Biological Degradation of the Azo Dye Basic Orange 2 by Escherichia coli: A Sustainable and Ecofriendly Approach for the Treatment of Textile Wastewater
Abstract
:1. Introduction
2. Materials and Methods
2.1. Bacterial Strain Used
2.2. Dye and Other Chemicals
2.3. Preparation of Dye Stock Solution
2.4. Growth of Bacteria
2.5. Degradation/Decolorization Activity
2.6. Optimization of Physiochemical Parameters for Biodegradation
2.6.1. Effect of Dye Concentration on Degradation
2.6.2. Effect of Time on Dye Degradation
2.6.3. Effect of Temperature on Dye Degradation
2.6.4. Effect of pH on Dye Degradation
2.6.5. Effect of Glucose Concentration on Dye Degradation
2.6.6. Effect of Sodium Chloride Concentration on Dye Degradation
2.6.7. Effect of Urea Concentration (as Nitrogen Source) on Dye Degradation
2.6.8. Effect of Various Redox Mediators on Dye Degradation
2.7. Dye Degradation at Optimum Conditions
2.8. Extraction of the Formed Metabolites after Degradation
2.8.1. Analysis of the Formed Metabolites of Basic Orange 2 Dye by GC-MS
2.8.2. FTIR Analysis of the Formed Metabolites
3. Results and Discussions
3.1. Most Efficient and Potential Bacterial Strain for Basic Orange 2 Degradation
3.2. Dye Degradation at Optimum Conditions
3.2.1. Effect of Dye Concentration on Degradation
3.2.2. Effect of pH on Dye Degradation
3.2.3. Effect of Temperature on Dye Degradation
3.2.4. Effect of Incubation Time on Dye Degradation
3.2.5. Effect of Glucose Concentration Dye Degradation
3.2.6. Effect of Urea Concentration Dye Degradation
3.2.7. Effect of Sodium Chloride Concentration on Dye Degradation
3.2.8. Effect of Redox Mediators on Dye Degradation
3.3. Degradation of Dye Basic Orange 2 at Optimum Physiochemical Conditions
3.4. Response Surface Optimization of Most Significant Parameters
3.5. Characterization Study
3.5.1. Fourier-Transform Infrared (FTIR) Analysis
3.5.2. Gas Chromatography and Mass Spectrometry
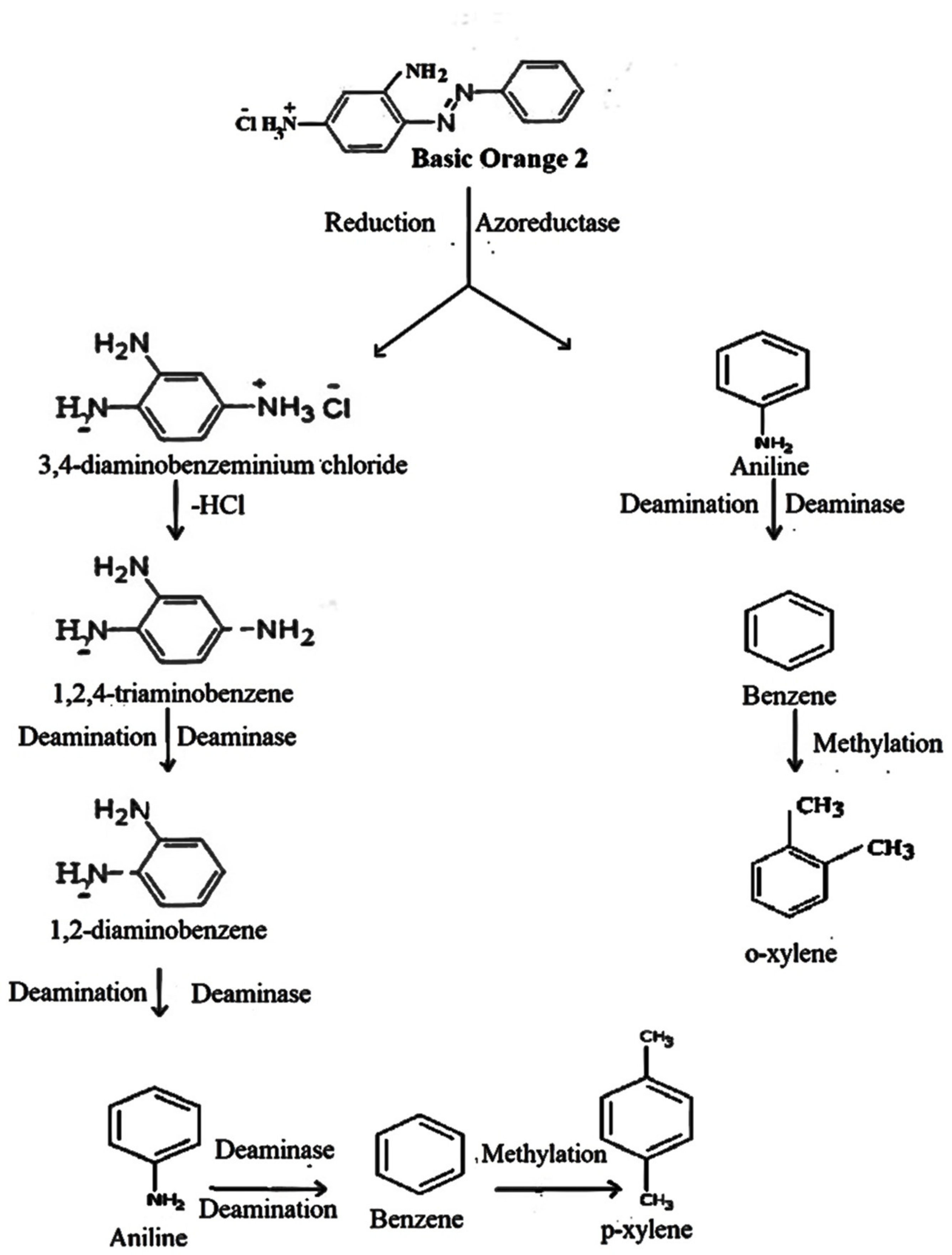
3.6. Proposed Mechanism for the Biodegradation of Basic Orange Dye by Escherichia coli
4. Conclusions
Author Contributions
Funding
Institutional Review Board Statement
Informed Consent Statement
Data Availability Statement
Conflicts of Interest
References
- Zhang, J. Environmental Problems of Human Settlements and Countermeasures Based on Ecological Engineering. In Study of Ecological Engineering of Human Settlements; Springer Nature: Berlin/Heidelberg, Germany, 2020; pp. 1–39. [Google Scholar]
- Oyekanmi, A.A.; Ahmad, A.; Mohd Setapar, S.H.; Alshammari, M.B.; Jawaid, M.; Hanafiah, M.M.; Abdul Khalil, H.P.S.; Vaseashta, A. Sustainable Durio zibethinus-Derived Biosorbents for Congo Red Removal from Aqueous Solution: Statistical Optimization, Isotherms and Mechanism Studies. Sustainability 2021, 13, 13264. [Google Scholar] [CrossRef]
- Andleeb, S.; Atiq, N.; Parmar, A.; Robson, G.D.; Ahmed, S. An HPLC method development for the assessment of degradation products of anthraquinone dye. Environ. Monit. Assess. 2011, 176, 597–604. [Google Scholar] [CrossRef]
- Li, W.; Mu, B.; Yang, Y. Feasibility of Industrial-Scale Treatment of Dye Wastewater via Bio-Adsorption Technology. Bioresour. Technol. 2019, 277, 157–170. [Google Scholar] [CrossRef] [PubMed]
- Zhang, L.; Shao, Q.; Xu, C. Enhanced Azo Dye Removal from Wastewater by Coupling Sulfidated Zero-Valent Iron with a Chelator. J. Clean. Prod. 2019, 213, 753–761. [Google Scholar] [CrossRef]
- Singh, R.L.; Singh, P.K.; Singh, R.P. Enzymatic Decolorization and Degradation of Azo Dyes—A Review. Int. Biodeterior. Biodegrad. 2015, 104, 21–31. [Google Scholar] [CrossRef]
- Louati, I.; Elloumi-Mseddi, J.; Cheikhrouhou, W.; Hadrich, B.; Nasri, M.; Aifa, S.; Woodward, S.; Mechichi, T. Simultaneous Cleanup of Reactive Black 5 and Cadmium by a Desert Soil Bacterium. Ecotoxicol. Environ. Saf. 2020, 190, 110103. [Google Scholar] [CrossRef]
- Shahid, M.; Wertz, J.; Degano, I.; Aceto, M.; Khan, M.I.; Quye, A. Analytical Methods for Determination of Anthraquinone Dyes in Historical Textiles: A Review. Anal. Chim. Acta 2019, 1083, 58–87. [Google Scholar] [CrossRef]
- Novotny, C.; Dias, N.; Kapanen, A.; Malachova, K.; Vándrovcova, M.; Itavaara, M.; Lima, N. Comparative Use of Bacterial, Algal and Protozoan Tests to Study Toxicity of Azo-and Anthraquinone Dyes. Chemosphere 2006, 63, 1436–1442. [Google Scholar] [CrossRef]
- Celia, M.P.; Suruthi, S. Textile Dye Degradation Using Bacterial Strains Isolated from Textile Mill Effluent. Int. J. Appl. Res. 2016, 2, 337–341. [Google Scholar]
- Shindhal, T.; Rakholiya, P.; Varjani, S.; Pandey, A.; Ngo, H.H.; Guo, W.; Ng, H.Y.; Taherzadeh, M.J. A Critical Review on Advances in the Practices and Perspectives for the Treatment of Dye Industry Wastewater. Bioengineered 2021, 12, 70–87. [Google Scholar] [CrossRef]
- Sarkar, S.; Banerjee, A.; Halder, U.; Biswas, R.; Bandopadhyay, R. Degradation of synthetic azo dyes of textile industry: A Sustainable Approach using Microbial Enzymes. Water Conserv. Sci. Eng. 2017, 2, 121–131. [Google Scholar] [CrossRef]
- Fernandes, F.H.; Bustos-Obregon, E.; Salvadori, D.M.F. Disperse Red 1 (textile dye) induces cytotoxic and genotoxic effects in mouse germ cells. Reprod. Toxicol. 2015, 53, 75–81. [Google Scholar] [CrossRef]
- Rapo, E.; Tonk, S. Factors Affecting Synthetic Dye Adsorption; Desorption Studies: A Review of Results from the Last Five Years (2017–2021). Molecules 2021, 26, 5419. [Google Scholar] [CrossRef]
- Nizam, N.U.M.; Hanafiah, M.M.; Mahmoudi, E.; Halim, A.A.; Mohammad, A.W. The removal of anionic and cationic dyes from an aqueous solution using biomass-based activated carbon. Sci. Rep. 2021, 11, 8623. [Google Scholar] [CrossRef]
- Olukanni, O.D.; Osuntoki, A.A.; Kalyani, D.C.; Gbenle, G.O.; Govindwar, S.P. Decolorization and biodegradation of reactive blue 13 by Proteus mirabilis LAG. J. Hazard. Mater. 2010, 184, 290–298. [Google Scholar] [CrossRef]
- Mnif, I.; Maktouf, S.; Fendri, R.; Kriaa, M.; Ellouze, S.; Ghribi, D. Improvement of methyl orange dye biotreatment by a novel isolated strain, Aeromonas veronii GRI, by SPB1 biosurfactant addition. Environ. Sci. Pollut. Res. 2016, 23, 1742–1754. [Google Scholar] [CrossRef]
- Parshetti, G.K.; Telke, A.A.; Kalyani, D.C.; Govindwar, S.P. Decolorization and detoxification of sulfonated azo dye methyl orange by Kocuria rosea MTCC 1532. J. Hazard. Mater. 2010, 176, 503–509. [Google Scholar] [CrossRef]
- Song, L.; Shao, Y.; Ning, S.; Liang, T. Performance of a newly isolated salt-tolerant yeast strain Pichia occidentalis G1 for degrading and detoxifying azo dyes. Bioresour. Technol. 2017, 233, 21–29. [Google Scholar] [CrossRef]
- Mahmood, R.T.; Asad, M.J.; Asgher, M.; Khan, F.S.; Muzammil, K.; Nasir, N.; Anwar, P.; Awais, M. First Report on the Bioremediation of Textile Industrial Effluents by Piptoporus Betulinus IEBL-3 by Using Response Surface Methodology. Appl. Sci. 2022, 12, 1090. [Google Scholar] [CrossRef]
- Abdul Aziz, N.I.H.; Mohd Hanafiah, M.; Halim, N.H.; Fidri, P.A.S. Phytoremediation of TSS, NH3-N and COD from Sewage Wastewater by Lemna minor L., Salvinia minima, Ipomea aquatica and Centella asiatica. Appl. Sci. 2020, 10, 5397. [Google Scholar] [CrossRef]
- Mansour, A.T.; Alprol, A.E.; Abualnaja, K.M.; El-Beltagi, H.S.; Ramadan, K.M.A.; Ashour, M. Dried Brown Seaweed’s Phytoremediation Potential for Methylene Blue Dye Removal from Aquatic Environments. Polymers 2022, 14, 1375. [Google Scholar] [CrossRef] [PubMed]
- Nizam, N.U.M.; Hanafiah, M.M.; Mahmoudi, E.; Mohammad, A.W.; Oyekanmi, A.A. Effective adsorptive removal of dyes and heavy metal using graphene oxide based Pre-treated with NaOH/H2SO4 rubber seed shells synthetic graphite Precursor: Equilibrium Isotherm, kinetics and thermodynamic studies. Sep. Purif. Technol. 2022, 289, 120730. [Google Scholar] [CrossRef]
- Li, H.X.; Xu, B.; Tang, L.; Zhang, J.H.; Mao, Z.G. Reductive decolorization of indigo carmine dye with Bacillus sp. MZS10. Int. Biodeterior. Biodegrad. 2015, 103, 30–37. [Google Scholar] [CrossRef]
- Pinheiro, L.R.S.; Gradíssimo, D.G.; Xavier, L.P.; Santos, A.V. Degradation of Azo Dyes: Bacterial Potential for Bioremediation. Sustainability 2022, 14, 1510. [Google Scholar] [CrossRef]
- Pham, V.H.T.; Kim, J.; Chang, S.; Chung, W. Purification and characterization of strong simultaneous enzyme production ofprotease and amylase from an extremophile-Bacillus sp. FW2 and its possibility in food waste degradation. Fermentation 2022, 8, 12. [Google Scholar] [CrossRef]
- Ahmad, M.; Yousaf, M.; Wang, S.; Cai, W.; Sang, L.; Li, Z.; Zhao, Z.P. Development of rapid CO2 utilizing microbial ecosystem onto the novel & porous FPUF@ nZVI@ TAC@ ASP hybrid for green coal desulphurization. Chem. Eng. J. 2022, 433, 134361. [Google Scholar]
- Van der Zee, F.P.; Villaverde, S. Combined Anaerobic–Aerobic Treatment of Azo Dyes—A Short Review of Bioreactor Studies. Water Res. 2005, 39, 1425–1440. [Google Scholar] [CrossRef] [PubMed]
- Khan, A.U.; Zahoor, M.; Rehman, M.U.; Shah, A.B.; Zekker, I.; Khan, F.A.; Ullah, R.; Albadrani, G.M.; Bayram, R.; Mohamed, H.R.H. Biological Mineralization of Methyl Orange by Pseudomonas aeruginosa. Water 2022, 14, 1551. [Google Scholar] [CrossRef]
- Sudha, M.; Saranya, A.; Selvakumar, G.; Sivakumar, N. Microbial degradation of azo dyes: A review. Int. J. Curr. Microbiol. App. Sci. 2014, 3, 670–690. [Google Scholar]
- Imran, M.; Negm, F.; Hussain, S.; Ashraf, M.; Ashraf, M.; Ahmad, Z.; Crowley, D.E. Characterization and purification of membrane-bound azoreductase from azo dye degrading Shewanella sp. strain IFN4. CLEAN Soil Air Water 2016, 44, 1523–1530. [Google Scholar] [CrossRef]
- Kolekar, Y.M.; Konde, P.D.; Markad, V.L.; Kulkarni, S.V.; Chaudhari, A.U.; Kodam, K.M. Effective bioremoval and detoxification of textile dye mixture by Alishewanella sp. KMK6. Appl. Microbiol. Biotechnol. 2013, 97, 881–889. [Google Scholar] [CrossRef] [PubMed]
- Haghshenas, H.; Kay, M.; Dehghanian, F.; Tavakol, H. Molecular dynamics study of biodegradation of azo dyes via their interactions with Azr C azoreductase. J. Biomol. Struct. Dyn. 2016, 34, 453–462. [Google Scholar] [CrossRef] [PubMed]
- Maniyam, M.N.; Ibrahim, A.L.; Cass, A.E.G. Decolourization and biodegradation of azo dye methyl red by Rhodococcus strain UCC 0016. Environ. Technol. 2020, 41, 71–85. [Google Scholar] [CrossRef] [PubMed]
- Veni, P.; Satish, C.P.; Tushar, J.; Diksha, S.; Saurabh, G.; Saurabh, K.; Mukesh, S. Biodegradation of Toxic Dyes: A Comparative Study of Enzyme Action in a Microbial System. In Smart Bioremediation Technologies; Academic Press: Cambridge, MA, USA, 2019; pp. 255–287. [Google Scholar]
- Zhuang, M.; Sanganyado, E.; Zhang, X.; Xu, L.; Zhu, J.; Liu, W.; Song, H. Azo dye degrading bacteria tolerant to extreme conditions inhabit near shore ecosystems: Optimization and degradation pathways. J. Environ. Manag. 2020, 261, 110222–110231. [Google Scholar] [CrossRef] [PubMed]
- Saratale, R.G.; Saratale, G.D.; Chang, J.S.; Govindwar, S.P. Bacterial decolorization and degradation of azo dyes: A review. J. Taiwan Inst. Chem. Eng. 2011, 42, 138–157. [Google Scholar] [CrossRef]
- Anjaneya, O.; Yogesh, S.O.; Santoshkumar, M.; Karegoudar, T.B. Decolorization of sulfonated azo dye Metanil Yellow by newly isolated bacterial strains: Bacillus sp. Strain AK1 and Lysinibacillus sp. strain AK2. J. Hazard. Mat. 2011, 190, 351–358. [Google Scholar] [CrossRef] [PubMed]
- Pearce, C.I.; Lloyd, J.R.; Guthrie, J. The removal of colour from textile wastewater using whole bacterial cells: A review. Dyes Pigments 2003, 58, 179–196. [Google Scholar] [CrossRef]
- Sihag, S.; Pathak, H.; Jaroli, D.P. Factors affecting the rate of 381 biodegradation of polyaromatic hydrocarbons. Int. J. Pure Appl. Biosci. 2014, 2, 185–202. [Google Scholar]
- Cui, D.; Li, G.; Zhao, M.; Han, S. Decolourization of azo dyes by a newly isolated Klebsiella sp. strain Y3, and effects of various factors on biodegradation. Biotechnol. Equip. 2014, 28, 478–486. [Google Scholar] [CrossRef]
- Khan, A.U.; Rehman, M.U.; Zahoor, M.; Shah, A.B.; Zekker, I. Biodegradation of Brown 706 Dye by Bacterial Strain Pseudomonas aeruginosa. Water 2021, 13, 2959. [Google Scholar] [CrossRef]
- Van der Zee, F.; Bouwman, R.; Strik, D.; Lettinga, G.; Field, J. Application of redox mediators to accelerate the transformation of reactive azo dyes in anaerobic bioreactors. Biotechnol. Bioeng. 2001, 75, 691–701. [Google Scholar] [CrossRef]
- Moir, D.; Masson, S.; Chu, I. Structure-activity relationship study on the bioreduction of AZO dyes by Clostridium paraputrificum. Environ. Toxicol. Chem. 2001, 20, 479–484. [Google Scholar] [CrossRef]
- Rau, J.; Stolz, A. Oxygen-insensitive nitroreductases NfsA and NfsB of Escherichia coli function under anaerobic conditions as lawsone-dependent Azo reductases. Appl. Environ. Microbiol. 2003, 69, 3448–3455. [Google Scholar] [CrossRef]
- Olukanni, O.; Awotula, A.; Osuntoki, A.; Govindwar, S. Influence of redox mediators and media on methyl red decolorization and its biodegradation by Providencia rettgeri. SN Appl. Sci. 2019, 1, 697. [Google Scholar] [CrossRef]
- Gautam, P.; Kumar, S.; Vishwakarma, S.; Gautam, A. Synergistic optimization of electrocoagulation process parameters using response surface methodology for treatment of hazardous waste landfill leachate. Chemosphere 2022, 290, 133255. [Google Scholar] [CrossRef]
- Oyekanmi, A.A.; Ahmad, A.; Hossain, K.; Rafatullah, M. Statistical optimization for adsorption of Rhodamine B dye from aqueous solutions. J. Mol. Liq. 2019, 281, 48–58. [Google Scholar] [CrossRef]
- Mohammadi, N.; Khani, H.; Gupta, V.K.; Amereh, E.; Agarwal, S. Adsorption process of methyl orange dye onto mesoporous carbon material–kinetic and thermodynamic studies. J. Colloid Interface Sci. 2011, 362, 457–462. [Google Scholar] [CrossRef]
- Chauhan, A.K.; Choudhury, B. Synthetic dyes degradation using lignolytic enzymes produced from Halopiger aswanensis strain ABC_IITR by Solid State Fermentation. Chemosphere 2021, 273, 129671. [Google Scholar] [CrossRef]
- Kishor, R.; Saratale, G.D.; Saratale, R.G.; Ferreira, L.F.R.; Bilal, M.; Iqbal, H.M.; Bharagava, R.N. Efficient degradation and detoxification of methylene blue dye by a newly isolated ligninolytic enzyme producing bacterium Bacillus albus MW407057. Colloids Surf. B Biointerfaces 2021, 206, 111947. [Google Scholar] [CrossRef]
- Ogola, H.J.O.; Ashida, H.; Ishikawa, T.; Sawa, Y. Explorations and Applications of Enzyme-linked Bioremediation of Synthetic Dyes. In Advances in Bioremediation of Wastewater and Polluted Soil; Shiomi, N., Ed.; InTech: London, UK, 2015; pp. 111–144. [Google Scholar]
- Masarbo, R.S.; Karegoudar, T. Decolourization of toxic azo dye Fast Red E by three bacterial strains: Process optimisation and toxicity assessment. Int. J. Environ. Anal. Chem. 2020, 1–11. [Google Scholar] [CrossRef]
- Sahasrabudhe, M.M.; Saratale, R.G.; Saratale, G.D.; Pathade, G.R. Decolorization and detoxification of sulfonated toxic diazo dye CI Direct Red 81 by Enterococcus faecalis YZ 66. J. Environ. Health Sci. Eng. 2014, 12, 151. [Google Scholar] [CrossRef] [PubMed]
- Pandey, A.; Singh, P.; Iyengar, L. Bacterial decolorization and degradation of azo dyes. Int. Biodeterior.Biodegrad. 2007, 59, 73–84. [Google Scholar] [CrossRef]



















| Factors | Units | Code | Levels | ||
|---|---|---|---|---|---|
| −1 | 0 | +1 | |||
| pH | - | 3 | 6.5 | 10 | |
| Dye concentration | ppm | 5 | 12.5 | 20 | |
| Incubation time | day | 3 | 12 | 21 | |
| Temperature | °C | 25 | 37.5 | 50 | |
| Run | Actual Value | Predicted Value | ||||
|---|---|---|---|---|---|---|
| 1 | 0 | 0 | 2 | 0 | 52.10 | 59.97 |
| 2 | −1 | −1 | −1 | −1 | 58.20 | 68.04 |
| 3 | 1 | −1 | 1 | 1 | 31.40 | 35.92 |
| 4 | 0 | −2 | 0 | 0 | 52.30 | 56.69 |
| 5 | −1 | −1 | −1 | −1 | 56.60 | 57.80 |
| 6 | −1 | 1 | 1 | −1 | 56.40 | 53.82 |
| 7 | 1 | 1 | 1 | −1 | 48.90 | 54.15 |
| 8 | 0 | 0 | 0 | 2 | 52.70 | 58.87 |
| 9 | −1 | 1 | −1 | −1 | 56.10 | 58.49 |
| 10 | 0 | 0 | 0 | 0 | 78.30 | 74.20 |
| 11 | 0 | 0 | 0 | 0 | 38.90 | 42.60 |
| 12 | 0 | 2 | 0 | 0 | 59.70 | 67.05 |
| 13 | −1 | −1 | 1 | −1 | 59.20 | 55.97 |
| 14 | 0 | 0 | 0 | −2 | 51.60 | 55.67 |
| 15 | 0 | 0 | −2 | 0 | 57.80 | 56.52 |
| 16 | 0 | 0 | 0 | 0 | 67.60 | 64.89 |
| 17 | 1 | −1 | 1 | −1 | 9.20 | 5.83 |
| 18 | −1 | 1 | −1 | 1 | 32.60 | 26.26 |
| 19 | −2 | 0 | 0 | 0 | 76.40 | 75.54 |
| 20 | −1 | 1 | 1 | 1 | 73.60 | 64.74 |
| 21 | 1 | −1 | −1 | −1 | 81.20 | 70.06 |
| 22 | 1 | 1 | −1 | −1 | 68.30 | 69.72 |
| 23 | 1 | 1 | −1 | 1 | 80.30 | 68.82 |
| 24 | 1 | −1 | −1 | 1 | 75.60 | 77.36 |
| 25 | 0 | 0 | 0 | 0 | 83.40 | 83.40 |
| 26 | 1 | 1 | 1 | 1 | 83.40 | 83.40 |
| 27 | 0 | 0 | 0 | 0 | 83.40 | 83.40 |
| 28 | 2 | 0 | 0 | 0 | 83.40 | 83.40 |
| 29 | −1 | −1 | 1 | 1 | 83.40 | 83.40 |
| 30 | 0 | 0 | 0 | 0 | 83.40 | 83.40 |
| Source | Sum of Squares | DF | Square Values | F-Value | p-Value | Remarks |
|---|---|---|---|---|---|---|
| Model | 9384.84 | 14 | 670.35 | 13.53 | <0.0001 | Significant |
| 626.28 | 1 | 626.28 | 12.64 | 0.0029 | Significant | |
| 7777.96 | 1 | 156.97 | 156.97 | <0.0001 | Significant | |
| 301.34 | 1 | 301.34 | 6.08 | 0.0262 | Significant | |
| 312.81 | 1 | 312.81 | 6.31 | 0.0239 | Significant | |
| 257.60 | 1 | 257.60 | 5.20 | 0.037 | Significant | |
| 268.96 | 1 | 268.96 | 5.43 | 0.0342 | Significant | |
| R-Squared | Adj R-Squared | Adeq Precision | Mean | PRESS | ||
| 0.9266 | 0.8581 | 15.585 | 62.51 | 4281.04 |
Publisher’s Note: MDPI stays neutral with regard to jurisdictional claims in published maps and institutional affiliations. |
© 2022 by the authors. Licensee MDPI, Basel, Switzerland. This article is an open access article distributed under the terms and conditions of the Creative Commons Attribution (CC BY) license (https://creativecommons.org/licenses/by/4.0/).
Share and Cite
Ikram, M.; Naeem, M.; Zahoor, M.; Hanafiah, M.M.; Oyekanmi, A.A.; Ullah, R.; Farraj, D.A.A.; Elshikh, M.S.; Zekker, I.; Gulfam, N. Biological Degradation of the Azo Dye Basic Orange 2 by Escherichia coli: A Sustainable and Ecofriendly Approach for the Treatment of Textile Wastewater. Water 2022, 14, 2063. https://doi.org/10.3390/w14132063
Ikram M, Naeem M, Zahoor M, Hanafiah MM, Oyekanmi AA, Ullah R, Farraj DAA, Elshikh MS, Zekker I, Gulfam N. Biological Degradation of the Azo Dye Basic Orange 2 by Escherichia coli: A Sustainable and Ecofriendly Approach for the Treatment of Textile Wastewater. Water. 2022; 14(13):2063. https://doi.org/10.3390/w14132063
Chicago/Turabian StyleIkram, Muhammad, Mohammad Naeem, Muhammad Zahoor, Marlia Mohd Hanafiah, Adeleke Abdulrahman Oyekanmi, Riaz Ullah, Dunia A. Al Farraj, Mohamed S. Elshikh, Ivar Zekker, and Naila Gulfam. 2022. "Biological Degradation of the Azo Dye Basic Orange 2 by Escherichia coli: A Sustainable and Ecofriendly Approach for the Treatment of Textile Wastewater" Water 14, no. 13: 2063. https://doi.org/10.3390/w14132063
APA StyleIkram, M., Naeem, M., Zahoor, M., Hanafiah, M. M., Oyekanmi, A. A., Ullah, R., Farraj, D. A. A., Elshikh, M. S., Zekker, I., & Gulfam, N. (2022). Biological Degradation of the Azo Dye Basic Orange 2 by Escherichia coli: A Sustainable and Ecofriendly Approach for the Treatment of Textile Wastewater. Water, 14(13), 2063. https://doi.org/10.3390/w14132063

