Impact of Climate Change on Soil Water Content in Southern Saskatchewan, Canada
Abstract
1. Introduction
2. Research Methodology
3. Results and Discussion
3.1. Uncertainty, Sensitivity, and Calibration
3.2. Impact of Climate Change on Weather Parameters
3.3. Impact of Climate Change on a Drought Index
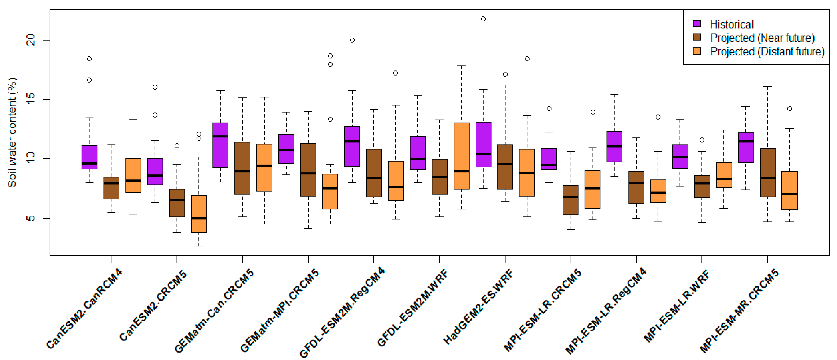
3.4. Impact of Climate Change on Soil Water Content
4. Summary and Conclusions
Author Contributions
Funding
Institutional Review Board Statement
Informed Consent Statement
Data Availability Statement
Acknowledgments
Conflicts of Interest
References
- Pomeroy, J.W.; Gray, D.M.; Brown, T.; Hedstrom, N.R.; Quinton, W.; Granger, R.J.; Carey, S. The cold regions hydrological model: A platform for basing process representation and model structure on physical evidence. Hydrol. Process. 2007, 21, 2650–2667. [Google Scholar] [CrossRef]
- Mamassis, N.; Panagoulia, D.; Novkovic, A. Sensitivity analysis of penman evaporation method. Glob. Nest J. 2014, 16, 628–639. [Google Scholar]
- Akhter, A.; Azam, S. Flood-drought hazard assessment for a flat clayey deposit in the Canadian Prairies. J. Environ. Inform. Lett. 2019, 1, 8–19. [Google Scholar] [CrossRef]
- Barnett, T.; Adam, J.; Lettenmaier, D.P. Potential impacts of a warming climate on water availability in snow-dominated regions. Nature 2005, 438, 303–309. [Google Scholar] [CrossRef]
- Feng, H.; Liu, Y. Combined effects of precipitation and air temperature on soil moisture in different land covers in a humid basin. J. Hydrol. 2015, 531, 1129–1140. [Google Scholar] [CrossRef]
- Bouslihim, Y.; Kacimi, I.; Brirhet, H.; Khatati, M.; Rochdi, A.; Pazza, N.E.A.; Miftah, A.; Yaslo, Z. Hydrologic modeling using SWAT and GIS, application to subwatershed Bab-Merzouka (Sebou, Morocco). J. Geogr. Inf. Syst. 2016, 8, 20–27. [Google Scholar] [CrossRef][Green Version]
- Sauchyn, D.; Barrow, E.; Fang, X.; Henderson, N.; Johnston, M.; Pomeroy, J.; Thorpe, J.; Wheaton, E.; Williams, B. Saskatchewan’s Natural Capital in a Changing Climate: An Assessment of Impacts and Adaptation; Report to Saskatchewan Ministry of Environment; Prairie Adaptation Research Collaborative: Regina, SK, Canada, 2009; 162p. [Google Scholar]
- Morales-Marin, L.; Wheater, H.; Lindenschmidt, K.E. Potential Changes of Annual-Averaged Nutrient Export in the South Saskatchewan River Basin under Climate and Land-Use Change Scenarios. Water 2018, 10, 1438. [Google Scholar] [CrossRef]
- Dibike, Y.; Muhammad, A.; Shrestha, R.; Spence, C.; Bonsal, B.; de Rham, L.; Rowley, J.; Evenson, G.; Stadnyk, T. Application of dynamic contributing area for modelling the hydrologic response of the Assiniboine River basin to a changing climate. J. Great Lakes Res. 2021, 47, 663–676. [Google Scholar] [CrossRef]
- Herceg, A.; Kalicz, P.; Gribovszki, Z. The impact of land use on future water balance—A simple approach for analysing climate change effects. Forest 2021, 14, 175–185. [Google Scholar] [CrossRef]
- Keshta, N.; Elshorbagy, A.; Carey, S. Impacts of climate change on soil moisture and evapotranspiration in reconstructed watersheds in northern Alberta, Canada. Hydrol Process. 2012, 26, 1321–1331. [Google Scholar] [CrossRef]
- Chiew, F.; Whetton, P.H.; McMahon, T.A.; Pittock, A.B. Simulation of the impacts of climate change on runoff and soil moisture in Australian catchments. J. Hydrol. 1995, 167, 121–147. [Google Scholar] [CrossRef]
- Berg, A.; Sheffield, J. Climate Change and Drought: The Soil Moisture Perspective. Curr. Clim. Change Rep. 2018, 4, 180–191. [Google Scholar] [CrossRef]
- Bradford, J.B.; Schlaepfer, D.R.; Lauenroth, W.K.; Palmquist, K.A.; Chambers, J.C.; Maestas, J.D.; Campbell, S.B. Climate-Driven Shifts in Soil Temperature and Moisture Regimes Suggest Opportunities to Enhance Assessments of Dryland Resilience and Resistance. Front. Ecol. Evol. 2019, 7, 358. [Google Scholar] [CrossRef]
- Hosten, A.; Vetter, T.; Vohland, K.; Krysanova, V. Impact of climate change on soil moisture dynamics in Brandenburg with a focus on nature conservation areas. Ecol. Model. 2009, 220, 2076–2087. [Google Scholar] [CrossRef]
- Kellomäki, S.; Maajärvi, M.; Strandman, H.; Kilpeläinen, A.; Peltola, H. Model computations on the climate change effects on snow cover, soil moisture and soil frost in the boreal conditions over Finland. Silva Fenn. 2010, 44, 213–233. [Google Scholar] [CrossRef]
- Narasimhan, B.; Srinivasan, R. Development and evaluation of Soil Moisture Deficit Index (SMDI) and Evapotranspiration Deficit Index (ETDI) for agricultural drought monitoring. Agric. For. Meteorol. 2005, 133, 69–88. [Google Scholar] [CrossRef]
- Wang, X.; Xie, H.; Guan, H.; Zhou, X. Different responses of MODIS-derived NDVI to root-zone soil moisture in semi-arid and humid regions. J. Hydrol. 2011, 340, 12–24. [Google Scholar] [CrossRef]
- Park, J.Y.; Ahn, S.R.; Hwang, S.J.; Jang, C.H.; Park, G.A.; Kim, S.J. Evaluation of MODIS NDVI and LST for indicating soil moisture of forest areas based on SWAT modeling. Int. Soc. Pad. Water Environ. Eng. 2014, 121, 77–88. [Google Scholar] [CrossRef]
- Havrylenko, S.B.; Bodoque, J.M.; Srinivasan, R.; Zucarelli, G.V.; Mercuri, P. Assessment of the soil wa-ter content in the Pampas region using SWAT. Catena 2016, 137, 298–309. [Google Scholar] [CrossRef]
- Nilawar, A.P.; Calderella, C.P.; Lakhankar, T.Y. Satellite soil moisture validation using hydrological SWAT model: A case study of Puerto Rico, USA. Hydrology 2017, 4, 45. [Google Scholar] [CrossRef]
- Rajib, A.; Merwade, V.; Kim, I.L.; Zhao, L.; Song, C.; Zhe, S. SWATShare—A web platform for collabo-rative research and education through online sharing, simulation and visualization of SWAT models. Environ. Model. Softw. 2016, 75, 498–512. [Google Scholar] [CrossRef]
- Azimi, S.; Dariane, A.; Modanesi, S.; Bauer-Marschallinger, B.; Bindlish, R.; Wagner, W.; Massari, C. Assimilation of Sentinel 1 and SMAP—Based satellite soil moisture retrievals into SWAT hydrological model: The impact of satellite revisit time and product spatial resolution on flood simulations in small basins. J. Hydrol. 2020, 581, 124367. [Google Scholar] [CrossRef] [PubMed]
- Zare, M.; Azam, S.; Sauchyn, D. Evaluation of Soil Water Content Using SWAT for Southern Saskatchewan, Canada. Water 2022, 14, 249. [Google Scholar] [CrossRef]
- Abbaspour, K.C. SWAT-CUP: SWAT Calibration and Uncertainty Programs—A User Manual; Open File Rep.; Eawag, Swiss Federal Institute of Aquatic Science and Technology: Dübendorf, Switzerland, 2015; 100p. [Google Scholar]
- Arnold, J.G.; Moriasi, D.N.; Gassman, P.W.; Abbaspour, K.C.; White, M.J.; Srinivasan, R.; Santhi, C.; Harmel, R.D.; Van Griensven, A.; Van Liew, M.W.; et al. SWAT: Model use, calibration, and validation. Trans. ASABE 2012, 55, 1491–1508. [Google Scholar] [CrossRef]
- Abbaspour, K.C.; Yang, J.; Maximov, I.; Siber, R.; Bogner, K.; Mieleitner, J.; Zobrist, J.; Srinivasan, R. Modelling hydrology and water quality in the pre-alpine/alpine Thur watershed using SWAT. J. Hydrol. 2007, 333, 413–430. [Google Scholar] [CrossRef]
- Mearns, L.; McGinnis, S.; Korytina, D.; Arritt, R. The NA-CORDEX Dataset, Version 1.0. NCAR Climate Data Gateway, Boulder CO. 2017. Available online: https://doi.org/10.5065/D6SJ1JCH (accessed on 16 May 2017).
- van Griensven, A.; Meixner, T.; Grunwald, S.; Bishop, T.; Di Luzio, M.; Srinivasan, R. A global sensitivity analysis method for the parameters of multi-variable watershed models. J. Hydrol. 2006, 324, 10–23. [Google Scholar] [CrossRef]
- Moriasi, D.N.; Arnold, J.G.; Van Liew, M.W.; Binger, R.L.; Harmel, R.D.; Veith, T. Model evaluation guidelines for systematic quantification of accuracy in watershed simulations. Trans. ASABE 2007, 50, 885–900. [Google Scholar] [CrossRef]
- Gyamfi, C.; Ndambuki, J.M.; Salim, R.W. Application of SWAT model to the Olifants Basin: Calibration, validation and uncertainty analysis. J. Water Resour. Prot. 2016, 8, 397–410. [Google Scholar] [CrossRef]
- Khalid, K.; Rahman, A. Sensitivity Analysis in Watershed Model Using SUFI-2 Algorithm. Procedia Eng. 2016, 162, 441–447. [Google Scholar] [CrossRef]
- Thavhana, M.P.; Savage, M.J.; Moeletsi, M.E. SWAT model uncertainty analysis, calibration and validation for runoff simulation in the Luvuvhu River catchment, South Africa. Phys. Chem. Earth 2018, 105, 115–124. [Google Scholar] [CrossRef]
- Van Liew, M.W.; Garbrecht, J. Hydrologic Simulation of the Little Washita River Experimental Watershed Using SWAT. J. Am. Water Resour. Assoc. 2003, 39, 413–426. [Google Scholar] [CrossRef]
- Chapuis, R.P. Predicting the saturated hydraulic conductivity of soils: A review. Bull. Eng. Geol. Environ. 2012, 71, 401–434. [Google Scholar] [CrossRef]
- Opere, A.O.; Okello, B.N. Hydrologic analysis for river Nyando using SWAT. Hydrol. Earth Syst. Sci. 2011, 8, 1765–1797. [Google Scholar]
- Rossi, C.G.; Srinivasan, R.; Jirayoot, K.; Le Duc, T.; Souvannabouth, P.; Binh, N. Hydrologic evaluation of the Lower Mekong River Basin with the soil and water assessment tool model. Int. Agric. Eng. J. 2009, 18, 1–13. [Google Scholar]
- Mengistu, D.T.; Sorteberg, A. Sensitivity of SWAT simulated streamflow to climatic changes within the Eastern Nile River basin. Hydrol. Earth Syst. Sci. 2012, 16, 391–407. [Google Scholar] [CrossRef]
- Tanzeeba, S.; Gan, T.Y. Potential impact of climate change on the water availability of South Saskatchewan River Basin. Clim. Change 2012, 112, 355–386. [Google Scholar] [CrossRef]
- He, Y.; Wang, H.; Qian, B.; McConkey, B.; DePauw, R. How early can the seeding dates of spring wheat be under current and future climate in Saskatchewan, Canada? PLoS ONE 2012, 7, e45153. [Google Scholar] [CrossRef]
- Islam, Z.; Gan, T.Y. Potential combined hydrologic impacts of climate change and El Niño Southern Oscillation to South Saskatchewan River Basin. J. Hydrol. 2015, 523, 34–48. [Google Scholar] [CrossRef]
- DeJong, J.T.; Mortensen, B.M.; Martinez, B.C.; Nelson, D.C. Bio-mediated soil improvement. Ecol. Eng. 2010, 36, 197–210. [Google Scholar] [CrossRef]
- Dibike, Y.; Prowse, T.; Bonsal, B.; Oneil, H. Implications of future climate on water availability in the western Canadian river basins. Int. J. Climatol. 2017, 37, 3247–3263. [Google Scholar] [CrossRef]
- Qian, B.; De Jong, R.; Gameda, S.; Huffman, T.; Neilsen, D.; Desjardins, R.; Wang, H.; McConkey, B. Impact of climate change scenarios on Canadian agroclimatic indices. Can. J. Soil Sci. 2013, 93, 243–259. [Google Scholar] [CrossRef]
- Chipanshi, A.; Berry, M.; Zhang, Y.; Qian, B. Agroclimatic indices across the Canadian Prairies under a changing climate and their implications for agriculture. Int. J. Climatol. 2021, 32, 2351–2367. [Google Scholar] [CrossRef]
- Diro, G.T.; Sushama, L. The Role of Soil Moisture–Atmosphere Interaction on Future Hot Spells over North America as Simulated by the Canadian Regional Climate Model (CRCM5). Am. Meteorol. Soc. 2017, 30, 5041–5058. [Google Scholar] [CrossRef]
- Kienzle, S.W.; Nemeth, M.W.; Byrne, J.M.; MacDonald, R.J. Simulating the hydrological impacts of climate change in the upper North Saskatchewan River basin, Alberta, Canada. J. Hydrol. 2012, 412, 76–89. [Google Scholar] [CrossRef]
- Pomeroy, J.; Fang, X.; Williams, B. Impacts of Climate Change on Saskatchewan’s Water Resources; Centre for Hydrology, University of Saskatchewan: Saskatoon, SK, Canada, 2009. [Google Scholar]












| Station Name | Latitude (N) | Longitude (W) | Elevation (m) | Start Date | End Date | Years |
|---|---|---|---|---|---|---|
| Broadview | 50°22′05.000″ | 102°34′15.000″ | 599.80 | 1985 | 2020 | 36 |
| Buffalo pound lake | 50°33′00.000″ | 105°23′00.000″ | 588.00 | 1985 | 2020 | 36 |
| Qu’Appelle | 50°34′00.000″ | 103°59′00.000″ | 662.90 | 1985 | 2020 | 36 |
| Kelliher | 51°15′26.700″ | 103°45′10.900″ | 675.60 | 1985 | 2020 | 36 |
| Moose Jaw | 50°19′54.050″ | 105°32′15.030″ | 577.00 | 1998 | 2020 | 23 |
| Lipton 2 | 51°09′08.008″ | 103°53′22.001″ | 640.00 | 1985 | 2020 | 36 |
| Yellow grass | 49°49′00.000″ | 104°11′00.000″ | 579.70 | 1985 | 2018 | 34 |
| Langenburg | 50°54′00.000″ | 101°43′00.000″ | 516.60 | 1985 | 2020 | 36 |
| Leroy | 52°00′00.000″ | 104°38′00.000″ | 535.40 | 1985 | 2020 | 36 |
| Rock point | 51°09′14.007″ | 107°15′48.004″ | 725.10 | 1985 | 2020 | 36 |
| Elbow | 51°08′00.000″ | 106°35′00.000″ | 595.00 | 1985 | 2020 | 36 |
| Last mountain | 51°25′00.000″ | 105°15′00.000″ | 497.00 | 1985 | 2020 | 36 |
| Watrous | 51°40′00.000″ | 105°24′00.000″ | 525.60 | 1985 | 2020 | 36 |
| Indian head | 50°33′00.000″ | 103°39′00.000″ | 579.10 | 1985 | 2020 | 36 |
| Lucky lake | 50°57′00.000″ | 107°09′00.000″ | 664.70 | 1985 | 2020 | 36 |
| Simulation Name | GCM Derived | RCM Model Name | Institute |
|---|---|---|---|
| CanESM2.CanRCM4 | CanESM2 | Canadian Regional Climate Model version 4 | Canadian Centre for Climate Modelling and Analysis (CCCma) |
| CanESM2.CRCM5 | CanESM2 | Canadian Regional Climate Model (CRCM) version 5 | Université du Québec à Montréal (UQAM) |
| GEMatm-Can.CRCM5 | GEMatm | Canadian Regional Climate Model (CRCM) version 5 | Université du Québec à Montréal (UQAM) |
| GEMatm-MPI.CRCM5 | GEMatm | Canadian Regional Climate Model (CRCM) version 5 | Université du Québec à Montréal (UQAM) |
| GFDL-ESM2M.RegCM4 | GFDL-ESM2 | Regional Climate Model version 4 | Iowa State University and the National Center for Atmospheric Research (NCAR) |
| GFDL-ESM2M.WRF | GFDL-ESM2 | Weather Research and Forecasting model | University of Arizona and NCAR |
| HadGEM2-ES.WRF | HadGEM2-ES | Weather Research and Forecasting model | University of Arizona and NCAR |
| MPI-ESM-LR.CRCM5 | MPI-ESM-LR | Canadian Regional Climate Model (CRCM) version 5 | Université du Québec à Montréal (UQAM) |
| MPI-ESM-LR.RegCM4 | MPI-ESM-LR | Regional Climate Model version 4 | Iowa State University and the National Center for Atmospheric Research (NCAR) |
| MPI-ESM-LR.WRF | MPI-ESM-LR | Weather Research and Forecasting model | University of Arizona and NCAR |
| MPI-ESM-MR.CRCM5 | MPI-ESM-MR | Canadian Regional Climate Model (CRCM) version 5 | Université du Québec à Montréal (UQAM) |
| Parameter | Description | Type | Initial Range | Optimal Value | p-Value | t-State | Rank |
|---|---|---|---|---|---|---|---|
| ALPHA_BF | Base flow alpha factor | v | 0.0–1.0 | 0.1–0.241 | 0.000 | −36.26 | 1 |
| GW_REVAP | Ground water re-evaporation coefficient | v | −0.2–0.2 | 0.1–0.17 | 0.000 | 16.89 | 2 |
| CH_K2 | Effective hydraulic conductivity in main channel alluvium (mm/h) | v | 0.0–500 | 154–642 | 0.001 | 14.73 | 3 |
| CN2 | Curve number at moisture condition II | r | −0.2–0.2 | −0.13–0.038 | 0.008 | 13.21 | 4 |
| GWQMN | Threshold depth of water in the shallow aquifer required for return flow (mm) | r | 0.0–0.2 | 0.64–1.94 | 0.074 | 10.9 | 5 |
| SOL_ALB | Moist soil albedo | r | 0–0.25 | 0.08–0.139 | 0.08 | −10.7 | 6 |
| ESCO | Soil evaporation compensation factor | v | 0.0–1.0 | 0.241–0.832 | 0.354 | 9.26 | 7 |
| CH_N2 | Manning’s ”n” value for the channel | v | 0.0–0.3 | 0.09–0.272 | 0.382 | −8.74 | 8 |
| GW_DELAY | Groundwater delay (days) | v | 0–500 | 181–272 | 0.533 | −0.623 | 9 |
| SOL_BD | Saturated hydraulic conductivity of first layer | r | −0.1–1.0 | −0.005–0.183 | 0.551 | 0.596 | 10 |
| SURLAG | Surface runoff lag coefficient (day) | v | 0.0–24 | 2.68–23.04 | 0.787 | 0.272 | 11 |
| SOL_AWC | Soil water available capacity | r | −0.1–1.0 | −0.061–0.357 | 0.796 | 0.257 | 12 |
| SOL_K | Saturated hydraulic conductivity (mm/h) | r | −0.1–1.0 | −0.011–0.027 | 0.803 | −0.248 | 13 |
| SOL_Z | Depth from the soil surface to layer bottom | r | −0.1–1.0 | −0.03–0.021 | 0.842 | −0.198 | 14 |
| Data | RMSE | Bias | R | p-Value | N | |
|---|---|---|---|---|---|---|
| Measurement | SWAT | 0.046 | 0.012 | 0.000 | 703 | |
| SMAP | 0.052 | −0.035 | 0.000 | 703 | ||
| SWAT | SMAP | 0.106 | −0.096 | 0.000 | 703 | |
| RCM | T Mean (°C) | Precipitation (%) | Solar Radiation (%) | Humidity (%) | ||||
|---|---|---|---|---|---|---|---|---|
| 50 s | 80 s | 50 s | 80 s | 50 s | 80 s | 50 s | 80 s | |
| CanESM2.CanRCM4 | 2.82 | 4.54 | 8.31 | 5.53 | 2.67 | −0.86 | −2.79 | −1.54 |
| CanESM2.CRCM5 | 3.00 | 4.83 | −2.65 | −7.4 | 0.48 | −2.42 | −5.1 | −4.62 |
| GEMatm-Can.CRCM5 | 2.34 | 3.75 | 12.77 | 10.5 | 1.34 | −2.67 | −0.42 | 1.79 |
| GEMatm-MPI.CRCM5 | 1.41 | 2.52 | 13.06 | 39.16 | −1.21 | −1.38 | −0.32 | 0.31 |
| GFDL-ESM2M.RegCM4 | 2.33 | 2.86 | 3.33 | 0.44 | 4.54 | −3.38 | −3.69 | −2.59 |
| GFDL-ESM2M.WRF | 2.11 | 2.88 | 13.56 | 20.41 | 3.22 | −4 | −0.99 | 2.33 |
| HadGEM2-ES.WRF | 1.75 | 3.6 | 23.87 | 11.57 | −0.43 | 0.07 | 1.79 | −1.33 |
| MPI-ESM-LR.CRCM5 | 2.37 | 3.15 | 2.61 | 7.51 | 1.23 | 1.23 | −6.24 | −2.06 |
| MPI-ESM-LR.RegCM4 | 1.58 | 3.02 | 9.01 | 9.34 | 0.41 | 1.05 | −3.84 | −3.18 |
| MPI-ESM-LR.WRF | 2.01 | 3.12 | 16.97 | 15.24 | 2.87 | −3.94 | −3.74 | 0.91 |
| MPI-ESM-MR.CRCM5 | 1.60 | 2.61 | 8.68 | 11.46 | −0.7 | −1.96 | −1.66 | −0.02 |
Publisher’s Note: MDPI stays neutral with regard to jurisdictional claims in published maps and institutional affiliations. |
© 2022 by the authors. Licensee MDPI, Basel, Switzerland. This article is an open access article distributed under the terms and conditions of the Creative Commons Attribution (CC BY) license (https://creativecommons.org/licenses/by/4.0/).
Share and Cite
Zare, M.; Azam, S.; Sauchyn, D. Impact of Climate Change on Soil Water Content in Southern Saskatchewan, Canada. Water 2022, 14, 1920. https://doi.org/10.3390/w14121920
Zare M, Azam S, Sauchyn D. Impact of Climate Change on Soil Water Content in Southern Saskatchewan, Canada. Water. 2022; 14(12):1920. https://doi.org/10.3390/w14121920
Chicago/Turabian StyleZare, Mohammad, Shahid Azam, and David Sauchyn. 2022. "Impact of Climate Change on Soil Water Content in Southern Saskatchewan, Canada" Water 14, no. 12: 1920. https://doi.org/10.3390/w14121920
APA StyleZare, M., Azam, S., & Sauchyn, D. (2022). Impact of Climate Change on Soil Water Content in Southern Saskatchewan, Canada. Water, 14(12), 1920. https://doi.org/10.3390/w14121920

