Water-Saving Potential of Different Agricultural Management Practices in an Arid River Basin
Abstract
1. Introduction
2. Materials and Methods
2.1. Study Area
2.2. The FAO Crop Model AquaCrop
2.3. Data
2.4. Model Setup and Simulation
2.5. Scenario Setting
3. Results and Discussion
3.1. Model Performance
3.2. Effect of Agricultural Management on ET and E/ET Ratio
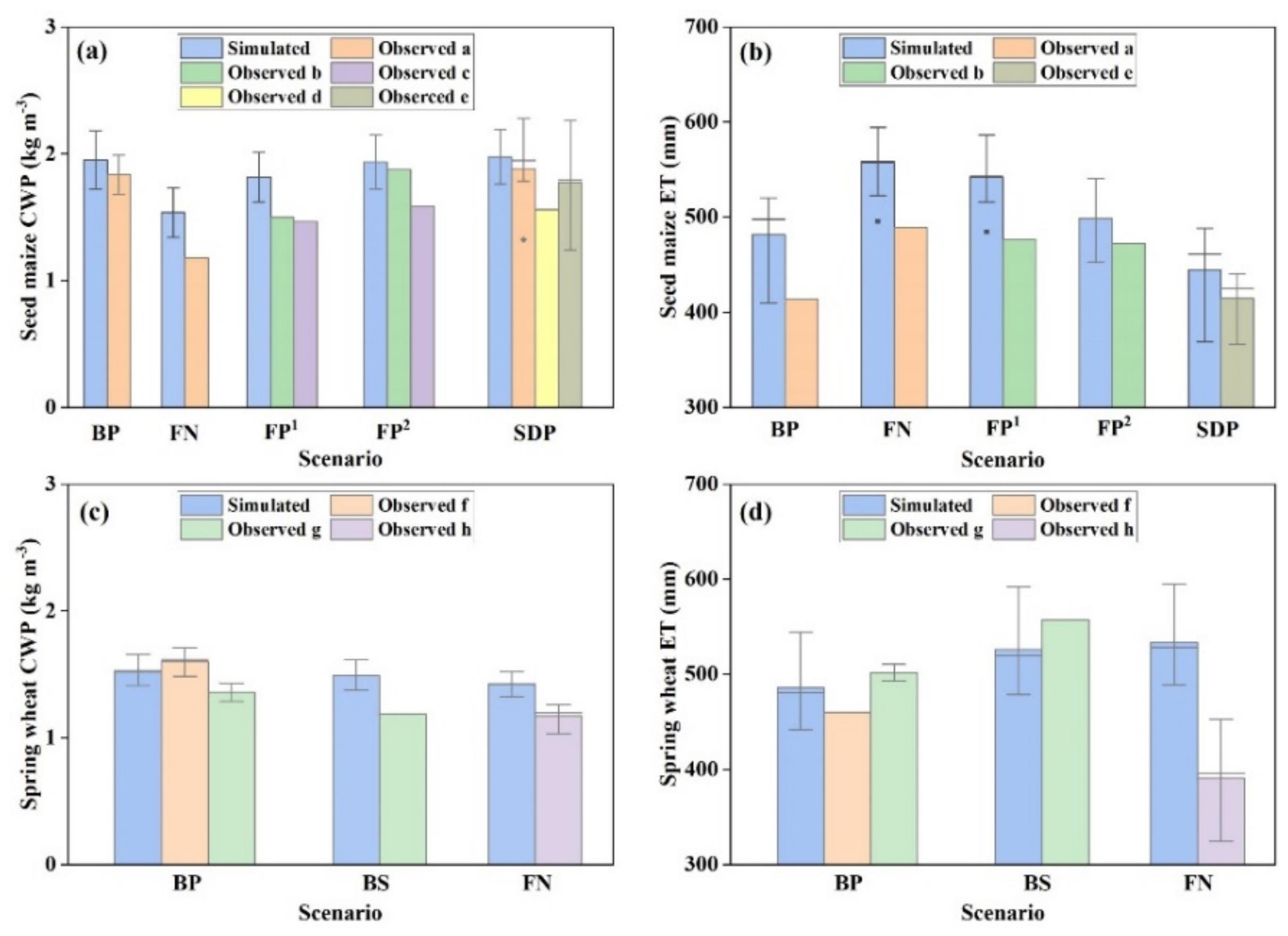
3.3. Effect of Agricultural Management on CWP
3.4. Water-Saving Potential Analysis
4. Conclusions
Supplementary Materials
Author Contributions
Funding
Institutional Review Board Statement
Informed Consent Statement
Data Availability Statement
Acknowledgments
Conflicts of Interest
References
- Aquastat. FAO Global Information System on Water and Agriculture. Available online: https://www.fao.org/aquastat/en/overview/ (accessed on 20 June 2022).
- Kang, S.; Hao, X.; Du, T.; Tong, L.; Su, X.; Lu, H.; Li, X.; Huo, Z.; Li, S.; Ding, R. Improving agricultural water productivity to ensure food security in China under changing environment: From research to practice. Agric. Water Manag. 2017, 179, 5–17. [Google Scholar] [CrossRef]
- Wada, Y.; de Graaf, I.E.; van Beek, L.P. High-resolution modeling of human and climate impacts on global water resources. J. Adv. Modeling Earth Syst. 2016, 8, 735–763. [Google Scholar] [CrossRef]
- Hassan, W.H.; Hussein, H.H.; Nile, B.K. The effect of climate change on groundwater recharge in unconfined aquifers in the western desert of Iraq. Groundw. Sustain. Dev. 2022, 16, 100700. [Google Scholar] [CrossRef]
- Raeisi, L.G.; Morid, S.; Delavar, M.; Srinivasan, R. Effect and side-effect assessment of different agricultural water saving measures in an integrated framework. Agric. Water Manag. 2019, 223, 105685. [Google Scholar] [CrossRef]
- Zhong, R.; Dong, X.; Ma, Y. Sustainable water saving: New concept of modern agricultural water saving, starting from development of Xinjiang’s agricultural irrigation over the last 50 years. Irrig. Drain. 2009, 58, 383–392. [Google Scholar]
- Hassan, W.H.; Nile, B.K.; Mahdi, K.; Wesseling, J.; Ritsema, C. A Feasibility Assessment of Potential Artificial Recharge for Increasing Agricultural Areas in the Kerbala Desert in Iraq Using Numerical Groundwater Modeling. Water 2021, 13, 3167. [Google Scholar] [CrossRef]
- Li, X.; Jiang, W.; Duan, D. Spatio-temporal analysis of irrigation water use coefficients in China. J. Environ. Manag. 2020, 262, 110242. [Google Scholar] [CrossRef]
- Deng, X.; Shan, L.; Zhang, H.; Turner, N.C. Improving agricultural water use efficiency in arid and semiarid areas of China. Agric. Water Manag. 2006, 80, 23–40. [Google Scholar] [CrossRef]
- Cao, X.; Wang, Y.; Wu, P.; Zhao, X.; Wang, J. An evaluation of the water utilization and grain production of irrigated and rain-fed croplands in China. Sci. Total Environ. 2015, 529, 10–20. [Google Scholar] [CrossRef]
- Molden, D. Accounting for Water Use and Productivity; SWIM: Colombo, Sri Lanka, 1997. [Google Scholar]
- Kijne, J.W.; Barker, R.; Molden, D.J. Water Productivity in Agriculture: Limits and Opportunities for Improvement; Cabi: Colombo, Sri Lanka, 2003; Volume 1. [Google Scholar]
- Fan, Y.; Ding, R.; Kang, S.; Hao, X.; Du, T.; Tong, L.; Li, S. Plastic mulch decreases available energy and evapotranspiration and improves yield and water use efficiency in an irrigated maize cropland. Agric. Water Manag. 2017, 179, 122–131. [Google Scholar] [CrossRef]
- Lv, G.; Kang, Y.; Li, L.; Wan, S. Effect of irrigation methods on root development and profile soil water uptake in winter wheat. Irrig. Sci. 2010, 28, 387–398. [Google Scholar] [CrossRef]
- Zhang, Y.; Wang, J.; Gong, S.; Xu, D.; Sui, J.; Wu, Z.; Mo, Y. Effects of film mulching on evapotranspiration, yield and water use efficiency of a maize field with drip irrigation in Northeastern China. Agric. Water Manag. 2018, 205, 90–99. [Google Scholar] [CrossRef]
- Xie, Z.; Wang, Y.; Li, F. Effect of plastic mulching on soil water use and spring wheat yield in arid region of northwest China. Agric. Water Manag. 2005, 75, 71–83. [Google Scholar] [CrossRef]
- Qin, W.; Hu, C.; Oenema, O. Soil mulching significantly enhances yields and water and nitrogen use efficiencies of maize and wheat: A meta-analysis. Sci. Rep. 2015, 5, 16210. [Google Scholar] [CrossRef]
- El-Hendawy, S.; Hokam, E.; Schmidhalter, U. Drip irrigation frequency: The effects and their interaction with nitrogen fertilization on sandy soil water distribution, maize yield and water use efficiency under Egyptian conditions. J. Agron. Crop Sci. 2008, 194, 180–192. [Google Scholar] [CrossRef]
- Camp, C.; Lamm, F.; Evans, R.; Phene, C. Subsurface drip irrigation–Past, present and future. In Proceedings of the Fourth Decennial Nat’l Irrigation Symposium, Phoenic, AZ, USA, 14–16 November 2000; pp. 14–16. [Google Scholar]
- Ayars, J.E.; Phene, C.J.; Hutmacher, R.B.; Davis, K.R.; Schoneman, R.A.; Vail, S.S.; Mead, R.M. Subsurface drip irrigation of row crops: A review of 15 years of research at the Water Management Research Laboratory. Agric. Water Manag. 1999, 42, 1–27. [Google Scholar] [CrossRef]
- Hansona, B.; Schwankl, L.; Schulbach, K.; Pettygrove, G. A comparison of furrow, surface drip, and subsurface drip irrigation on lettuce yield and applied water. Agric. Water Manag. 1997, 33, 139–157. [Google Scholar] [CrossRef]
- Jha, S.K.; Ramatshaba, T.S.; Wang, G.; Liang, Y.; Liu, H.; Gao, Y.; Duan, A. Response of growth, yield and water use efficiency of winter wheat to different irrigation methods and scheduling in North China Plain. Agric. Water Manag. 2019, 217, 292–302. [Google Scholar]
- Ibragimov, N.; Evett, S.R.; Esanbekov, Y.; Kamilov, B.S.; Mirzaev, L.; Lamers, J.P.A. Water use efficiency of irrigated cotton in Uzbekistan under drip and furrow irrigation. Agric. Water Manag. 2007, 90, 112–120. [Google Scholar] [CrossRef]
- Li, S.; Wang, Z.; Li, S.; Gao, Y.; Tian, X. Effect of plastic sheet mulch, wheat straw mulch, and maize growth on water loss by evaporation in dryland areas of China. Agric. Water Manag. 2013, 116, 39–49. [Google Scholar] [CrossRef]
- Ghosh, P.; Dayal, D.; Bandyopadhyay, K.; Mohanty, M. Evaluation of straw and polythene mulch for enhancing productivity of irrigated summer groundnut. Field Crop. Res. 2006, 99, 76–86. [Google Scholar] [CrossRef]
- Tiwari, K.N.; Singh, A.; Mal, P.K. Effect of drip irrigation on yield of cabbage (Brassica oleracea L. var. capitata) under mulch and non-mulch conditions. Agric. Water Manag. 2003, 58, 19–28. [Google Scholar] [CrossRef]
- Zhang, T.; Zou, Y.; Kisekka, I.; Biswas, A.; Cai, H. Comparison of different irrigation methods to synergistically improve maize’s yield, water productivity and economic benefits in an arid irrigation area. Agric. Water Manag. 2021, 243, 11. [Google Scholar] [CrossRef]
- Chukalla, A.D.; Krol, M.S.; Hoekstra, A.Y. Green and blue water footprint reduction in irrigated agriculture: Effect of irrigation techniques, irrigation strategies and mulching. Hydrol. Earth Syst. Sci. 2015, 19, 4877–4891. [Google Scholar] [CrossRef]
- Zhuo, L.; Hoekstra, A.Y. The effect of different agricultural management practices on irrigation efficiency, water use efficiency and green and blue water footprint. Front. Archit. Res. 2017, 4, 185–194. [Google Scholar] [CrossRef]
- Jägermeyr, J.; Gerten, D.; Schaphoff, S.; Heinke, J.; Lucht, W.; Rockström, J. Integrated crop water management might sustainably halve the global food gap. Environ. Res. Lett. 2016, 11, 025002. [Google Scholar] [CrossRef]
- Nouri, H.; Stokvis, B.; Galindo, A.; Blatchford, M.; Hoekstra, A.Y. Water scarcity alleviation through water footprint reduction in agriculture: The effect of soil mulching and drip irrigation. Sci. Total Environ. 2019, 653, 241–252. [Google Scholar] [CrossRef] [PubMed]
- Huang, G.; Hoekstra, A.Y.; Krol, M.S.; Jägermeyr, J.; Galindo, A.; Yu, C.; Wang, R. Water-saving agriculture can deliver deep water cuts for China. Resour. Conserv. Recycl. 2020, 154, 104578. [Google Scholar] [CrossRef]
- Wang, W.; Zhuo, L.; Li, M.; Liu, Y.; Wu, P. The effect of development in water-saving irrigation techniques on spatial-temporal variations in crop water footprint and benchmarking. J. Hydrol. 2019, 577, 123916. [Google Scholar] [CrossRef]
- Siad, S.M.; Iacobellis, V.; Zdruli, P.; Gioia, A.; Stavi, I.; Hoogenboom, G. A review of coupled hydrologic and crop growth models. Agric. Water Manag. 2019, 224, 105746. [Google Scholar] [CrossRef]
- Whisler, F.D.; Acock, B.; Baker, D.N.; Fye, R.E.; Hodges, H.F.; Lambert, J.R.; Lemmon, H.E.; McKinion, J.M.; Reddy, V.R. Crop Simulation Models in Agronomic Systems. In Advances in Agronomy; Brady, N.C., Ed.; Academic Press: Cambridge, MA, USA, 1986; Volume 40, pp. 141–208. [Google Scholar]
- Jin, X.; Kumar, L.; Li, Z.; Feng, H.; Xu, X.; Yang, G.; Wang, J. A review of data assimilation of remote sensing and crop models. Eur. J. Agron. 2018, 92, 141–152. [Google Scholar] [CrossRef]
- Corbeels, M.; Chirat, G.; Messad, S.; Thierfelder, C. Performance and sensitivity of the DSSAT crop growth model in simulating maize yield under conservation agriculture. Eur. J. Agron. 2016, 76, 41–53. [Google Scholar] [CrossRef]
- Saseendran, S.A.; Ma, L.; Malone, R.; Heilman, P.; Ahuja, L.R.; Kanwar, R.S.; Karlen, D.L.; Hoogenboom, G. Simulating management effects on crop production, tile drainage, and water quality using RZWQM–DSSAT. Geoderma 2007, 140, 297–309. [Google Scholar] [CrossRef][Green Version]
- Steduto, P.; Hsiao, T.C.; Raes, D.; Fereres, E. AquaCrop—The FAO crop model to simulate yield response to water: I. Concepts and underlying principles. Agron. J. 2009, 101, 426–437. [Google Scholar] [CrossRef]
- Shen, Q.; Ding, R.; Du, T.; Tong, L.; Li, S. Water use effectiveness is enhanced using film mulch through increasing transpiration and decreasing evapotranspiration. Water 2019, 11, 1153. [Google Scholar] [CrossRef]
- Amiri, E.; Abedinpour, M. Simulating Maize Yield Response to Depletion of Available Soil Water and Nitrogen Management under Drip Irrigation with the FAO AquaCrop Model. Russ. Agric. Sci. 2020, 46, 602–608. [Google Scholar] [CrossRef]
- Sandhu, R.; Irmak, S. Assessment of AquaCrop model in simulating maize canopy cover, soil-water, evapotranspiration, yield, and water productivity for different planting dates and densities under irrigated and rainfed conditions. Agric. Water Manag. 2019, 224, 105753. [Google Scholar] [CrossRef]
- Qin, W.; Chi, B.; Oenema, O. Long-term monitoring of rainfed wheat yield and soil water at the loess plateau reveals low water use efficiency. PLoS ONE 2013, 8, e78828. [Google Scholar] [CrossRef] [PubMed]
- Tsakmakis, I.D.; Zoidou, M.; Gikas, G.D.; Sylaios, G.K. Impact of Irrigation Technologies and Strategies on Cotton Water Footprint Using AquaCrop and CROPWAT Models. Environ. Process. 2018, 5, 181–199. [Google Scholar] [CrossRef]
- Malik, A.; Shakir, A.S.; Ajmal, M.; Khan, M.J.; Khan, T.A. Assessment of AquaCrop Model in Simulating Sugar Beet Canopy Cover, Biomass and Root Yield under Different Irrigation and Field Management Practices in Semi-Arid Regions of Pakistan. Water Resour. Manag. 2017, 31, 4275–4292. [Google Scholar] [CrossRef]
- Zhao, W.; Liu, B.; Zhang, Z. Water requirements of maize in the middle Heihe River Basin, China. Agric. Water Manag. 2010, 97, 215–223. [Google Scholar] [CrossRef]
- Xiao, X.; Fan, L.; Li, X.; Tan, M.; Jiang, T.; Zheng, L.; Jiang, F. Water-Use Efficiency of Crops in the Arid Area of the Middle Reaches of the Heihe River: Taking Zhangye City as an Example. Water 2019, 11, 1541. [Google Scholar] [CrossRef]
- Jiang, Y.; Xu, X.; Huang, Q.; Huo, Z.; Huang, G. Assessment of irrigation performance and water productivity in irrigated areas of the middle Heihe River Basin using a distributed agro-hydrological model. Agric. Water Manag. 2015, 147, 67–81. [Google Scholar] [CrossRef]
- Shi, M.; Wang, X.; Yang, H.; Wang, T. Pricing or quota? A solution to water scarcity in oasis regions in China: A case study in the Heihe River Basin. Sustainability 2014, 6, 7601–7620. [Google Scholar] [CrossRef]
- Wang, G.; Cheng, G. The characteristics of water resources and the changes of the hydrological process and environment in the arid zone of northwest China. Environ. Geol. 2000, 39, 783–790. [Google Scholar] [CrossRef]
- Cheng, G.; Li, X.; Zhao, W.; Xu, Z.; Feng, Q.; Xiao, S.; Xiao, H. Integrated study of the water-ecosystem-economy in the Heihe River Basin. Natl. Sci. Rev. 2014, 1, 413–428. [Google Scholar] [CrossRef]
- Zhang, B.; Li, F.M.; Huang, G.; Cheng, Z.Y.; Zhang, Y. Yield performance of spring wheat improved by regulated deficit irrigation in an arid area. Agric. Water Manag. 2006, 79, 28–42. [Google Scholar] [CrossRef]
- Wu, B.; Zheng, Y.; Wu, X.; Tian, Y.; Han, F.; Liu, J.; Zheng, C. Optimizing water resources management in large river basins with integrated surface water-groundwater modeling: A surrogate-based approach. Water Resour. Res. 2015, 51, 2153–2173. [Google Scholar] [CrossRef]
- Tian, Y.; Zheng, Y.; Zheng, C.; Xiao, H.; Fan, W.; Zou, S.; Wu, B.; Yao, Y.; Zhang, A.; Liu, J. Exploring scale-dependent ecohydrological responses in a large endorheic river basin through integrated surface water-groundwater modeling. Water Resour. Res. 2015, 51, 4065–4085. [Google Scholar] [CrossRef]
- Raes, D.; Steduto, P.; Hsiao, T.C.; Fereres, E. Aquacrop Reference Manual; FAO: Rome, Italy, 2009; Volume 218. [Google Scholar]
- Allen, R.G.; Pereira, L.S.; Raes, D.; Smith, M. Crop Evapotranspiration-Guidelines for Computing Crop Water Requirements-FAO Irrigation and Drainage Paper NO. 56; FAO: Rome, Italy, 1998. [Google Scholar]
- Zhu, T. The Spatial and Temporal Variation of Crop Water Consumption in the Middle Reaches of Heihe River Basin; China Agricultural University: Beijing, China, 2014. (In Chinese) [Google Scholar]
- Wang, J. Study on Formula Fertilization Effect of Maize in Gaotai County. Available online: https://www.docin.com/p-707572952.html (accessed on 20 June 2022).
- Ma, L. Study of Spring Wheat Growth Characteristics and Water Use Efficiency in Desert Oasis Area (in Chinese with English Abstract) [D]; Institute of Soil and Water Conservation, Chinese Academy of Sciences and Ministry of Water Resources: Yangling, China, 2013. [Google Scholar]
- Ma, Z.; Lian, C.; Zhang, L. Effects of Bed Planting System on Growth and Yield of Spring Wheat in Oasis Irrigation Region. J. Triticeae Crop. 2012, 32, 315–319. [Google Scholar]
- Zhang, Y. Studies on the Yield Effects and Its Influencing Mechanism of Bed Planting Spring Wheat in Hexi Oasis Irrigated Area. Master’s Thesis, Gansu Agricultural University, Lanzhou, China, 2006. (In Chinese). [Google Scholar]
- Xing, J. Calibration of CERES-Maize Model and Analysis of Water Saving Potential in Arid Area of Northwest China; Shanxi Agriculture University: Taigu, China, 2016. (In Chinese) [Google Scholar]
- Zhang, Z. Effects of Regulated Deficit Irrigation on Seed Maize; Gansu Agricultural University: Lanzhou, China, 2012. (In Chinese) [Google Scholar]
- Gao, B.; Yin, X.R.; Zhang, T. Impact of Cliamte Change on Wheat Yield in a Small Geographical Area Based on AquaCrop model. Hubei Agric. Sci. 2017, 56, 2856–2859. (In Chinese) [Google Scholar]
- Wang, J. Effects of mulching methods on yield and water use efficiency of seed maize production in Hexi irrigated area. Available online: https://www.docin.com/p-707766179.html (accessed on 20 June 2022).
- Doherty, J. PEST: Model-Independent Parameter Estimation, 5th ed.; Watermark Computing: Brisbane, Australia, 2010; pp. 551–554. [Google Scholar]
- Tarantola, S. Ispra, SimLab software 2.2.1.; Institute for Systems, Informatics and Safety, European Commission, Joint Research Center: Amman, Jordan, 2005. [Google Scholar]
- Jamieson, P.; Porter, J.; Wilson, D. A test of the computer simulation model ARCWHEAT1 on wheat crops grown in New Zealand. Field Crop. Res. 1991, 27, 337–350. [Google Scholar] [CrossRef]
- Willmott, C.J.; Matsuura, K. Advantages of the mean absolute error (MAE) over the root mean square error (RMSE) in assessing average model performance. Clim. Res. 2005, 30, 79–82. [Google Scholar] [CrossRef]
- Legates, D.R.; McCabe, G.J., Jr. Evaluating the use of “goodness-of-fit” Measures in hydrologic and hydroclimatic model validation. Water Resour. Res. 1999, 35, 233–241. [Google Scholar] [CrossRef]
- Steduto, P.; Hsiao, T.C.; Raes, D.; Fereres, E. AquaCrop—the FAO crop model to simulate yield response to water: II. Main algorithms and software description. Agron. J. 2009, 101, 438–447. [Google Scholar] [CrossRef]
- Brouwer, C.; Prins, K.; Heibloem, M. Irrigation Water Management: Training Manual No. 4: Irrigation Scheduling; FAO: Rome, Italy, 1985. [Google Scholar]
- Zhang, R. Study on the Optimal Regulated Deficit Drip Irrigation under Plastic Film Mulched Schedule of Corn for Seed and High-Efficient Use of Soil Water and Heat. Master’s Thesis, Gansu Agricultural University, Lanzhou, China, 2007. [Google Scholar]
- Zhao, R.; Mao, T.; Zhou, J. Contrastive experiment of different cropping patterns of seed maize production in Zhangye City. Gansu Agric. Sci. Technol. 2014, 3, 43–45. (In Chinese) [Google Scholar]
- Zhang, L.; Ma, Z.; Wang, Z.; Lian, C. Yield and Water Production Effect of Seed Corn under Different Cultivation Mode. Water Sav. Irrig. 2012, 12, 43–45, 50. [Google Scholar]
- He, Y.; Cheng, Z.; Zhang, R.; Zhang, J.; Li, Y.; Yao, M. Effects of Different Ways of Micro-moist Irrigation on Growth and Yield of Maize. J. South China Agric. Univ. 2012, 33, 566–569. (In Chinese) [Google Scholar]
- Zheng, R.; Wang, J.; Miu, C.; Li, C.; Yang, Y. Irrigation Schedules of Seed Maize with Trickle Irrigation Technique under Sub-film. J. Irrig. Drain. Eng. 2015, 34, 55–58. [Google Scholar]
- Wang, X. Study on the Technology of RDI Applied to Irrigation with Mulching and High-Efficient Use of Soil Water and Temperature in the Inland Irrigation District of Hexi. Master’s Thesis, Gansu Agricultural University, Lanzhou, China, 2006. (In Chinese). [Google Scholar]
- Wang, C.; Zhao, X.; Li, Y.; Zheng, R.; Zhang, T.; Yao, H.; Zhao, J.; Fan, Y.; Wang, H. Effects of irrigation quota and plastic film mulching on yield of seed corn in Hexi area. J. Henan Agric. Sci. 2016, 45, 25–30. (In Chinese) [Google Scholar]
- Chen, M.; Luo, Y.; Shen, Y.; Han, Z.; Cui, Y. Driving force analysis of irrigation water consumption using principal component regression analysis. Agric. Water Manag. 2020, 234, 106089. [Google Scholar] [CrossRef]
- Martinez, J.; Reca, J. Water Use Efficiency of Surface Drip Irrigation versus an Alternative Subsurface Drip Irrigation Method. J. Irrig. Drain. Eng. 2014, 140, 9. [Google Scholar] [CrossRef]
- Wang, Y.; Li, S.; Cui, Y.; Qin, S.; Guo, H.; Yang, D.; Wang, C. Effect of Drip Irrigation on Soil Water Balance and Water Use Efficiency of Maize in Northwest China. Water 2021, 13, 217. [Google Scholar] [CrossRef]
- Liu, E.K.; He, W.Q.; Yan, C.R. ‘White revolution’ to ‘white pollution’—Agricultural plastic film mulch in China. Environ. Res. Lett. 2014, 9, 091001. [Google Scholar] [CrossRef]
- Gao, H.; Yan, C.; Liu, Q.; Ding, W.; Chen, B.; Li, Z. Effects of plastic mulching and plastic residue on agricultural production: A meta-analysis. Sci. Total Environ. 2019, 651, 484–492. [Google Scholar] [CrossRef] [PubMed]
- Campbell, G.S. A simple method for determining unsaturated conductivity from moisture retention data. Soil Sci. 1974, 117, 311–314. [Google Scholar]
- Koren, V.; Smith, M.; Duan, Q. Use of a priori parameter estimates in the derivation of spatially. Calibration Watershed Models 2003, 239. [Google Scholar]








| Crop | Zone | Irrigation Timing (Days after Planting) | Irrigation Amount (mm) | ||||||||
|---|---|---|---|---|---|---|---|---|---|---|---|
| 75% 1 | 50% 1 | 25% 1 | |||||||||
| Seed maize | 1 | 40 | 73 | 105 | 125 | 690 | 640 | 580 | |||
| 2 | 53 | 62 | 74 | 98 | 111 | 123 | 147 | 945 | 825 | 795 | |
| 3 | 55 | 74 | 88 | 107 | 123 | 144 | 945 | 915 | 865 | ||
| Spring wheat | 1 | 35 | 62 | 87 | 495 | 465 | 435 | ||||
| 2 | 37 | 60 | 90 | 110 | 585 | 555 | 525 | ||||
| 3 | 37 | 60 | 90 | 110 | 555 | 530 | 480 | ||||
| Period | Indicator | Sample Size | |||
|---|---|---|---|---|---|
| Station 1 | Station 2 | Station 3 | |||
| Calibration | Soil water content | 100 (2003) 1 | 66 (2012) 6 | 36 (2009–2011) 8 | |
| Spring wheat | Green canopy cover | 8 (2004) 2 | 25 (2012) 6 | - | |
| Aboveground biomass | 10 (2004) 2 | 25 (2012) 6 | - | ||
| Yield | 4 (2004) 2 | 5 (2012) 6 | 4 (2000–2003) 9 | ||
| Seed maize | Green canopy cover | 24 (2012) 3 | 12 (2011) 7 | - | |
| Aboveground biomass | 27 (2012) 3 | 12 (2011) 7 | - | ||
| Yield | 3 (2012–2013) 3 | 3 (2011) 7 | 1 (2008) 10 | ||
| Validation | Soil water content | 100 (2004) 1 | 45 (2012) 6,* | 41 (2011–2013) 8 | |
| Spring wheat | Green canopy cover | 8 (2008) 4 | 25 (2011) 6 | - | |
| Aboveground biomass | 5 (2008) 4 | 25 (2011) 6 | - | ||
| Yield | 4 (2008) 4 | 5 (2011) 6 | 3 (2004–2006) 9 | ||
| Seed maize | Green canopy cover | 17 (2012–2013) 5 | 16 (2011) 7,* | - | |
| Aboveground biomass | 8 (2012) 5 | 16 (2011) 7,* | - | ||
| Yield | 6 (2012) 5 | 6 (2011) 7,* | 1 (2009) 11 | ||
| Scenario | 1 | 2 | 3 | 4 | 5 | 6 | 7 | 8 | 9 | 10 | 11 | 12 | Per1 | |||
|---|---|---|---|---|---|---|---|---|---|---|---|---|---|---|---|---|
| Irrigation method | Basin | √ | √ | √ | 100% | 50% | 55–76% | |||||||||
| Furrow | √ | √ | √ | 80% | 60% | |||||||||||
| Drip | √ | √ | √ | 30% | 90% | 95% | ||||||||||
| Subsurface drip | √ | √ | √ | 0% | 95% | 95% | ||||||||||
| Surface mulching | No mulch | √ | √ | √ | √ | 0% | ||||||||||
| Straw mulching | √ | √ | √ | √ | 50% | |||||||||||
| Plastic mulching | √ | √ | √ | √ | 50% | |||||||||||
| Crop | County | Simulated Yield (ton ha−1) | n | RMSE (ton ha−1) | MBE (ton ha−1) |
|---|---|---|---|---|---|
| Seed maize | Ganzhou | 7.475 | 14 | 0.040 | 0.033 |
| Linze | 7.183 | 14 | 1.058 | 0.965 | |
| Gaotai | 8.228 | 14 | 0.929 | 0.712 | |
| Spring wheat | Ganzhou | 8.610 | 21 | 0.760 | −0.643 |
| Linze | 8.691 | 21 | 0.841 | −0.738 | |
| Gaotai | 8.625 | 21 | 1.183 | −0.881 |
| Management Practices | Seed Maize | Spring Wheat | ||||
|---|---|---|---|---|---|---|
| Ganzhou | Linze | Gaotai | Ganzhou | Linze | Gaotai | |
| Basin + straw mulching | 4.3 | 3.3 | 3.7 | 2.3 | 2.6 | 2.3 |
| Basin + plastic mulching | 8.6 | 7.3 | 7.9 | 5.7 | 6.3 | 5.8 |
| Furrow + no mulching | 1.8 | 1.1 | 1.6 | 1.1 | 1.0 | 1.1 |
| Furrow + straw mulching | 4.6 | 3.5 | 3.9 | 2.8 | 3.1 | 2.8 |
| Furrow + plastic mulching | 8.8 | 7.5 | 8.0 | 6.0 | 6.6 | 6.1 |
| Drip + no mulching | 4.1 | 3.2 | 3.8 | 3.9 | 3.6 | 3.9 |
| Drip + straw mulching | 6.2 | 5.0 | 5.6 | 4.9 | 5.0 | 4.9 |
| Drip + plastic mulching | 9.1 | 7.8 | 8.3 | 6.4 | 7.0 | 6.6 |
| Subsurface drip + no mulching | 5.3 | 4.3 | 5.2 | 5.6 | 5.0 | 5.4 |
| Subsurface drip + straw mulching | 7.5 | 6.2 | 7.1 | 6.8 | 6.4 | 6.5 |
| Subsurface drip + plastic mulching | 10.9 | 9.2 | 10.1 | 8.2 | 8.2 | 8.1 |
| Management Practices | Seed Maize | Spring Wheat | ||||
|---|---|---|---|---|---|---|
| Ganzhou | Linze | Gaotai | Ganzhou | Linze | Gaotai | |
| Furrow + no mulching | 17.5 | 17.1 | 20.1 | 18.9 | 17.8 | 17.4 |
| Furrow + straw mulching | 18.3 | 21.6 | 21.8 | 22.9 | 22.5 | 21.5 |
| Furrow + plastic mulching | 21.3 | 30.0 | 27.3 | 23.5 | 22.7 | 22.0 |
| Drip + straw mulching | 61.3 | 63.3 | 66.5 | 63.7 | 62.8 | 62.2 |
| Drip + plastic mulching | 62.6 | 66.3 | 66.9 | 64.1 | 63.1 | 63.0 |
| Subsurface drip + straw mulching | 62.9 | 67.1 | 68.1 | 65.9 | 64.1 | 64.9 |
| Subsurface drip + plastic mulching | 64.5 | 68.4 | 68.7 | 66.3 | 65.1 | 64.4 |
Publisher’s Note: MDPI stays neutral with regard to jurisdictional claims in published maps and institutional affiliations. |
© 2022 by the authors. Licensee MDPI, Basel, Switzerland. This article is an open access article distributed under the terms and conditions of the Creative Commons Attribution (CC BY) license (https://creativecommons.org/licenses/by/4.0/).
Share and Cite
Zhang, W.; Tian, Y.; Feng, Y.; Liu, J.; Zheng, C. Water-Saving Potential of Different Agricultural Management Practices in an Arid River Basin. Water 2022, 14, 2072. https://doi.org/10.3390/w14132072
Zhang W, Tian Y, Feng Y, Liu J, Zheng C. Water-Saving Potential of Different Agricultural Management Practices in an Arid River Basin. Water. 2022; 14(13):2072. https://doi.org/10.3390/w14132072
Chicago/Turabian StyleZhang, Wang, Yong Tian, Yu Feng, Jie Liu, and Chunmiao Zheng. 2022. "Water-Saving Potential of Different Agricultural Management Practices in an Arid River Basin" Water 14, no. 13: 2072. https://doi.org/10.3390/w14132072
APA StyleZhang, W., Tian, Y., Feng, Y., Liu, J., & Zheng, C. (2022). Water-Saving Potential of Different Agricultural Management Practices in an Arid River Basin. Water, 14(13), 2072. https://doi.org/10.3390/w14132072
