Transient Process of Pumped Storage System Coupling Gas–Liquid Interface: Novel Mathematical Model and Experimental Verification
Abstract
:1. Introduction
2. Mathematical Model
2.1. Basic Equation and Solution Method for Unsteady Gas Flow
- , where v is flow velocity (m/s).
- The wave velocity can be determined by using the state equation ; where ρ is the gas density (kg/m3), λ is the compressibility coefficient, R is the gas constant (m2/(s2·K)) and T is the absolute temperature (K).
- When the axis rises up along the direction of +x, θ, the included angle between the axis of the pipeline and the horizontal plane, takes a positive value.
- The default values of the parameters are: B = 340 m/s, α = 1, f = 0.015, ρ = 1.205 kg/m3, p0 = 101,325 Pa.
2.2. Basic Equation and Solution Method for Unsteady Liquid Flow
2.3. Gas–liquid Coupling Interface and Recursive Equations
3. Boundary Conditions
3.1. Unit Load Rejection
3.2. The Intake Gate Closure
- The intake gate is fully opened.
- 2.
- The intake gate is closing.
- Subsonic air flow in:
- Critical flow in:
- Subsonic air flow out:
- Critical flow out:
- 3.
- The inlet gate is fully closed.
3.3. Connecting Pipes
4. A Novel Analytical Model and Verification
4.1. Analysis of Numerical Simulation
4.2. Model Verification
5. Influence Mechanism of Gas–liquid Interface Coupling on Hydraulic Transient Process
5.1. Scenario1: Quitting Runaway Operations with Quick Closure of the Intake Gate
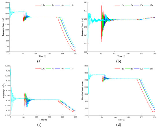
5.1.1. Analysis of Interval Time of Intake Gate Closing
5.1.2. Analysis of Closing Time of Intake Gate
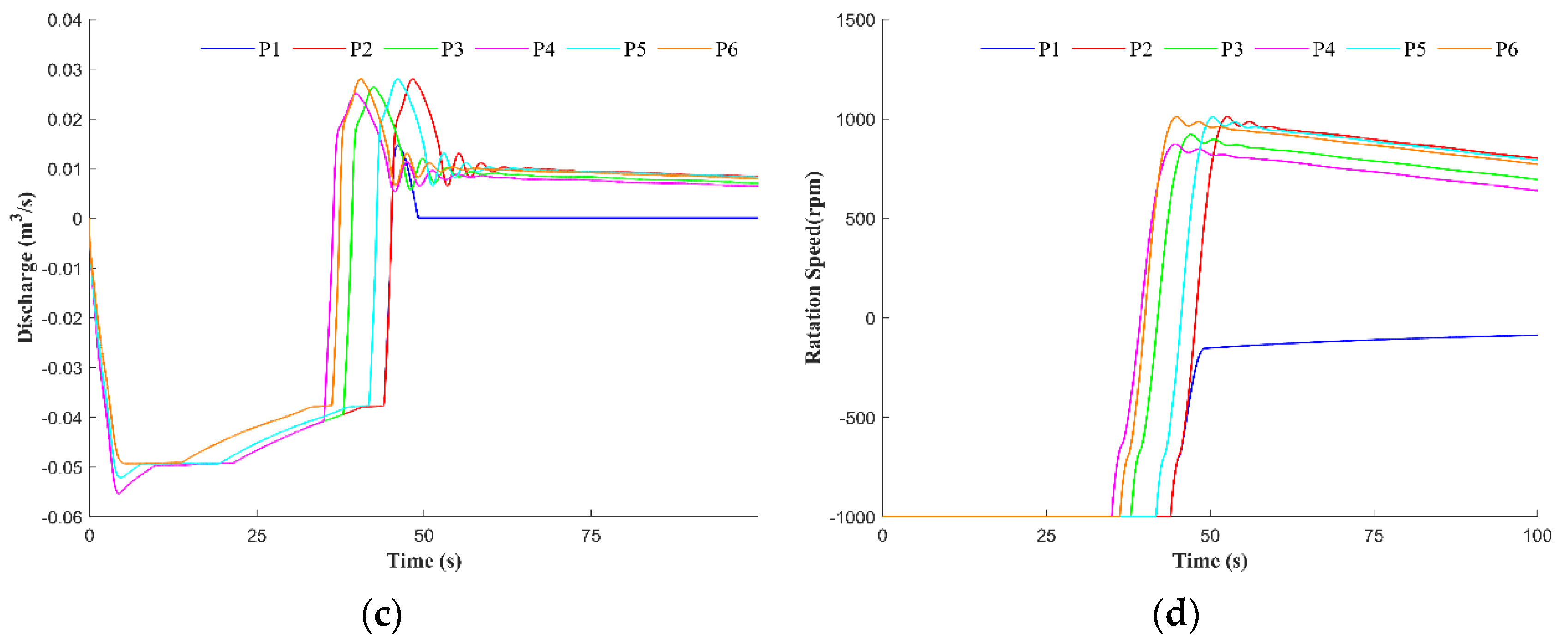
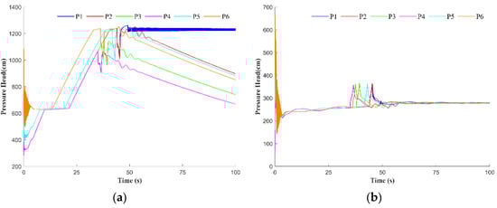
5.2. Scenario2: Pump Failure after Low-Head Startup
6. Conclusions
- (1)
- The novel mathematical model could be used to accurately simulate the position of the gas–liquid coupling surface and the characteristic parameters in a gas–liquid two-phase transient process. The average relative error was about 7.2%.
- (2)
- The influence mechanism of the gas–liquid coupling interface on the hydraulic transient process depended on the pipeline layout. The change speed of the spiral case pressure, unit discharge and unit speed were positively correlated with the slope of the pipeline where the gas–liquid coupling surface was located.
- (3)
- Under the quitting of runaway operations with a quick closure of the intake gate condition, the gate closing interval time and gate closing time did not affect the change trend of parameters, but the appropriate gate closing interval time could reduce the time for quitting the runaway condition. Under the pump failure after low-head startup condition, the maximum pumping discharge was negatively correlated with startup water level. The maximum reversal discharge and the maximum reversal speed after pump failure were positively correlated with the pump failure water level. Meanwhile, the state of guide vanes after a pump failure had a great influence on the reverse discharge and the reverse speed.
Author Contributions
Funding
Institutional Review Board Statement
Informed Consent Statement
Data Availability Statement
Conflicts of Interest
References
- Wylie, E.B.; Streeter, V.L. Fluid Transients in Systems; Prentice-Hall: Englewood Cliffs, NJ, USA, 1993. [Google Scholar]
- Chaudhry, H.M. Applied Hydraulic Transients; Van Nostrand Reinhold: New York, NY, USA, 1987. [Google Scholar]
- Larock, B.E.; Jeppson, R.W.; Watters, G.Z. Hydraulics of Pipeline Systems; Crc Press: Boca Raton, FL, USA, 1999. [Google Scholar]
- Holly, F.M.; Preissmann, A. Accurate Calculation of Transport in Two Dimensions. J. Hydraulic. Div. Proc. ASCE 1977, 103, 1259–1277. [Google Scholar] [CrossRef]
- Zhao, Z.G.; Yang, J.D.; Yang, W.J.; Hu, J.H.; Chen, M. A coordinated optimization framework for flexible operation of pumped storage hydropower system: Nonlinear modeling, strategy optimization and decision making. Energy Convers. Manag. 2019, 194, 75–93. [Google Scholar] [CrossRef]
- Zhao, Z.G.; Yang, J.D.; Chung, C.Y.; Yang, W.J.; He, X.H.; Chen, M. Performance enhancement of pumped storage units for system frequency support based on a novel small signal model. Energy 2021, 234, 121207. [Google Scholar] [CrossRef]
- Chaudhry, M.H.; Hussaini, M.Y. Second-Order Accurate Explicit Finite-Difference Schemes for Waterhammer Analysis. J. Fluids Eng. 1985, 107, 523–529. [Google Scholar] [CrossRef]
- Ghidaoui, M.S.; Zhao, M.; McInnis, D.A.; Axworthy, D.H. A Review of Water Hammer Theory and Practice. Appl. Mech. Rev. 2005, 58, 49–76. [Google Scholar] [CrossRef]
- Guinot, V. Riemann solvers for water hammer simulations using Godunov Method. Int. J. Numer. Methods Eng. 2000, 49, 851–870. [Google Scholar] [CrossRef]
- Hwang, Y.-H.; Chung, N.-M. A fast Godunov method for the water-hammer problem. Int. J. Numer. Methods Fluids 2002, 40, 799–819. [Google Scholar] [CrossRef]
- Zhao, M.; Ghidaoui, M.S. Godunov-type solutions for water hammer flows. J. Hydraul. Eng. 2004, 130, 341–348. [Google Scholar] [CrossRef]
- Sabbagh-Yazdi, S.R.; Mastorakis, N.E. Water Hammer Modeling by Godunov type Finite Volume Method. Int. J. Math. Comput. Simul. 2007, 1, 350–355. [Google Scholar]
- Streeter, V.L.; Wylie, E.B. Fluid Transients; McGraw-Hill: New York, NY, USA, 1978. [Google Scholar]
- Osiadacz, A. Simulation and Analysis of Gas Networks; Gulf Publishing Company: Houston, TX, USA, 1987. [Google Scholar]
- Ke, S.L.; Ti, H.C. Transient analysis of isothermal gas flow in pipeline network. Chem. Eng. J. 2000, 76, 169–177. [Google Scholar] [CrossRef]
- Thorley, A.R.D.; Tiley, C.H. Unsteady and transient flow of compressible fluids in pipelines—A review of theoretical and some experimental studies. Int. J. Heat Fluid Flow 1987, 8, 3–15. [Google Scholar] [CrossRef]
- Kessal, M. Simplified Numerical Simulation of Transients in Gas Networks. Chem. Eng. Res. Des. 2000, 78, 925–931. [Google Scholar] [CrossRef] [Green Version]
- Ibraheem, S.O.; Adewumi, M.A. On Total Variation Diminishing Schemes for Pressure Transients. J. Energy Resour. Technol. 1999, 121, 122–130. [Google Scholar] [CrossRef]
- Zhou, J.; Adewumi, M.A. Simulation of transients in natural gas pipelines using hybrid TVD schemes. Int. J. Numer. Methods Fluids 2000, 32, 407–437. [Google Scholar] [CrossRef]
- Wang, Q.; Zhang, X.; Zhang, K.; Yu, B. Gas-Liquid Two-Phase Flow Numerical Simulation of Undulating Pipelines. J. Beijing Inst. Petrochem. Technol. 2018, 26, 26–30. [Google Scholar]
- Zhang, Y.; Vairavamoorthy, K. Application of Method-of-Lines to Charging-Up Process in Pipelines with Entrapped Air. Tsinghua Sci. Technol. 2006, 11, 324–331. [Google Scholar] [CrossRef]
- Zhang, Y.; Vairavamoorthy, K. Transient Flow in Rapidly Filling Air-Entrapped Pipelines with Moving Boundaries. Tsinghua Sci. Technol. 2006, 11, 313–323. [Google Scholar] [CrossRef]
- Liu, D.; Zhou, L.; Karney, B.; Zhang, Q.; Ou, C. Rigid-plug elastic-water model for transient pipe flow with entrapped air pocket. J. Hydraul. Res. 2011, 49, 799–803. [Google Scholar] [CrossRef]
- Wang, L.; Wang, F.; Karney, B.; Malekpour, A. Numerical investigation of rapid filling in bypass pipelines. J. Hydraul. Res. 2017, 55, 647–656. [Google Scholar] [CrossRef]
- Wang, L.; Wang, F.-J.; Huang, J. Numerical investigation of filling transients in small-scale pipelines with submerged outlet. J. Hydrodyn. 2019, 31, 145–151. [Google Scholar] [CrossRef]
- Guo, W.; Yang, J.; Chen, J.; Teng, Y. Effect Mechanism of Penstock on Stability and Regulation Quality of Turbine Regulating System. Math. Probl. Eng. 2014, 2014, 349086. [Google Scholar] [CrossRef] [Green Version]
- Lyn, D.A.; Goodwin, P. Stability of a General Preissmann Scheme. J. Hydraul. Eng.-ASCE 1987, 113, 16–28. [Google Scholar] [CrossRef]
- Wang, C.; Yang, J.D. Water Hammer Simulation Using Explicit-Implicit Coupling Methods. J. Hydraul. Eng. 2015, 141, 04014086. [Google Scholar] [CrossRef]
- Vasconcelos, J.; Wright, S. Applications and Limitations of Single-Phase Models to the Description of the Rapid Filling Pipe Problem. J. Water Manag. Modeling 2005, 13, 377–408. [Google Scholar] [CrossRef]
















| Pipe No. | Length (m) | Equivalent Diameter (m) | Starting Point Elevation (m) | End Point Elevation (m) | Pipe No. | Length (m) | Equivalent Diameter (m) | Starting Point Elevation (m) | End Point Elevation (m) |
|---|---|---|---|---|---|---|---|---|---|
| L1 | 2.218 | 0.715 | 13.542 | 13.542 | L10 | 0.276 | 0.15 | 1.181 | 1.181 |
| L2 | 2.132 | 0.377 | 13.542 | 13.46 | L11 | 1.2096 | 0.15 | 1.181 | 1.181 |
| L3 | 7.9786 | 0.35 | 13.308 | 7.425 | L12 | 1.796 | 0.216 | 1.112 | 0.694 |
| L4 | 6.0473 | 0.35 | 7.425 | 7.304 | L13 | 2.777 | 0.3 | 0.694 | 0.694 |
| L5 | 8.0821 | 0.35 | 7.304 | 1.349 | L14 | 1.421 | 0.368 | 0.694 | 0.751 |
| L6 | 1.457 | 0.3 | 1.349 | 1.232 | L15 | 17.624 | 0.426 | 0.751 | 2.296 |
| L7 | 1.007 | 0.2 | 1.232 | 1.181 | L16 | 0.801 | 0.429 | 2.296 | 2.296 |
| L8 | 0.5113 | 0.178 | 1.181 | 1.181 | L17 | 2.218 | 0.735 | 2.296 | 2.296 |
| L9 | 0.389 | 0.15 | 1.181 | 1.181 |
| Comparative Item | The Valley of Spiral Case Pressure (cm) | Maximum Draft Tube Inlet Pressure (cm) | Unit Discharge Extremum (m3/s) | Maximum Rotational Speed (rpm) | |
|---|---|---|---|---|---|
| Positive | Negative | ||||
| Experimental data | 849.48 | 380.597 | 0.0286 | −0.0556 | 908.314 |
| Numerical results | 777.33 | 362.025 | 0.0242 | −0.0538 | 870.175 |
| Relative error (%) | 8.49 | 4.88 | 15.38 | 3.24 | 4.20 |
| Comparison Items | The Novel Model | The MOC Method | Three-Dimensional Numerical Simulation |
|---|---|---|---|
| Gas–liquid two-phase transient process? | Yes | No | Yes |
| Simulation time | Minutes | / | Days |
| Simulation accuracy | High accuracy and small simulation step | / | High accuracy |
| Internal flow pattern | No | No | Yes |
| Condition Number | Startup Water Level (m) | Downstream Water Level (m) | Guide Vane Opening Time (s) | Pump Failure Water Level (s) | Guide Vane State after Pump Failure |
|---|---|---|---|---|---|
| P1 | 4.0 | 3.85 | 5 | 13.49 | Closes normally |
| P2 | 4.0 | 3.85 | 5 | 13.49 | Fails to close |
| P3 | 4.0 | 3.85 | 5 | 12.63 | Fails to close |
| P4 | 4.0 | 3.85 | 5 | 11.78 | Fails to close |
| P5 | 5.2 | 3.85 | 5 | 13.49 | Fails to close |
| P6 | 7.3 | 3.85 | 5 | 13.49 | Fails to close |
| Condition Number | The Valley of Spiral Case Pressure (cm)/Time (s) | Maximum Draft Tube Inlet Pressure (cm)/Time (s) | Unit Discharge Extremum | Maximum Rotational Speed (rpm) /Time (s) | |
|---|---|---|---|---|---|
| Positive (m3/s) /Time (s) | Negative (m3/s) /Time (s) | ||||
| P1 | 1028.76/45.31 | 347.77/45.34 | 0.0146/46.01 | −0.0554/4.34 | −16.63/100 |
| P2 | 1005.37/46.24 | 351.96/45.26 | 0.028/48.28 | −0.0554/4.34 | 1010.71/52.67 |
| P3 | 961.06/39.31 | 364.35/39.31 | 0.0264/42.47 | −0.0554/4.34 | 921.52/47.05 |
| P4 | 901.06/36.52 | 344.42/36.52 | 0.0251/39.84 | −0.0554/4.34 | 872.79/44.65 |
| P5 | 1005.22/43.00 | 362.43/43.01 | 0.028/46.03 | −0.052/4.61 | 1009.71/50.41 |
| P6 | 1004.76/37.47 | 348.42/37.5 | 0.028/40.52 | −0.0494/5.61 | 1010.15/44.90 |
Publisher’s Note: MDPI stays neutral with regard to jurisdictional claims in published maps and institutional affiliations. |
© 2021 by the authors. Licensee MDPI, Basel, Switzerland. This article is an open access article distributed under the terms and conditions of the Creative Commons Attribution (CC BY) license (https://creativecommons.org/licenses/by/4.0/).
Share and Cite
Liu, C.; Peng, T.; Yang, J.; Zhao, Z.; Yang, J. Transient Process of Pumped Storage System Coupling Gas–Liquid Interface: Novel Mathematical Model and Experimental Verification. Water 2021, 13, 2933. https://doi.org/10.3390/w13202933
Liu C, Peng T, Yang J, Zhao Z, Yang J. Transient Process of Pumped Storage System Coupling Gas–Liquid Interface: Novel Mathematical Model and Experimental Verification. Water. 2021; 13(20):2933. https://doi.org/10.3390/w13202933
Chicago/Turabian StyleLiu, Chengpeng, Tao Peng, Jiebin Yang, Zhigao Zhao, and Jiandong Yang. 2021. "Transient Process of Pumped Storage System Coupling Gas–Liquid Interface: Novel Mathematical Model and Experimental Verification" Water 13, no. 20: 2933. https://doi.org/10.3390/w13202933
APA StyleLiu, C., Peng, T., Yang, J., Zhao, Z., & Yang, J. (2021). Transient Process of Pumped Storage System Coupling Gas–Liquid Interface: Novel Mathematical Model and Experimental Verification. Water, 13(20), 2933. https://doi.org/10.3390/w13202933

