Placed Riprap Deformation Related to Axial Load at Toe Support: Physical Modelling
Abstract
:1. Introduction
2. Experimental Set-Up and Methodology
2.1. Model
2.2. Overtopping Procedure
2.3. Measuring Devices and Data Acquisition
3. Data Analysis
3.1. Axial Reaction Loads at Riprap Toe
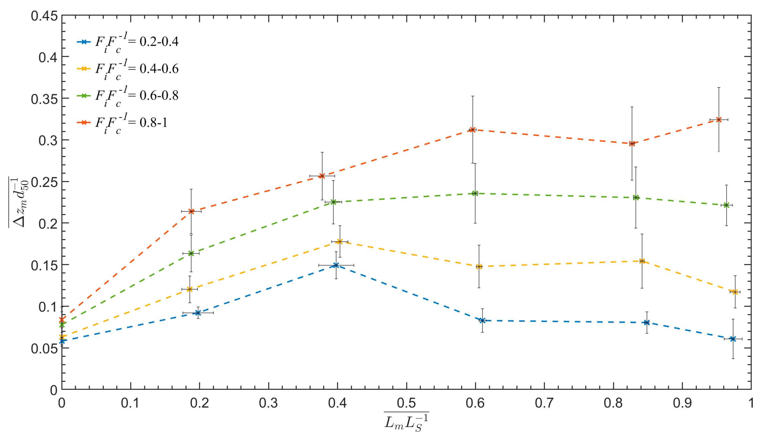
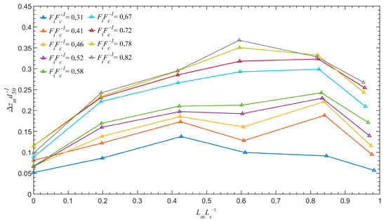
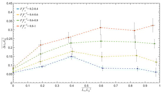
3.2. 1D Stone Displacements According to Axial Reaction Loads
3.3. 2D Stone Displacements According to Axial Reaction Loads
3.4. Scaling for Full Scale Dam According to NVE Recommendations
4. Discussion
4.1. Axial Reaction Loads at Riprap Toe
4.2. Deformation Behavior Related to Buckling Process
4.3. Recommendations and Limitations
5. Conclusions
Author Contributions
Funding
Institutional Review Board Statement
Informed Consent Statement
Data Availability Statement
Acknowledgments
Conflicts of Interest
References
- Abt, S.R.; Thornton, C.I.; Scholl, B.A.; Bender, T.R. Evaluation of overtopping riprap design relationships. J. Am. Water Resour. Assoc. 2013, 49, 923–937. [Google Scholar] [CrossRef]
- Hiller, P.H.; Aberle, J.; Lia, L. Displacements as failure origin of placed riprap on steep slopes. J. Hydraul. Res. 2018, 56, 141–155. [Google Scholar] [CrossRef] [Green Version]
- Johnson, E.B.; Testik, F.Y.; Ravichandran, N.; Schooler, J. Levee scour from overtopping storm waves and scour counter measures. Ocean. Eng. 2013, 57, 72–82. [Google Scholar] [CrossRef]
- Najafzadeh, M.; Rezaie-Balf, M.; Tafarojnoruz, A. Prediction of riprap stone size under overtopping flow using data-driven models. Int. J. River Basin Manag. 2018, 16, 505–512. [Google Scholar] [CrossRef]
- Siebel, R. Experimental investigations on the stability of riprap layers on overtoppable earthdams. Environ. Fluid Mech. 2007, 7, 455–467. [Google Scholar] [CrossRef]
- Jandora, J.; Říha, J. The Failure of Embankment Dams Due to Overtopping; Vutium: Brno, Czec Republic, 2008. [Google Scholar]
- Ravindra, G.H.; Gronz, O.; Dost, J.B.; Sigtryggsdóttir, F.G. Description of failure mechanism in placed riprap on steep slope with unsupported toe using smartstone probes. Eng. Struct. 2020, 221, 111038. [Google Scholar] [CrossRef]
- Abt, S.R.; Thornton, C.I. Riprap Design for Overtopping—Man Do I Need a Martini! World Environ. Water Resour. Congr. 2014, 191–1198. [Google Scholar]
- Olivier, H. Through and Overflow Rockfill Dams-New Design Techniques. Proc. Inst. Civ. Eng. 1967, 36, 433–471. [Google Scholar] [CrossRef]
- Stephenson, D.J. Rockfill in Hydraulic Engineering; Elsevier: Amsterdam, The Netherlands, 1979. [Google Scholar]
- Abt, S.R.; Johnson, T.L. Riprap design for overtopping flow. J. Hydraul. Eng. 1991, 117, 959–972. [Google Scholar] [CrossRef]
- Khan, D.; Ahmad, Z. Stabilization of Angular-Shaped Riprap under Overtopping Flows. World Academy of Science, Engineering and Technology. Int. J. Civ. Environ. Struct. Constr. Archit. Enfineering 2011, 5, 550–554. [Google Scholar]
- Najafzadeh, M.; Oliveto, G. Riprap incipient motion for overtopping flows with machine learning models. J. Hydroinformatics 2020, 22, 749–767. [Google Scholar] [CrossRef]
- Ravindra, G.H.R. Hydraulic and Structural Evaluation of Rockfill Dam Behavior When Exposed to Throughflow and Overtopping Scenarios. Ph.D. Thesis, Norwegian University of Science and Technology, Trondheim, Norway, 2020. [Google Scholar]
- Knauss, J. Computation of maximum discharge at overflow rockfill dams (a comparison of different model test results). In 13th Congress on Large Dams; International Comission on Large Dams: New Delhi, India, 1979; Volume Q50, pp. 143–159. [Google Scholar]
- Larsen, P.; Bernhart, H.H.; Schenk, E.; Blinde, A.; Brauns, J.; Degen, F.P. Uberstrombare Damme, Hochwasserentlastung Uber Dammscharten/Overtoppable Dams, Spillways over Dam Notches. Prepared for Regierungsprasidium Karlsruhe, Universita. Unpublished Report. 1986. [Google Scholar]
- Sommer, P. Uberstrombare Deckwerke/Overtoppable Erosion Protections. No. DFG-Forschungsbericht La 529/8-1, Universit. Unpublished Report. 1997. [Google Scholar]
- Dornack, S. Uberstrombare Damme-Beitrag zur Bemessung von Deckwerken aus Bruchsteinen/ Overtopping Dams-Design Criteria for Riprap. Ph.D. Thesis, Technische Universitat Dresden, Dresden, Germany, 2001. [Google Scholar]
- Peirson, W.L.; Jens, F.; Steven, E.P.; Ronald, J.C. Placed Rock as Protection against Erosion by Flow down Steep Slopes. J. Hydraul. Eng. 2008, 134, 1370–1375. [Google Scholar] [CrossRef]
- Ravindra, G.H.; Sigtryggsdottir, F.G.; Lia, L. Buckling analogy for 2D deformation of placed ripraps exposed to overtopping. J. Hydraul. Res. 2021, 59, 109–119. [Google Scholar] [CrossRef]
- NVE. Veileder for fyllingsdammer. Report n. 4/2012. Nor. Water Resour. Energy Dir. 2012, 21–25. Available online: https://publikasjoner.nve.no/veileder/2012/veileder2012_04.pdf (accessed on 23 April 2022).
- Bunte, K.; Abt, S.R. Sampling Surface and Subsurface Particle-Size Distributions in Wadable Gravel and Cobble-Bed Streams for Analyses in Sediment Transport, Hydraulics, and Streambed Monitoring; US Department of Agriculture, Forest Service, Rocky Mountain Research Station: Fort Collins, CO, USA, 2001. [Google Scholar]
- Lia, L.; Vartdal, E.A.; Skoglund, M.; Campos, H.E. Riprap protection of downstream slopes of rockfill dams-a measure to increase safety in an unpredictable future climate. In Proceedings of the European Club Symposium of the International Comission on Large Dams, Venice, Italy, 10–12 April 2013. [Google Scholar]
- Khor, H.C. Mechanical and Structural Properties of Interlocking Assemblies. Ph.D. Dissertation, University of Western Australia, Perth, Australia, 2008. [Google Scholar]
- Ravindra, G.H.; Sigtryggsdottir, F.G.; Asbølmo, M.F.; Lia, L. Toe support conditions for placed ripraps on rockfill dams-A field survey. Vann 2019, 3, 185–199. [Google Scholar]
- Kiplesund, G.H.; Ravindra, G.H.; Rokstad, M.M.; Sigtryggsdóttir, F.G. Effects of toe configuration on throughflow properties of rockfill dams. J. Appl. Water Eng. Res. 2021, 9, 277–292. [Google Scholar] [CrossRef]












| Test | qi (l.s−1) | Pc | qc (l.s−1) |
|---|---|---|---|
| A | 50–225 | 0.58 | 225 |
| B | 50–325 | 0.56 | 325 |
| C | 50–200 | 0.53 | 200 |
| D | 65–350 | 0.53 | 350 |
| E | 50–150 | 0.56 | 150 |
| Test A | Test B | Test C | Test D | Test E | |
|---|---|---|---|---|---|
| qc(l.s−1) | 225 | 325 | 200 | 350 | 150 |
| Frs | 5.89 | 8.5 | 5.23 | 9.16 | 3.93 |
| Fc(N) | 755 | 924 | 645 | 1040 | 812 |
| Class 1 | Class 2 | Class 3 | Class 4 | |
|---|---|---|---|---|
| Design discharge (m3.s−1.m−1) | 0.3 | 0.5 | 0.5 | 0.7 |
| Dmin(m) (NVE) | 0.33 | 0.49 | 0.49 | 0.64 |
| Sf | 15.53 | 28.11 | 28.11 | 41.96 |
| Class 1 | 3.48 | 5.03 | 3.09 | 5.41 | 2.32 | 3.87 | 1.17 |
| Class 2 | 6.33 | 9.14 | 5.62 | 9.84 | 4.22 | 7.03 | 2.13 |
| Class 3 | 6.33 | 9.14 | 5.62 | 9.84 | 4.22 | 7.03 | 2.13 |
| Class 4 | 9.44 | 13.64 | 8.39 | 14.69 | 6.29 | 10.49 | 3.18 |
| Class 1 | Class 2 | Class 3 | Class 4 | |
|---|---|---|---|---|
| Placed riprap with fixed toe support | 12.89 | 14.06 | 14.06 | 14.99 |
| Placed riprap unsupported at the toe [7] | 2.8 | 3 | 3 | 3.2 |
| Class 1 | 181 × 103 | 221 × 103 | 154 × 103 | 249 × 103 | 194 × 103 | 200 × 103 | 33 × 103 |
| Class 2 | 598 × 103 | 731 × 103 | 510 × 103 | 823 × 103 | 643 × 103 | 661 × 103 | 108 × 103 |
| Class 3 | 598 × 103 | 731 × 103 | 510 × 103 | 823 × 103 | 643 × 103 | 661 × 103 | 108 × 103 |
| Class 4 | 1329 × 103 | 1627 × 103 | 1136 × 103 | 1831 × 103 | 1430 × 103 | 1471 × 103 | 240 × 103 |
Publisher’s Note: MDPI stays neutral with regard to jurisdictional claims in published maps and institutional affiliations. |
© 2022 by the authors. Licensee MDPI, Basel, Switzerland. This article is an open access article distributed under the terms and conditions of the Creative Commons Attribution (CC BY) license (https://creativecommons.org/licenses/by/4.0/).
Share and Cite
Dezert, T.; Ravindra, G.H.R.; Sigtryggsdóttir, F.G. Placed Riprap Deformation Related to Axial Load at Toe Support: Physical Modelling. Water 2022, 14, 1581. https://doi.org/10.3390/w14101581
Dezert T, Ravindra GHR, Sigtryggsdóttir FG. Placed Riprap Deformation Related to Axial Load at Toe Support: Physical Modelling. Water. 2022; 14(10):1581. https://doi.org/10.3390/w14101581
Chicago/Turabian StyleDezert, Théo, Ganesh Hiriyanna Rao Ravindra, and Fjóla Guðrún Sigtryggsdóttir. 2022. "Placed Riprap Deformation Related to Axial Load at Toe Support: Physical Modelling" Water 14, no. 10: 1581. https://doi.org/10.3390/w14101581
APA StyleDezert, T., Ravindra, G. H. R., & Sigtryggsdóttir, F. G. (2022). Placed Riprap Deformation Related to Axial Load at Toe Support: Physical Modelling. Water, 14(10), 1581. https://doi.org/10.3390/w14101581

