
2.7. Comprehensive Evaluation
2.7.1. Indicator Weight
2.7.2. Normalization of Evaluation Indicators
2.7.3. Ideal Solution (Zij+) and Negative Solution (Zij−)
2.7.4. Euclidean Distances (Di+ and Di−)
2.7.5. Relative Proximity Coefficient Ri
2.8. Statistical Analysis
3. Results
3.1. ET0 Variations in the Solar Greenhouse over the Two Seasons
3.2. Water Requirement
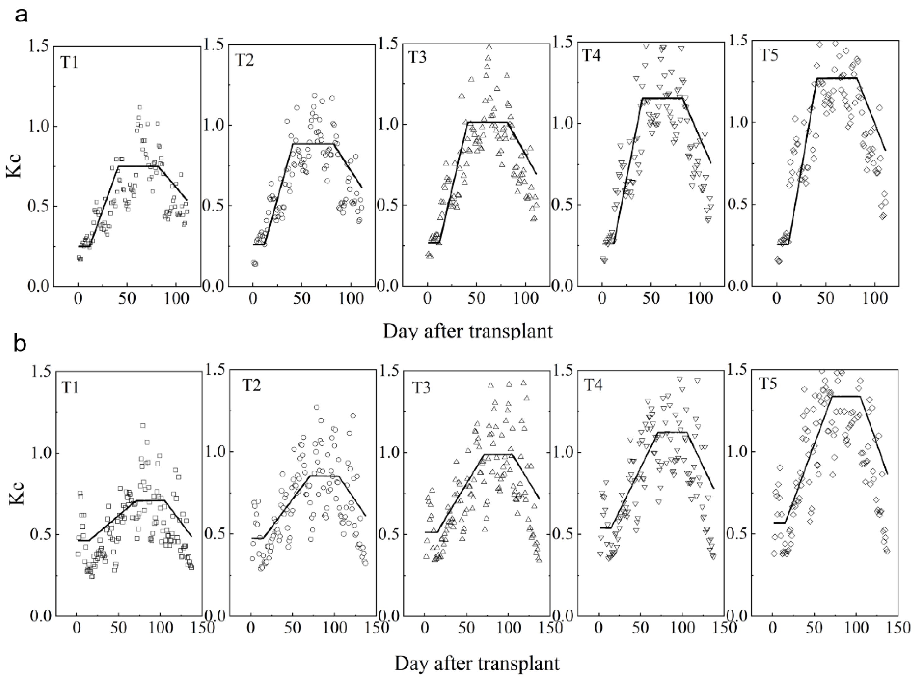
3.3. Crop Coefficient
3.4. Fruit Yield and WUE
3.5. Fruit Quality
3.6. Comprehensive Evaluation Based on TOPSIS Method
4. Discussion
5. Conclusions
Author Contributions
Funding
Data Availability Statement
Acknowledgments
Conflicts of Interest
Abbreviations
| D | Deep percolation below the root zone |
| ET0 | Reference crop evapotranspiration |
| ETc | Crop evapotranspiration |
| Es | Saturation vapor pressure of air |
| ea | Actual vapor pressure of air |
| FC | Field capacity |
| G | Soil heat flux at the soil surface |
| H | Root depth |
| I | Irrigation amount |
| Ia | Medium irrigation quota |
| K | Root zone water supplied by groundwater |
| Kc | Crop coefficient |
| p | In Equation (1) is the wetted percentage and in Equation (2) is precipitation |
| R | Surface runoff |
| Rn | Net radiation |
| Rs | Average daily total radiation |
| RH | Relative humidity |
| SFW | Single fruit weight |
| T | Air temperature |
| TSS | Total soluble solids |
| TTA | Total titratable acid |
| WUE | Water use efficiency |
| Vc | Vitamin C |
| γ | Psychrometer constant |
| Δ | Slope of the saturation vapor pressure versus temperature curve |
References
- Oliveira, M.; Calado, A.; Portas, C. Tomato root distribution under drip irrigation. J. Am. Soc. Hortic. 1996, 121, 644–648. [Google Scholar] [CrossRef]
- Gao, L.; Qu, M.; Ren, H.; Sui, X.; Chen, Q.; Zhang, Z. Structure, function, application, and ecological benefit of a single-slope, energy-efficient solar greenhouse in China. Hort. Technol. 2010, 20, 626–634. [Google Scholar] [CrossRef]
- Esmaeli, H.; Roshandel, R. Optimal design for solar greenhouses based on climate conditions. Renew Energ. 2020, 145, 1255–1265. [Google Scholar] [CrossRef]
- Mazzeo, D.; Baglivo, C.; Panico, S.; Gonedo, P.M. Solar greenhouses: Climates, glass selection, and plant well-being. Sol. Energy 2021, 230, 222–241. [Google Scholar] [CrossRef]
- Wang, Y.; Jia, X.; Olasupo, I.O.; Feng, Q.; Wang, L. Effects of biodegradablefilms on melon quality and substrate environment insolar greenhouse. Sci. Total Environ. 2022, 829, 154527. [Google Scholar] [CrossRef]
- Zhao, Y.; Hong, M.; Qu, J.; Xie, X.; Ma, X. Effects of irrigation quota on growth, yield and quality of greenhouse capsicums under drip irrigation in Hetian. J. Water Res. Water Eng. 2021, 32, 222–228, 235. [Google Scholar]
- Li, X. Water resources problems in the process of poverty alleviation and development in Hetian Xinjiang. Water Res. Develop. Res. 2017, 17, 4–8+14. [Google Scholar]
- Xu, H.; Li, Y.; Cui, Y.; Jiang, W.; Zou, Z. Thermal performance test and analysis of solar greenhouse in hinterland of Hetian desert, Xinjiang. Trans. Chin. Soc. Agric. Eng. 2018, 34, 6. [Google Scholar]
- Wang, Y.; Zhang, H.; Xu, X. Study on the wetting front of water infiltration and soil water redistribution in aeolian sandy soil. J. Arid. Environ. 2009, 23, 190–194. [Google Scholar]
- Xuan, C.; Ding, R.; Shao, J.; Liu, Y. Evapotranspiration and quantitative partitioning of spring maize with drip irrigation under mulch in an arid region of northwestern China. Water 2021, 13, 3169. [Google Scholar] [CrossRef]
- Yaghia, T.; Arslana, A.; Naoum, F. Cucumber (Cucumis sativus, L.) water use efficiency (WUE) under plastic mulch and drip irrigation. Agric. Water Manag. 2013, 128, 149–157. [Google Scholar] [CrossRef]
- Adekaldu, E.; Amponsah, W.; Tuffour, H.O.; Adu, M.O.; Agyar, W.A. Response of chilli pepper to different irrigation schedules and mulching technologies in semi-arid environments. J. Agric. Food Chem. 2021, 6, 100222. [Google Scholar] [CrossRef]
- Harmanto; Salokhe, V.M.; Babel, M.S.; Tantau, H.J. Water requirement of drip irrigated tomatoes grown in greenhouse in tropical environment. Agric. Water Manag. 2005, 71, 225–242. [Google Scholar] [CrossRef]
- Guo, Z.; Liu, H.; Wu, W.; Yang, S. Water consumption of cherry tomato with mulched drip irrigation in solar greenhouse. Trans. Chin. Soc. Agric. Eng. 2010, 26, 53–58. [Google Scholar]
- Liu, H.; Duan, A.; Li, F.; Sun, J. Drip irrigation scheduling for tomato grown in solar greenhouse based on pan evaporation in North China Plain. J. Integ. Agric. 2013, 12, 520–531. [Google Scholar] [CrossRef]
- Mohmed, A.M.A.; Cheng, J.; Feng, S.; Liu, W.; Xia, X. Response of greenhouse tomato growth, yield and quality to drip irrigation. J. Irrig. Drain. 2016, 35, 36–41. [Google Scholar]
- Li, Y.; Chen, Z.; Zhang, D.; Yang, F.; Li, Y.; Wei, M. Study on water requirement characteristics of tomato grown in different seasons in solar greenhouse. J. Irrig. Drain. 2019, 38, 1–6. [Google Scholar]
- Gong, X.; Qiu, R.; Sun, J.; Li, Y.; Wang, s. Evapotranspiration and crop coefficient of tomato grown in a solar greenhouse under full and deficit irrigation. Agric. Water Manag. 2020, 235, 106154. [Google Scholar] [CrossRef]
- Saadon, T.; Lazarovitch, N.; Jerszurki, D.; Tas, E. Predicting net radiation in naturally ventilated greenhouses based on outside global solar radiation for reference evapotranspiration estimation. Agric. Water Manag. 2021, 257, 107102. [Google Scholar] [CrossRef]
- Bao, C. Water Consumption and Irrigation System of Tomato with Drip Irrigation in Solar Greenhouse under Wind-Sand Soil Conditions; Xinjiang Agricultural University: Urumqi, China, 2021. [Google Scholar]
- Zhang, Z. Planning and Design Principle and Application of Drip Irrigation Engineering; China WaterPower Press: Beijing, China, 2007. [Google Scholar]
- Marino, S.; Aria, M.; Basso, B.; Leone, A.P.; Alvino, A. Use of soil and vegetation spectroradiometry to investigate crop water use efficiency of a drip irrigated tomato. Eur. J. Agron. 2014, 59, 67–77. [Google Scholar] [CrossRef]
- Wang, J.; Niu, W.; Li, Y.; Lv, W. Subsurface drip irrigation enhances soil nitrogen and phosphorus metabolism in tomato root zones and promotes tomato growth. Appl. Soil Ecol. 2018, 124, 240–251. [Google Scholar] [CrossRef]
- Yang, Z.; Deng, S. The design of drip irrigation system. J. Agril. Mech. Res. 2012, 34, 96–98+102. [Google Scholar]
- Lu, S.; Zhang, X.; Liang, P. Influence of drip irrigation by reclaimed water on the dynamic change of the nitrogen element in soil and tomato yield and quality. J. Clean. Prod. 2016, 139, 561–566. [Google Scholar] [CrossRef]
- Liu, T.; Cheng, Z.; Meng, H.; Ahmad, I.; Zhao, H. Growth, yield and quality of spring tomato and physicochemical properties of medium in a tomato/garlic intercropping system under plastic tunnel organic medium cultivation. Sci. Hortic. 2014, 170, 159–168. [Google Scholar] [CrossRef]
- Zheng, J.; Huang, G.; Jia, D.; Wang, J.; Mota, M.; Pereira, L.S.; Huang, Q.; Xu, X.; Liu, H. Responses of drip irrigated tomato (Solanum lycopersicum L.) yield, quality and water productivity to various soil matric potential thresholds in an arid region of Northwest China. Agric. Water Manag. 2013, 129, 181–193. [Google Scholar] [CrossRef]
- Chen, X.; Cai, H.; Li, H.; Wang, J. Calculation and verification of crop evapotranspiration in greenhouse. Adv. Water Sci. 2007, 18, 812–815. [Google Scholar]
- Liu, H.; Sun, J.; Liang, Y.; Wang, C.; Duan, A. Estimation model for water requirement of greenhouse tomato under drip irrigation. Chin. J. Appl. Ecol. 2011, 22, 1201–1206. [Google Scholar]
- Yang, H.; Du, T.; Qiu, R.; Chen, J.; Wang, F.; Li, Y.; Wang, C.; Gao, L.; Kang, S. Improved water use efficiency and fruit quality of greenhouse crops under regulated deficit irrigation in northwest China. Agric. Water Manag. 2017, 179, 193–204. [Google Scholar] [CrossRef]
- Sun, G.; Hu, T.; Liu, X. Optimizing irrigation and fertilization at various growth stages to improve mango yield, fruit quality and water-fertilizer use efficiency in xerothermic regions. Agric. Water Manag. 2022, 260, 107296. [Google Scholar] [CrossRef]
- Luo, H.; Li, F. Tomato yield, quality and water use efficiency under different drip fertigation strategies. Sci. Hortic. 2018, 235, 181–188. [Google Scholar] [CrossRef]
- Kong, D.; Zheng, G.; Zhang, Y.; Zhu, J. Research of water consumption regularity with drip irrigation under mulch of greenhouse tomato in Ningxia. Acta. Agric. Boreali-Occident. Sin. 2011, 20, 119–123. [Google Scholar]
- Weixia, Z.; Jiusheng, L.; Zhen, W.; Yanfeng, L. Developing crop coefficients and pan coefficient for greenhouse-grown tomato under drip irrigation. 2013 ASABE Annual International Meeting. In Proceedings of the 2013 Kansas City, Kansas City, MI, USA, 21–24 July 2013. [Google Scholar]
- Zhang, Y.; Feng, C.; Fang, X.; Li, C. Study on water requirement of tomato under drip irrigation in solar greenhouse. Water Sav. Irri. 2014, 8, 16–18. [Google Scholar]
- Liu, H.; Ning, H. Optimizing irrigation frequency and amount to balance yield, fruit quality and water use efficiency of greenhouse tomato. Agric. Water Manag. 2019, 226, 105787. [Google Scholar] [CrossRef]
- Wu, Y.; Yan, S.; Fan, J.; Zhang, F.; Xiang, Y. Responses of growth, fruit yield, quality and water productivity of greenhouse tomato to deficit drip irrigation. Sci. Hortic. 2021, 275, 109710. [Google Scholar] [CrossRef]
- Xu, J.; Peng, S.; Luo, Y. Tomato and cowpea crop evapotranspiration in an unheated greenhouse. Water Sci. Eng. 2008, 1, 112–120. [Google Scholar]
- Allen, G.R.; Pereira, L.S.; Raes, D.; Smith, M. Crop Evapotranspiration-Guidelines for Computing Crop Water Requirements-FAO Irrigation and Drainage Paper 56; FAO: Rome, Italy, 1998. [Google Scholar]
- Qiu, R.; Song, J.; Du, T.; Kang, S.; Tong, L. Response of evapotranspiration and yield to planting density of solar greenhouse grown tomato in northwest China. Agric. Water Manag. 2013, 130, 44–51. [Google Scholar] [CrossRef]
- Phene, C.J.; Mccormick, R.L.; Miyamoto, J.M. Evapotranspiration and crop coefficient of trickle-irrigated tomatoes. Third International Drip/Trickle Irrigation Congress. In Proceedings of the ASAE, Fresno, CA, USA, 18–21 November 1985. [Google Scholar]
- Santiago Bonachela, A.M.G.; María, D.F. Irrigation scheduling of plastic greenhouse vegetable crops based on historical weather data. Irrig. Sci. 2006, 25, 53–62. [Google Scholar] [CrossRef]
- Hanson, B.R.; May, D.M. Crop evapotranspiration of processing tomato in the San Joaquin Valley of California, USA. Irrig. Sci. 2006, 24, 211–221. [Google Scholar] [CrossRef]
- Stanghellini, C. Transpiration of Greenhouse Crops: An Aid to Climate Management; Wageningen University: Wageningen, The Netherlands, 1987. [Google Scholar]
- Liu, H. Water Requirement and Optimal Irrigation Index for Effective Water Use and High-Quality of Tomato in Greenhouse; Chinese Academy of Agricultural Sciences: Xinxiang, China, 2010. [Google Scholar]
- Chen, J.; Kang, S.; Du, T.; Qiu, R.; Guo, P.; Chen, R. Quantitative response of greenhouse tomato yield and quality to water deficit at different growth stages. Agric. Water Manag. 2013, 129, 152–162. [Google Scholar] [CrossRef]
- Gong, X.; Liu, H.; Sun, J.; Gao, Y.; Zhang, H. Comparison of Shuttleworth-Wallace model and dual crop coefficient method for estimating evapotranspiration of tomato cultivated in a solar greenhouse. Agric. Water Manag. 2019, 217, 141–153. [Google Scholar] [CrossRef]
- Amayreh, J.; Al-Abed, N. Developing crop coefficients for field-grown tomato (Lycopersicon esculentum Mill.) under drip irrigation with black plastic mulch. Agric. Water Manag. 2005, 73, 247–254. [Google Scholar] [CrossRef]
- Stanghellini, C.; Ooster, B.; Heuvelink, E. Greenhouse Horticulture; Wageningen Academic Publishers: Wageningen, The Netherlands, 2019. [Google Scholar]
- Patanè, C.; Tringali, S.; Sortino, O. Effects of deficit irrigation on biomass, yield, water productivity and fruit quality of processing tomato under semi-arid Mediterranean climate conditions. Sci. Hortic. 2011, 129, 590–596. [Google Scholar] [CrossRef]
- Feng, T.; Zhou, X.; Yu, Y. Influence of irrigation amount on yield and quality of tomato in greenhouse. North. Hortic. 2016, 10, 54–58. [Google Scholar]
- Lu, J.; Shao, G.; Cui, J.; Wang, X.; Keabetswe, L. Yield, fruit quality and water use efficiency of tomato for processing under regulated deficit irrigation: A meta-analysis. Agric. Water Manag. 2019, 222, 301–312. [Google Scholar] [CrossRef]
- Ho, L.C. Metabolism and Compartmentation of Imported Sugars in Sink Organs in Relation to Sink Strength. Ann. Rev. Plant Physiol. Plant Mol. Bio. 1988, 39, 355–378. [Google Scholar] [CrossRef]
- Qi, H.; Li, T.; Zhang, J. Effects of Irrigation on Sucrose Metabolism, Dry Matter Distribution and Fruit Quality of Tomato Under Water Deficit. Tran. CSAE 2004, 37, 1045–1049. [Google Scholar]
- May, D.M. Irrigation and nitrogen management as they affect fruit quality and yield of processing tomatoes. Acta Hort. 1994, 376, 227–234. [Google Scholar] [CrossRef]
- Wang, Z.; Liu, Z.; Zhang, Z.; Liu, X. Subsurfacedrip irrigation scheduling for cucumber (Cucumis sativus L.) grown in solar greenhouse based on 20 cm standard pan evaporation in Northeast China. Sci. Hortic. 2009, 123, 51–57. [Google Scholar] [CrossRef]
- Sanders, D.C.; Howell, T.A.; Hile, M.M.S.; Hodges, L.; Meek, D.; Phene, C.J. Yield and quality of processing tomatoes in response to irrigation rate and schedule. J. Am. Soc. Hortic. Sci. 1989, 114, 904–908. [Google Scholar] [CrossRef]
- Zhou, J.; Wang, F.; Yao, M.; Zhang, Z. Effects of water and nitrogen on yield and fruit quality of tomato under furrow irrigation and plastic film mulching cultivation. Agric. Res. Arid. Areas 2013, 31, 43–49. [Google Scholar]
- Du, Y.; Cao, H.; Liu, S.; Gu, X.; Cao, Y. Response of yield, quality, water and nitrogen use efficiency of tomato to different levels of water and nitrogen under drip irrigation in Northwestern China. J. Integ. Agric. 2017, 16, 1153–1161. [Google Scholar] [CrossRef]
- Feng, P.; Chen, S.; Zhou, Z.; Hu, T. Effect of soil water content on titratable acid content in tomato fruits based on rotatable design. J. Northwest A F Univ.-Nat. Sci. Ed. 2017, 45, 67–75+84. [Google Scholar]
- Tang, X.; Liu, M.; Wang, W. Influences of regulated deficit irrigation on sensory quality and flavor components of tomato. J. Plant Nutr. Ferti. 2010, 165, 970–977. [Google Scholar]






| Soil Depth cm | Dry Bulk Density | Soil Particle Size Composition (%) | Field Capacity cm3·cm−3 | Soil Texture | |||
|---|---|---|---|---|---|---|---|
| g·cm−3 | <0.002 mm | 0.002–0.02 mm | 0.02–2 mm | >2 mm | |||
| 0–30 | 1.59 | 2.62 | 7.58 | 89.80 | 0.00 | 0.19 | Sandy |
| 30–70 | 1.58 | 2.79 | 7.97 | 89.24 | 0.00 | 0.20 | Sandy |
| 70–100 | 1.57 | 2.95 | 7.81 | 89.24 | 0.00 | 0.21 | Sandy |
| Season | Year | Beginning and Ending Date | ||
|---|---|---|---|---|
| Seedling Stage | Flowering and Fruiting Stage | Maturation Stage | ||
| Autumn–winter | 2019 | 4 August–2 September | 3 September–24 October | 25 October–22 November |
| Winter–spring | 2020 | 10 January–24 February | 25 February–23 April | 24 April–25 May |
| Treatment | Irrigation | Autumn–Winter Season | Winter–Spring Season | ||||||
|---|---|---|---|---|---|---|---|---|---|
| Seedling Stage | Flowering and Fruiting Stage | Maturation Stage | Whole Growth Period | Seedling Stage | Flowering and Fruiting Stage | Maturation Stage | Whole Growth Period | ||
| T1 | 60% Ia | 63.2 | 127.9 | 53.3 | 244.3 | 61.5 | 149.2 | 74.6 | 285.3 |
| T2 | 80% Ia | 73.1 | 170.5 | 71.0 | 314.7 | 76.5 | 198.9 | 99.5 | 374.9 |
| T3 | 100% Ia | 83.1 | 213.1 | 88.8 | 385.0 | 91.5 | 248.6 | 124.3 | 464.4 |
| T4 | 120% Ia | 93.1 | 255.7 | 106.6 | 455.4 | 106.5 | 298.4 | 149.2 | 554.0 |
| T5 | 140% Ia | 103.1 | 298.4 | 124.3 | 525.8 | 121.4 | 348.1 | 174.0 | 643.6 |
| Treatment | Autumn–Winter Season | Winter–Spring Season | ||||
|---|---|---|---|---|---|---|
| ETc/mm | Yield/t·ha−1 | WUE/kg·m−3 | ETc/mm | Yield/t·ha−1 | WUE/kg·m−3 | |
| T1 | 237.49 | 62.10d | 26.15a | 283.58 | 58.50d | 20.63a |
| T2 | 280.98 | 71.84c | 25.57a | 349.23 | 67.20c | 19.24a |
| T3 | 320.19 | 82.18bc | 25.67a | 395.06 | 77.38b | 19.59a |
| T4 | 358.29 | 91.10a | 25.43a | 446.71 | 85.91a | 19.23a |
| T5 | 397.12 | 86.28bc | 21.73b | 514.40 | 80.64b | 15.68b |
| Season | Treatment | SFW /g | TSS /% | TTA /% | Vc /mg·(100 gFW)−1 |
|---|---|---|---|---|---|
| Autumn–winter season | T1 | 165.2c | 5.70a | 0.41c | 5.32a |
| T2 | 171.5c | 5.30a | 0.49ab | 5.01a | |
| T3 | 193.5b | 4.80b | 0.52a | 4.57b | |
| T4 | 204.8a | 4.77b | 0.46b | 4.46bc | |
| T5 | 208.0a | 4.21b | 0.42c | 4.31c | |
| Winter–spring season | T1 | 159.4c | 6.10a | 0.43c | 4.93a |
| T2 | 165.5c | 5.80a | 0.51ab | 4.76a | |
| T3 | 187.5b | 5.31b | 0.56a | 4.32b | |
| T4 | 197.6a | 4.76bc | 0.48b | 4.26b | |
| T5 | 204.0a | 4.51c | 0.45c | 4.21b |
| Season | Treatment/Weighting | Normalized Decision Matrix | Euclidean Distance | Relative Proximity Coefficient | Rank | ||||||
|---|---|---|---|---|---|---|---|---|---|---|---|
| Yield | WUE | SFW | TSS | TTA | Vc | Di+ | Di− | ||||
| Autumn–winter season | T1 | 0.35 | 0.469 | 0.39 | 0.512 | 0.496 | 0.501 | 0.04 | 0.158 | 0.799 | 5 |
| T2 | 0.405 | 0.458 | 0.405 | 0.476 | 0.415 | 0.472 | 0.031 | 0.159 | 0.836 | 4 | |
| T3 | 0.463 | 0.460 | 0.457 | 0.431 | 0.391 | 0.430 | 0.025 | 0.159 | 0.865 | 2 | |
| T4 | 0.513 | 0.456 | 0.484 | 0.428 | 0.442 | 0.42 | 0.019 | 0.159 | 0.895 | 1 | |
| T5 | 0.486 | 0.389 | 0.491 | 0.378 | 0.484 | 0.406 | 0.027 | 0.159 | 0.853 | 3 | |
| Weighting efficient | 0.233 | 0.189 | 0.161 | 0.114 | 0.146 | 0.167 | |||||
| Winter–spring season | T1 | 0.351 | 0.487 | 0.388 | 0.512 | 0.499 | 0.489 | 0.039 | 0.157 | 0.799 | 5 |
| T2 | 0.403 | 0.454 | 0.403 | 0.487 | 0.421 | 0.472 | 0.032 | 0.157 | 0.833 | 4 | |
| T3 | 0.464 | 0.462 | 0.457 | 0.446 | 0.383 | 0.429 | 0.025 | 0.157 | 0.862 | 2 | |
| T4 | 0.515 | 0.454 | 0.481 | 0.399 | 0.447 | 0.423 | 0.02 | 0.157 | 0.887 | 1 | |
| T5 | 0.484 | 0.37 | 0.497 | 0.378 | 0.477 | 0.418 | 0.031 | 0.157 | 0.836 | 3 | |
| Weighting efficient | 0.215 | 0.193 | 0.163 | 0.116 | 0.145 | 0.168 | |||||
Publisher’s Note: MDPI stays neutral with regard to jurisdictional claims in published maps and institutional affiliations. |
© 2022 by the authors. Licensee MDPI, Basel, Switzerland. This article is an open access article distributed under the terms and conditions of the Creative Commons Attribution (CC BY) license (https://creativecommons.org/licenses/by/4.0/).
Share and Cite
Hong, M.; Zhang, Z.; Fu, Q.; Liu, Y. Water Requirement of Solar Greenhouse Tomatoes with Drip Irrigation under Mulch in the Southwest of the Taklimakan Desert. Water 2022, 14, 3050. https://doi.org/10.3390/w14193050
Hong M, Zhang Z, Fu Q, Liu Y. Water Requirement of Solar Greenhouse Tomatoes with Drip Irrigation under Mulch in the Southwest of the Taklimakan Desert. Water. 2022; 14(19):3050. https://doi.org/10.3390/w14193050
Chicago/Turabian StyleHong, Ming, Zhanyu Zhang, Qiuping Fu, and Yanping Liu. 2022. "Water Requirement of Solar Greenhouse Tomatoes with Drip Irrigation under Mulch in the Southwest of the Taklimakan Desert" Water 14, no. 19: 3050. https://doi.org/10.3390/w14193050
APA StyleHong, M., Zhang, Z., Fu, Q., & Liu, Y. (2022). Water Requirement of Solar Greenhouse Tomatoes with Drip Irrigation under Mulch in the Southwest of the Taklimakan Desert. Water, 14(19), 3050. https://doi.org/10.3390/w14193050

