Assessing the Impact of Groundwater Extraction on the Performance of Fractured Concrete Subsurface Dam in Controlling Seawater Intrusion in Coastal Aquifers
Abstract
:1. Introduction
2. Materials and Methods
2.1. Investigated Configurations
- Carbonation: Whenever carbon dioxide passes via microcracks and pores in concrete, it combines with hydroxides such as calcium hydroxide to generate calcium carbonate. The reaction’s result lowers the pH of the concrete from 13 to 8. Embedded steel reinforcement bars are exposed to corrosion as the alkalinity decreases. Carbonation, on the other hand, has no impact on the deterioration speed of steel bars.
- Reinforcement Corrosion: Concrete failure is frequently caused by the corrosion of the steel reinforcement. It happens when the pH of the concrete falls below 10, allowing chloride ions, oxygen, and moisture to enter. As a consequence, the corrosion product volume (rust) produced exceeds that of steel, causing the surrounding concrete to fracture, delaminate, or spall off. Corrosion of embedded reinforcement in concrete can be considerably reduced by using concrete with low permeability and no cracks, as well as providing enough concrete cover above steel bars.
- Chemical Attack: Sulfates of sodium, potassium, calcium, or magnesium dissolved in soil, groundwater, or saltwater can infiltrate concrete, react with hydrated substances, and expand, causing damage to the concrete structure. Internal sulphate attack also produces a substance that causes the absorption of water and produces substantial swelling and cracking of concrete.
- Overloading and Impacts: Microcracks and cracks appear when significant loads are placed on concrete. Overloading can also develop as a result of variations in the building’s functioning without sufficient structural modifications, unintentional overload, and uncommon events such as earthquakes.
- Fire Damage: Concrete loses most of its compressive strength, flexural strength, and elasticity when subjected to a higher heat. Consequently, concrete with a high aggregate-to-cement ration loses less compressive strength, and the smaller the water-to-cement ratio, the less elastic modulus is lost. Spalling of concrete can occur as a consequence of existence trapped water.
- Over-Wet Concrete: The presence of a lot of water in the concrete mix causes the cement to rise to the top. As a consequence, the concrete surface will dry out before it sets, resulting in shrinkage, cracks, laitance, and a decrease in the compressive strength of concrete.
2.2. Sensitivity Analysis
2.3. Dimensional Analysis
3. Governing Equations
3.1. Governing Equation for Flow
3.2. Governing Equation for Solute Transport
4. Results and Discussion
4.1. Model Calibration
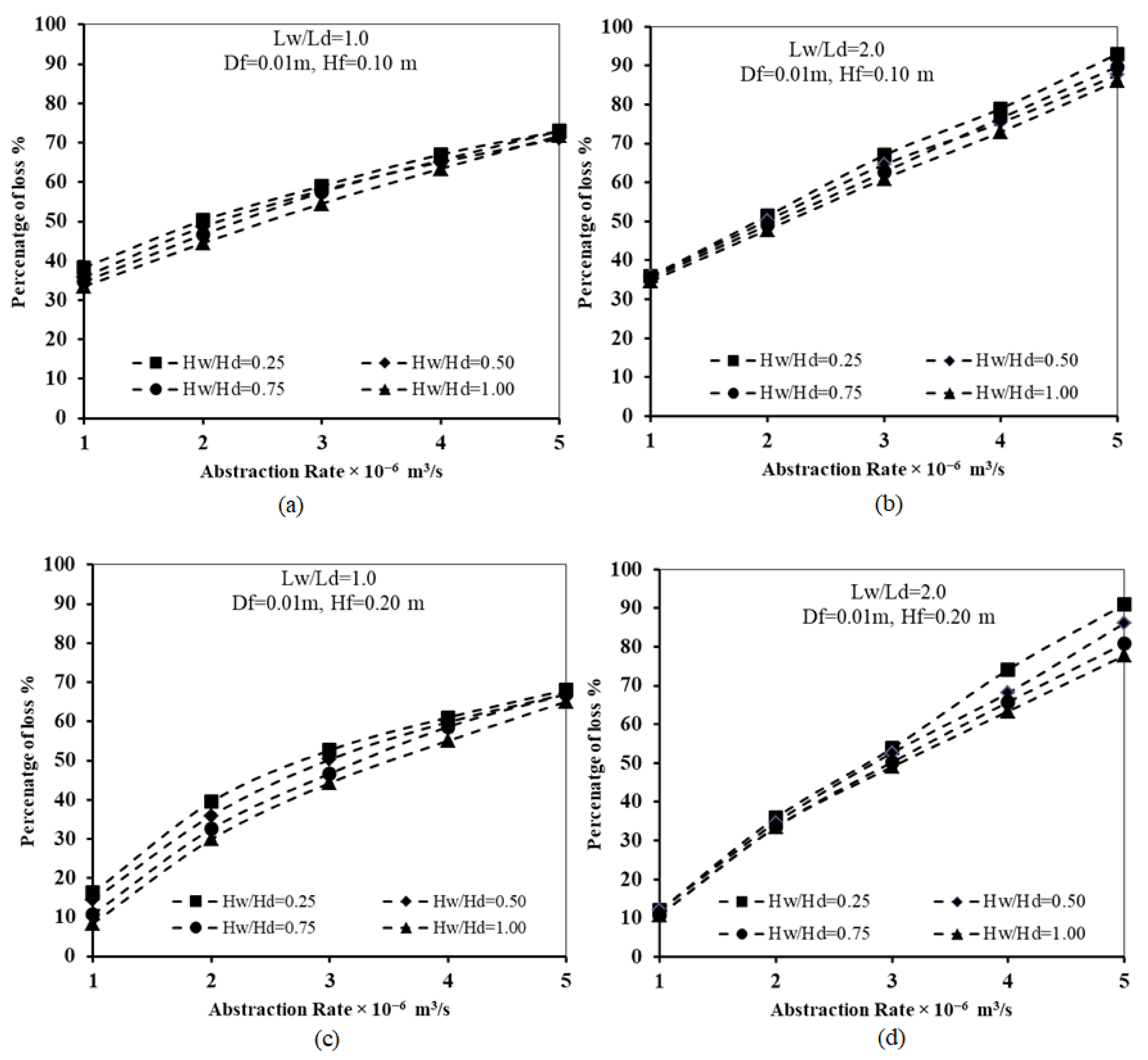
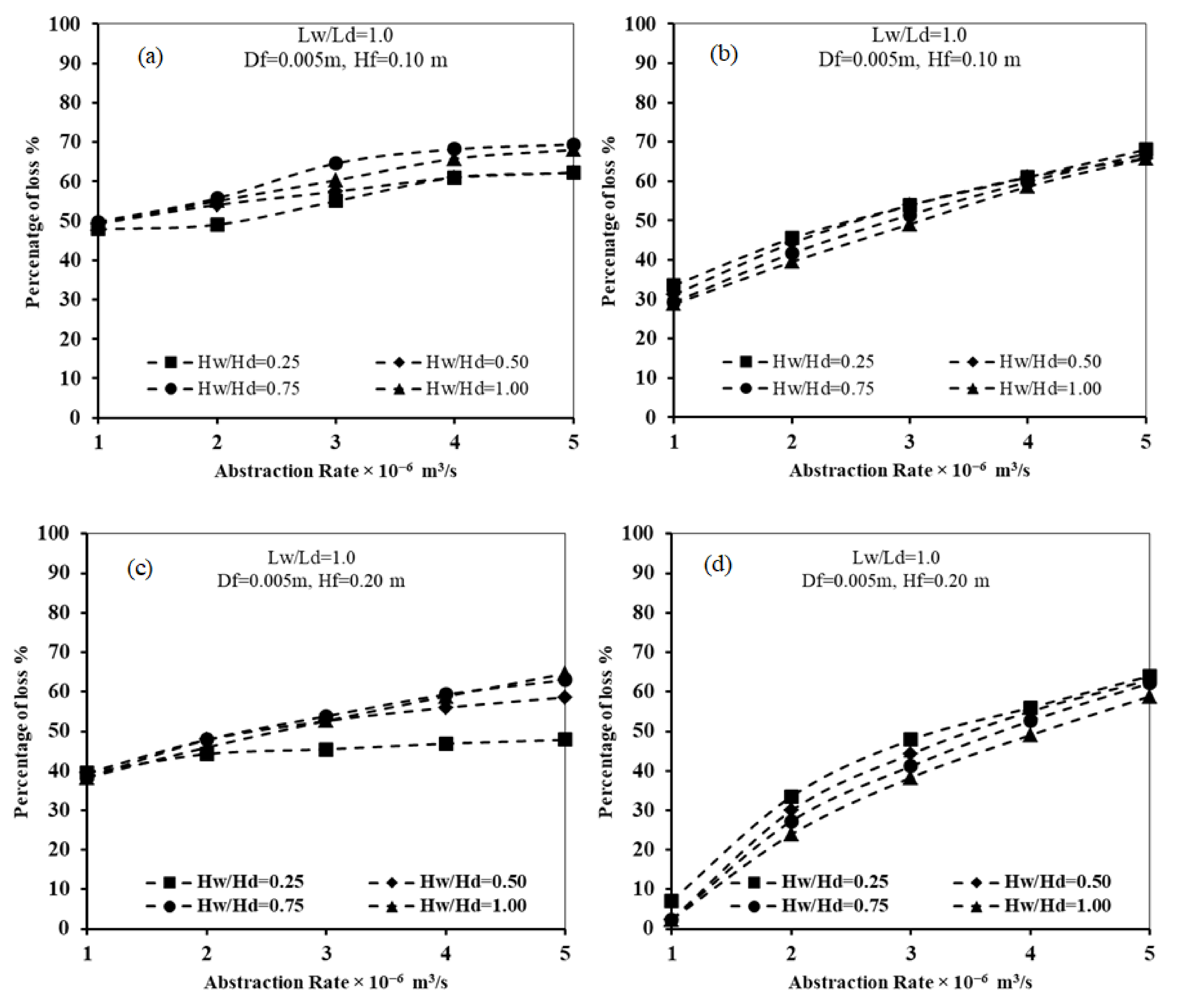
4.2. Impact of Extraction Well Rate on the Loss of Effectiveness of Subsurface Dam to Control Seawater Intrusion
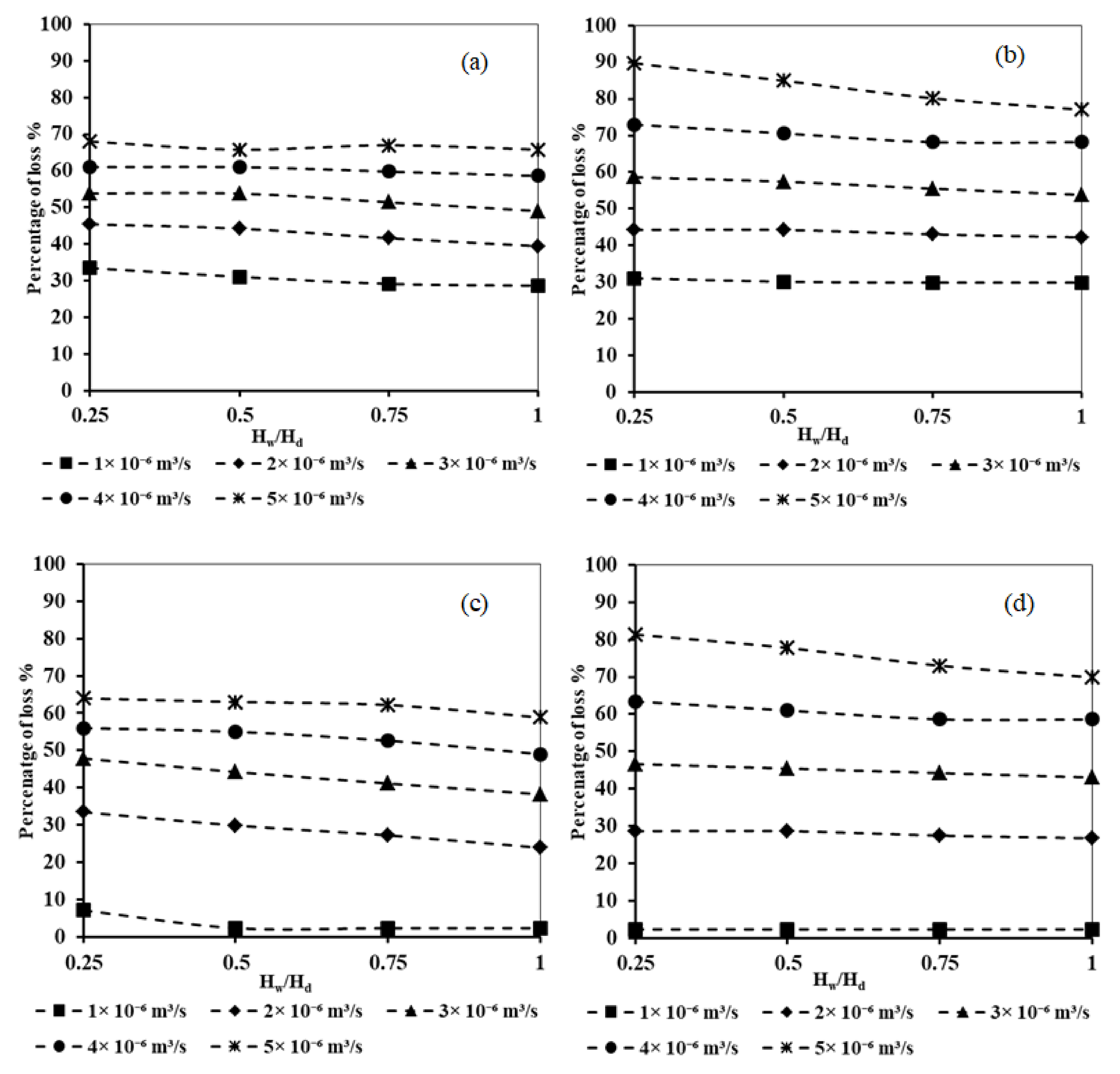
4.3. Impact of Well Height on the Loss of Effectiveness of Subsurface Dam to Control Seawater Intrusion
4.4. Impact of Well Location on the Loss of Effectiveness of Subsurface Dam to Control Seawater Intrusion
4.5. Impact of Subsurface Dam Height on the Loss of Effectiveness of Subsurface Dam to Control Seawater Intrusion
4.6. Impact of Subsurface Dam Location on the Loss of Effectiveness of Subsurface Dam to Control Seawater Intrusion
4.7. Impact of Saltwater Density on the Loss of Effectiveness of Subsurface Dam to Control Seawater Intrusion
4.8. Distribution of Seawater Intrusion for Different Presented Simulation Scenarios
4.9. Distribution of Seawater Intrusion for Different Fracture Aperture and Fracture Height Scenarios
4.10. Distribution of Seawater Intrusion for Different Well Location Scenarios
4.11. Distribution of Seawater Intrusion for Different Subsurface Dam Location Scenarios
4.12. Distribution of Seawater Intrusion for Different Subsurface Dam Height Scenarios
4.13. Distribution of Seawater Intrusion for Different Seawater Density Scenarios
5. Conclusions
Author Contributions
Funding
Institutional Review Board Statement
Informed Consent Statement
Data Availability Statement
Acknowledgments
Conflicts of Interest
Appendix A
| Parameter | Definition |
|---|---|
| Hd | height of subsurface dam measured from the aquifer bottom. |
| Ld | the distance from the seaside to the subsurface dam location. |
| Hw | the height from the aquifer bottom to the bottom of the well (Point of abstraction). |
| Lw | the distance from the subsurface dam to the well location. |
| Df | the fracture aperture (conduit diameter). |
| Hf | the height of fracture aperture measured from the bottom of the aquifer. |
| Qw | the abstraction rate of well. |
| Ltoe0 | the invasion length (penetration) of the saltwater intrusion of the base scenario case (the Henry problem). |
| Ltoew | the invasion length of the saltwater intrusion after installing the subsurface dam. |
| Ltoefw | the invasion length of the saltwater intrusion due to the fracture in the subsurface dam and freshwater abstraction |
| REw/0 | the percentage of saltwater penetration decrease due to the subsurface dam construction comparing with the base scenario case of Henry problem: (Ltoe0 − Ltoew)/Ltoe0. |
| REafw/0 | the percentage of saltwater penetration decrease because of the abstraction of freshwater near the fractured subsurface dam compared to the base case: (Ltoe0 − Ltoefw)/Ltoe0. |
| R | the repulsion ratio of seawater intrusion wedge length |
| K | the hydraulic conductivity of the aquifer |
| H | the aquifer depth |
| the density of saltwater | |
| the density of freshwater | |
| g | the gravity acceleration |
| n | the porosity of aquifer medium |
| the seawater concentration | |
| the freshwater concentration | |
| the viscosity of saltwater | |
| the viscosity of freshwater | |
| the longitudinal dispersivity | |
| the transversal disperisivity |



References
- Abdoulhalik, A.; Ahmed, A.A. The effectiveness of cutoff walls to control saltwater intrusion in multi-layered coastal aquifers: Experimental and numerical study. J. Environ. Manag. 2017, 199, 62–73. [Google Scholar] [CrossRef] [PubMed] [Green Version]
- Cheng, A.H.-D.; Ouazar, D.; Bear, J.; Sorek, S.; Herrera, I. (Eds.) Seawater Intrusion in Coastal Aquifers-Concepts, Methods and Practices; Springer: Berlin/Heidelberg, Germany, 1999; ISBN 9780874216561. [Google Scholar]
- Kayode, O.T.; Odukoya, A.M.; Adagunodo, T.A.; Adeniji, A.A. Monitoring of seepages around dams using geophysical methods: A brief review. IOP Conf. Ser. Earth Environ. Sci. 2018, 173, 12026. [Google Scholar] [CrossRef]
- Walther, M.; Graf, T.; Kolditz, O.; Liedl, R.; Post, V. How significant is the slope of the sea-side boundary for modelling seawater intrusion in coastal aquifers? J. Hydrol. 2017, 551, 648–659. [Google Scholar] [CrossRef]
- Zhang, B.; Zheng, X.; Zheng, T.; Xin, J.; Sui, S.; Zhang, D. The influence of slope collapse on water exchange between a pit lake and a heterogeneous aquifer. Front. Environ. Sci. Eng. 2019, 13, 20. [Google Scholar] [CrossRef]
- Laabidi, E.; Bouhlila, R. A new technique of seawater intrusion control: Development of geochemical cutoff wall. Environ. Sci. Pollut. Res. 2021, 28, 41794–41806. [Google Scholar] [CrossRef]
- Abd-Elhamid, H.F.; Abd-Elaty, I.; Negm, A.M. Control of Saltwater Intrusion in Coastal Aquifers. In The Handbook of Environmental Chemistry; Springer: Berlin/Heidelberg, Germany, 2018; pp. 355–384. [Google Scholar]
- Abdoulhalik, A.; Ahmed, A.; Hamill, G.A. A new physical barrier system for seawater intrusion control. J. Hydrol. 2017, 549, 416–427. [Google Scholar] [CrossRef] [Green Version]
- Luyun, R.; Momii, K.; Nakagawa, K. Laboratory-scale saltwater behavior due to subsurface cutoff wall. J. Hydrol. 2009, 377, 227–236. [Google Scholar] [CrossRef]
- Kaleris, V.K.; Ziogas, A.I. The effect of cutoff walls on saltwater intrusion and groundwater extraction in coastal aquifers. J. Hydrol. 2013, 476, 370–383. [Google Scholar] [CrossRef]
- Anwar, H.O. The effect of a subsurface barrier on the conservation of freshwater in coastal aquifers. Water Res. 1983, 17, 1257–1265. [Google Scholar] [CrossRef]
- Luyun, R.; Momii, K.; Nakagawa, K. Effects of Recharge Wells and Flow Barriers on Seawater Intrusion. Ground Water 2011, 49, 239–249. [Google Scholar] [CrossRef]
- Armanuos, A.M.; Ibrahim, M.G.; Mahmod, W.E.; Takemura, J.; Yoshimura, C. Analysing the Combined Effect of Barrier Wall and Freshwater Injection Countermeasures on Controlling Saltwater Intrusion in Unconfined Coastal Aquifer Systems. Water Resour. Manag. 2019, 33, 1265–1280. [Google Scholar] [CrossRef]
- Chang, Q.; Zheng, T.; Zheng, X.; Zhang, B.; Sun, Q.; Walther, M. Effect of subsurface dams on saltwater intrusion and fresh groundwater discharge. J. Hydrol. 2019, 576, 508–519. [Google Scholar] [CrossRef]
- Armanuos, A.M.; Al-Ansari, N.; Yaseen, Z.M. Underground Barrier Wall Evaluation for Controlling Saltwater Intrusion in Sloping Unconfined Coastal Aquifers. Water 2020, 12, 2403. [Google Scholar] [CrossRef]
- Armanuos, A.M.; Al-Ansari, N.; Yaseen, Z.M. Assessing the Effectiveness of Using Recharge Wells for Controlling the Saltwater Intrusion in Unconfined Coastal Aquifers with Sloping Beds: Numerical Study. Sustainability 2020, 12, 2685. [Google Scholar] [CrossRef] [Green Version]
- Ebeling, P.; Händel, F.; Walther, M. Potential of mixed hydraulic barriers to remediate seawater intrusion. Sci. Total Environ. 2019, 693, 133478. [Google Scholar] [CrossRef]
- Ozaki, S.; Akl, C.A.; Nagino, T.; Hiroshiro, Y. Investigating Effect of Pumping Ratio on Effectiveness of Barrier Wells for Saltwater Intrusion: Lab-Scale Experiments and Numerical Modeling. Water 2021, 13, 2100. [Google Scholar] [CrossRef]
- Laabidi, E.; Guellouz, L.; Bouhlila, R. Assessing the Effect of Damaged and Fractured Concrete Cutoff Wall on the Dynamics of Seawater Intrusion. Water Resour. Manag. 2021, 35, 5367–5381. [Google Scholar] [CrossRef]
- Shiri, N.; Shiri, J.; Yaseen, Z.M.; Kim, S.; Chung, I.M.; Nourani, V.; Zounemat-Kermani, M. Development of artificial intelligence models for well groundwater quality simulation: Different modeling scenarios. PLoS ONE 2021, 16, e0251510. [Google Scholar] [CrossRef]
- Awadh, S.M.; Al-Mimar, H.; Yaseen, Z.M. Groundwater availability and water demand sustainability over the upper mega aquifers of Arabian Peninsula and west region of Iraq. Environ. Dev. Sustain. 2020, 23, 1–21. [Google Scholar] [CrossRef]
- Tao, H.; Hameed, M.M.; Marhoon, H.A.; Zounemat-Kermani, M.; Salim, H.; Sungwon, K.; Sulaiman, S.O.; Tan, M.L.; Sa’adi, Z.; Mehr, A.D. Groundwater Level Prediction using Machine Learning Models: A Comprehensive Review. Neurocomputing 2022, 489, 271–308. [Google Scholar] [CrossRef]
- Rombach, G.A.; Faron, A. Numerical analysis of shear crack propagation in a concrete beam without transverse reinforcement. Procedia Struct. Integr. 2019, 17, 766–773. [Google Scholar] [CrossRef]
- Hu, M.; Rutqvist, J. Numerical manifold method modeling of coupled processes in fractured geological media at multiple scales. J. Rock Mech. Geotech. Eng. 2020, 12, 667–681. [Google Scholar] [CrossRef]
- Bennett, M.V.L.; Zheng, X.; Sogin, M.L. The connexin family tree. In Intercellular Communication through Gap Junctions; Elsevier: Amsterdam, The Netherlands, 1995; pp. 3–8. [Google Scholar]
- Binet, S.; Joigneaux, E.; Pauwels, H.; Albéric, P.; Fléhoc, C.; Bruand, A. Water exchange, mixing and transient storage between a saturated karstic conduit and the surrounding aquifer: Groundwater flow modeling and inputs from stable water isotopes. J. Hydrol. 2017, 544, 278–289. [Google Scholar] [CrossRef] [Green Version]
- Diersch, H.-J.G. FEFLOW: Finite Element Modeling of Flow, Mass and Heat Transport in Porous and Fractured Media; Springer Science & Business Media: Berlin/Heidelberg, Germany, 2013; ISBN 364238739X. [Google Scholar]




















| Symbol | Definition | Value | Unit |
|---|---|---|---|
| L | Length of the domain | 2.0 | m |
| d | Depth of the domain | 1.0 | m |
| n | Aquifer porosity | 0.35 | -- |
| k | The value of hydraulic conductivity | 0.01 | m/s |
| do | Molecular diffusion coefficient | 6.6 × 10−6 | m2/s |
| qb | Freshwater flux boundary | 6.6 × 10−5 | m/s |
| Density of freshwater | 1000 | Kg/m3 | |
| Density of saltwater | 1025 | Kg/m3 | |
| Saltwater concentration | 35,000 | mg/L | |
| Freshwater concentration | 0.0 | mg/L | |
| Longitudinal dispersivity coefficient | 0.0 | m | |
| Transversal dispersivity coefficient | 0.0 | m | |
| Fluid viscosity | 1 × 10−3 | Kg/m.s | |
| g | Gravity acceleration | 9.81 | m/s2 |
| Cell dimension in horizontal direction | 0.02 | m | |
| Cell dimension in vertical direction | 0.02 | m | |
| Ld | Dam position from the sea boundary | 0.30, 0.50 | m |
| Ld/L | Dam location ratio | 0.3/2, 0.5/2 | -- |
| Hd | Dam height | 0.5, 0.6, 0.7, 0.8 | m |
| Lw | Well location | 0.15, 0.30, 0.50, 1.0 | m |
| Hw | Well height | 0.15, 0.30, 0.45, 0.60 | m |
| Lw/Ld | Well location ratio | 1.0, 2.0 | -- |
| Hw/Hd | Well height ratio | 0.25, 0.50, 0.75, 1.0 | -- |
Publisher’s Note: MDPI stays neutral with regard to jurisdictional claims in published maps and institutional affiliations. |
© 2022 by the authors. Licensee MDPI, Basel, Switzerland. This article is an open access article distributed under the terms and conditions of the Creative Commons Attribution (CC BY) license (https://creativecommons.org/licenses/by/4.0/).
Share and Cite
Armanuos, A.M.; Moghazy, H.E.; Zeleňáková, M.; Yaseen, Z.M. Assessing the Impact of Groundwater Extraction on the Performance of Fractured Concrete Subsurface Dam in Controlling Seawater Intrusion in Coastal Aquifers. Water 2022, 14, 2139. https://doi.org/10.3390/w14132139
Armanuos AM, Moghazy HE, Zeleňáková M, Yaseen ZM. Assessing the Impact of Groundwater Extraction on the Performance of Fractured Concrete Subsurface Dam in Controlling Seawater Intrusion in Coastal Aquifers. Water. 2022; 14(13):2139. https://doi.org/10.3390/w14132139
Chicago/Turabian StyleArmanuos, Asaad M., Hossam E. Moghazy, Martina Zeleňáková, and Zaher Mundher Yaseen. 2022. "Assessing the Impact of Groundwater Extraction on the Performance of Fractured Concrete Subsurface Dam in Controlling Seawater Intrusion in Coastal Aquifers" Water 14, no. 13: 2139. https://doi.org/10.3390/w14132139
APA StyleArmanuos, A. M., Moghazy, H. E., Zeleňáková, M., & Yaseen, Z. M. (2022). Assessing the Impact of Groundwater Extraction on the Performance of Fractured Concrete Subsurface Dam in Controlling Seawater Intrusion in Coastal Aquifers. Water, 14(13), 2139. https://doi.org/10.3390/w14132139

