Integrated Geospatial Analysis and Hydrological Modeling for Peak Flow and Volume Simulation in Rwanda
Abstract
:1. Introduction
2. Dataset and Methods
2.1. Catchment Description
2.2. Data Collection and Processing
2.3. HEC-HMS Model Description and Catchment Delineation
2.4. Parameter Estimation in HEC-HMS and Methods
2.4.1. The Loss Method
2.4.2. Transform Method
2.4.3. Routing Method
2.5. Calibration and Validation
2.6. Performance Evaluation
3. Results and Discussion
3.1. Physiographical Attributes of the Delineated Catchment
3.2. Hydrological Response of the Catchment under Rainfall Events
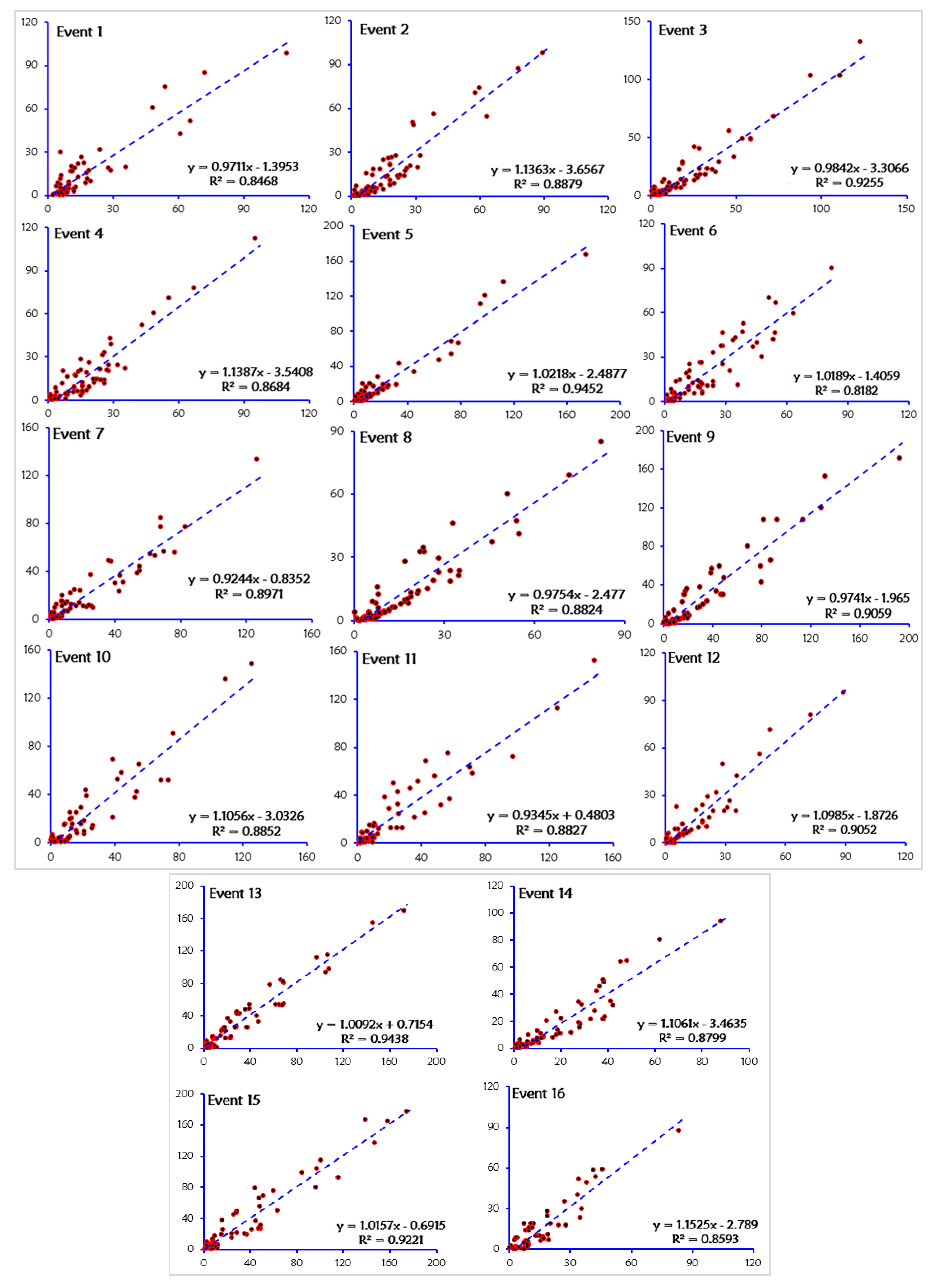
3.2.1. Calibration and Optimization
3.2.2. Sensitivity Analysis of Parameters
3.2.3. Validation
3.3. Statistical Tests for Accuracy and Performance of the Model
4. Conclusions
Supplementary Materials
Author Contributions
Funding
Acknowledgments
Conflicts of Interest
References
- Tabari, H. Climate change impact on flood and extreme precipitation increases with water availability. Sci. Rep. 2020, 10, 1–10. [Google Scholar] [CrossRef] [PubMed]
- Vondou, D.A.; Guenang, G.M.; Djiotang, T.L.A.; Kamsu-Tamo, P.H. Trends and Interannual Variability of Extreme Rainfall Indices over Cameroon. Sustainability 2021, 13, 6803. [Google Scholar] [CrossRef]
- Zafar, S.; Zaidi, A. Impact of urbanization on basin hydrology: A case study of the Malir Basin, Karachi, Pakistan. Reg. Environ. Chang. 2019, 19, 1815–1827. [Google Scholar] [CrossRef]
- Feng, B.; Zhang, Y.; Bourke, R. Urbanization impacts on flood risks based on urban growth data and coupled flood models. Nat. Hazards 2021, 106, 613–627. [Google Scholar] [CrossRef]
- Teklay, A.; Dile, Y.T.; Asfaw, D.H.; Bayabil, H.K.; Sisay, K. Impacts of Climate and Land Use Change on Hydrological Response in Gumara Watershed, Ethiopia. Ecohydrol. Hydrobiol. 2021, 21, 315–332. [Google Scholar] [CrossRef]
- Ma, D.; Qian, B.; Gu, H.; Sun, Z.; Xu, Y.P. Assessing climate change impacts on streamflow and sediment load in the upstream of the Mekong River basin. Int. J. Climatol. 2021, 41, 3391–3410. [Google Scholar] [CrossRef]
- Kumari, N.; Srivastava, A.; Sahoo, B.; Raghuwanshi, N.S.; Bretreger, D. Identification of suitable hydrological models for streamflow assessment in the Kangsabati River Basin, India, by using different model selection scores. Nat. Resour. Res. 2021, 1–19. [Google Scholar] [CrossRef]
- Mesta, B.; Akgun, O.B.; Kentel, E. Alternative solutions for long missing streamflow data for sustainable water resources management. Int. J. Water Resour. Dev. 2021, 37, 882–905. [Google Scholar] [CrossRef]
- Tassew, B.G.; Belete, M.A.; Miegel, K. Application of HEC-HMS model for flow simulation in the lake tana basin: The case of gilgel abay catchment, upper blue nile basin, Ethiopia. Hydrology 2019, 6, 21. [Google Scholar] [CrossRef]
- Tikhamarine, Y.; Souag-Gamane, D.; Ahmed, A.N.; Sammen, S.S.; Kisi, O.; Huang, Y.F.; El-Shafie, A. Rainfall-runoff modelling using improved machine learning methods: Harris hawks optimizer vs. particle swarm optimization. J. Hydrol. 2020, 589, 125133. [Google Scholar] [CrossRef]
- Dhital, Y.P.; Dawadi, B.; Kattel, D.B.; Devkota, K.C. Rainfall-runoff Simulation of Bagmati River Basin, Nepal. Jalawaayu 2021, 1, 61–71. [Google Scholar] [CrossRef]
- Brodie, I. An evaluation of a multi-day rainfall–runoff volume–peak discharge transform for flood frequency estimation. Australas. J. Water Resour. 2020, 24, 167–182. [Google Scholar] [CrossRef]
- Otim, D.; Smithers, J.; Senzanje, A.; van Antwerpen, R. Verification of runoff volume, peak discharge and sediment yield simulated using the ACRU model for bare fallow and sugarcane fields. Water SA 2020, 46, 182–196. [Google Scholar]
- Farrag, M.; Perez, G.C.; Solomatine, D. Spatio-Temporal Hydrological Model Structure and Parametrization Analysis. J. Mar. Sci. Eng. 2021, 9, 467. [Google Scholar] [CrossRef]
- Said, M.; Hyandye, C.; Mjemah, I.C.; Komakech, H.C.; Munishi, L.K. Evaluation and Prediction of the Impacts of Land Cover Changes on Hydrological Processes in Data Constrained Southern Slopes of Kilimanjaro, Tanzania. Earth 2021, 2, 225–247. [Google Scholar] [CrossRef]
- Fasipe, O.; Izinyon, O. Exponent determination in a poorly gauged basin system in Nigeria based on flow characteristics investigation and regionalization method. SN Appl. Sci. 2021, 3, 1–20. [Google Scholar] [CrossRef]
- Valles, J.; Corzo, G.; Solomatine, D. Impact of the Mean Areal Rainfall Calculation on a Modular Rainfall-Runoff Model. J. Mar. Sci. Eng. 2020, 8, 980. [Google Scholar] [CrossRef]
- Qiang, M.; Guomin, L.; Sijia, H.; Xiaoyan, Z.; Wenchuan, W.; Changjun, L. A New Generation Numerical Modelling Tool for Hydrological Simulation: Spatiotemporal-Varied-Source-Mixed Runoff Model for Small Watershed. In Proceedings of the 2021 International Conference on Control and Intelligent Robotics, Guangzhou, China, 18–20 June 2021; pp. 325–330. [Google Scholar]
- Revuelta-Acosta, J.; Flanagan, D.; Engel, B.; King, K. Improvement of the Water Erosion Prediction Project (WEPP) model for quantifying field scale subsurface drainage discharge. Agric. Water Manag. 2021, 244, 106597. [Google Scholar] [CrossRef]
- Yousuf, A.; Bhardwaj, A.; Prasad, V. Simulating the Impact of Conservation Interventions on Runoff and Sediment Yield in a Degraded Watershed Using the WEPP Model. Ecopersia 2021, 9, 191–205. [Google Scholar]
- Goudarzi, F.M.; Sarraf, A.; Ahmadi, H. Calibration of SWAT and three data-driven models for monthly stream flow simulation in Maharlu Lake Basin. Water Supply 2021. [Google Scholar] [CrossRef]
- Daneshvar, F.; Frankenberger, J.R.; Bowling, L.C.; Cherkauer, K.A.; Moraes, A.G.d.L. Development of strategy for SWAT hydrologic modeling in data-scarce regions of Peru. J. Hydrol. Eng. 2021, 26, 05021016. [Google Scholar] [CrossRef]
- Salviano, M.F.; Pereira Filho, A.J.; Vemado, F. TOPMODEL Hydrometeorological Modeling with Rain Gauge Data Integrated by High-Resolution Satellite Estimates. A Case Study in Muriaé River Basin, Brazil. Atmos. Clim. Sci. 2021, 11, 486–507. [Google Scholar]
- Beven, K.J.; Kirkby, M.J.; Freer, J.E.; Lamb, R. A history of TOPMODEL. Hydrol. Earth Syst. Sci. 2021, 25, 527–549. [Google Scholar] [CrossRef]
- Aredo, M.R.; Hatiye, S.D.; Pingale, S.M. Impact of land use/land cover change on stream flow in the Shaya catchment of Ethiopia using the MIKE SHE model. Arab. J. Geosci. 2021, 14, 114. [Google Scholar] [CrossRef]
- Zhang, J.; Zhang, M.; Song, Y.; Lai, Y. Hydrological simulation of the Jialing River Basin using the MIKE SHE model in changing climate. J. Water Clim. Chang. 2021, 12. [Google Scholar] [CrossRef]
- Gui, H.; Wu, Z.; Zhang, C. Comparative Study of Different Types of Hydrological Models Applied to Hydrological Simulation. CLEAN–Soil Air Water 2021, 2000381. [Google Scholar] [CrossRef]
- Hussain, F.; Wu, R.-S.; Yu, K.-C. Application of physically based semi-distributed HEC-HMS model for flow simulation in tributary catchments of Kaohsiung area Taiwan. J. Mar. Sci. Technol. 2021, 29, 4. [Google Scholar] [CrossRef]
- Ismail, H.; Kamal, M.R.; Hin, L.S.; Abdullah, A.F. Performance of HEC-HMS and ArcSWAT Models for Assessing Climate Change Impacts on Streamflow at Bernam River Basin in Malaysia. Pertanika J. Sci. Technol. 2020, 28, 1027–1048. [Google Scholar]
- Aliye, M.A.; Aliye, M.A.; Aga, A.O.; Tadesse, T.; Yohannes, P. Evaluating the Performance of HEC-HMS and SWAT Hydrological Models in Simulating the Rainfall-Runoff Process for Data Scarce Region of Ethiopian Rift Valley Lake Basin. Open J. Mod. Hydrol. 2020, 10, 105. [Google Scholar] [CrossRef]
- Xue, L.; Yang, F.; Yang, C.; Wei, G.; Li, W.; He, X. Hydrological simulation and uncertainty analysis using the improved TOPMODEL in the arid Manas River basin, China. Sci. Rep. 2018, 8, 452. [Google Scholar] [CrossRef] [PubMed]
- Thakur, J.K.; Singh, S.K.; Ekanthalu, V.S. Integrating remote sensing, geographic information systems and global positioning system techniques with hydrological modeling. Appl. Water Sci. 2017, 7, 1595–1608. [Google Scholar] [CrossRef]
- Maviza, A.; Ahmed, F. Climate change/variability and hydrological modelling studies in Zimbabwe: A review of progress and knowledge gaps. SN Appl. Sci. 2021, 3, 1–28. [Google Scholar] [CrossRef]
- Kumar, A.; Kanga, S.; Taloor, A.K.; Singh, S.K.; Đurin, B. Surface runoff estimation of Sind river basin using integrated SCS-CN and GIS techniques. HydroResearch 2021, 4, 61–74. [Google Scholar] [CrossRef]
- Zhou, Q.; Li, J. Geo-Spatial Analysis in Hydrology. ISPRS Int. J. Geo-Inf. 2020, 9, 435. [Google Scholar] [CrossRef]
- Khaddor, I.; Achab, M.; Hafidi Alaoui, A. Estimation of Peak Discharge in a Poorly Gauged Catchment Based on a Specified Hyetograph Model and Geomorphological Parameters: Case Study for the 23–24 October 2008 Flood, KALAYA Basin, Tangier, Morocco. Hydrology 2019, 6, 10. [Google Scholar] [CrossRef]
- Gatwaza, O.C. Impact of Urbanization on the Hydrological Cycle of Migina Catchment, Rwanda. Open Access Libr. J. 2016, 3, 1. [Google Scholar] [CrossRef]
- Paterne, N. Evaluating Drainage Systems Performance and Infiltration Enhancement Techniques as Flood Mitigation Measures in Nyabugogo Catchment, Rwanda. PAUSTI, JKUAT. 2019. Available online: http://ir.jkuat.ac.ke/bitstream/handle/123456789/4940/Niyonkuru%20Paterne-MSC%20MATHEMATICS-%202019.pdf?sequence=1&isAllowed=y (accessed on 13 February 2021).
- Manyifika, M. Diagnostic Assessment on Urban Floods Using Satellite Data and Hydrologic Models in Kigali, Rwanda; University of Twente: Enschede, The Netherland, 2015; Available online: http://essay.utwente.nl/84041/1/manyifika.pdf (accessed on 7 September 2021).
- Icyimpaye, G.; Abdelbaki, C.; Mourad, K.A. Hydrological and hydraulic model for flood forecasting in Rwanda. Model. Earth Syst. Environ. 2021, 1–11. [Google Scholar] [CrossRef]
- Ukurikiyeyezu, E. Spatial and Temporal Variability of Streamflow in Catchments Areas of Rwanda; University of Rwanda: Huye, Rwanda, 2018; Available online: http://hdl.handle.net/123456789/524 (accessed on 6 September 2021).
- Munyaneza, O.; Ufiteyezu, F.; Wali, U.; Uhlenbrook, S. A simple method to predict River flows in the agricultural Migina catchment in Rwanda. Nile Water Sci. Eng. J. 2011, 4, 24–36. [Google Scholar]
- Karamage, F.; Zhang, C.; Kayiranga, A.; Shao, H.; Fang, X.; Ndayisaba, F.; Nahayo, L.; Mupenzi, C.; Tian, G. USLE-based assessment of soil erosion by water in the Nyabarongo River Catchment, Rwanda. Int. J. Environ. Res. Public Health 2016, 13, 835. [Google Scholar] [CrossRef]
- Sendama, M.I. Assessment of Meteorological Remote Sensing Products for Stream Flow Modelling Using HBV-Light in Nyabarongo Basin, Rwanda; University of Twente: Enschede, The Netherland, 2015; Available online: http://essay.utwente.nl/84043/1/sendama.pdf (accessed on 6 September 2021).
- REMA. Rwanda State of Environment and Outlook; Government of Rwanda: Kigali, Rwanda, 2008. Available online: https://www.rema.gov.rw/soe/summary.pdf (accessed on 6 September 2021).
- Nteziyaremye, P.; Omara, T. Bioaccumulation of priority trace metals in edible muscles of West African lungfish (Protopterus annectens Owen, 1839) from Nyabarongo River, Rwanda. Cogent Environ. Sci. 2020, 6, 1779557. [Google Scholar] [CrossRef]
- Habiyakare, T.; Zhou, N. Water resources conflict management of Nyabarongo river and Kagera river watershed in Africa. J. Water Resour. Prot. 2015, 7, 889. [Google Scholar] [CrossRef]
- Sylvie, N. An Assessment of Farmers’ Willingness to Pay for the Protection of Nyabarongo River System, Rwanda; University of Nairobi: Nairobi, Kenya, 2012; Available online: https://ageconsearch.umn.edu/record/198529 (accessed on 6 September 2021).
- Mind’je, R.; Li, L.; Amanambu, A.C.; Nahayo, L.; Nsengiyumva, J.B.; Gasirabo, A.; Mindje, M. Flood susceptibility modeling and hazard perception in Rwanda. Int. J. Disaster Risk Reduct. 2019, 38, 101211. [Google Scholar] [CrossRef]
- Ndayisaba, F.; Guo, H.; Bao, A.; Guo, H.; Karamage, F.; Kayiranga, A. Understanding the spatial temporal vegetation dynamics in Rwanda. Remote Sens. 2016, 8, 129. [Google Scholar] [CrossRef]
- NewTimes. Govt, Private Sector Pledge to Conserve R. Nyabarongo. Available online: https://www.newtimes.co.rw/section/read/195536 (accessed on 13 September 2021).
- Tegegne, G.; Park, D.K.; Kim, Y.-O. Comparison of hydrological models for the assessment of water resources in a data-scarce region, the Upper Blue Nile River Basin. J. Hydrol. Reg. Stud. 2017, 14, 49–66. [Google Scholar] [CrossRef]
- Trinh, T.; Kavvas, M.; Ishida, K.; Ercan, A.; Chen, Z.; Anderson, M.; Ho, C.; Nguyen, T. Integrating global land-cover and soil datasets to update saturated hydraulic conductivity parameterization in hydrologic modeling. Sci. Total Environ. 2018, 631, 279–288. [Google Scholar] [CrossRef]
- Hamdan, A.N.A.; Almuktar, S.; Scholz, M. Rainfall-runoff modeling using the hec-hms model for the al-adhaim river catchment, northern iraq. Hydrology 2021, 8, 58. [Google Scholar] [CrossRef]
- Makki Vijayaprakash, P. Application of HEC-HMS modelling on River Storån, Model evaluation and analysis of the processes by using soil moisture accounting loss method. TVVR20/5021 2021. Available online: http://lup.lub.lu.se/student-papers/record/9035455 (accessed on 6 September 2021).
- Tesfamariam, E.G.; Home, P.G.; Gathenya, J.M. Rainfall-runoff modelling to determine continuous time series of daily streamflow in the Umba River, Kenya. Afr. J. Rural. Dev. 2021, 5, 49–68. [Google Scholar]
- Kang, M.; Yoo, C. Application of the SCS–CN Method to the Hancheon Basin on the Volcanic Jeju Island, Korea. Water 2020, 12, 3350. [Google Scholar] [CrossRef]
- Caletka, M.; Šulc Michalková, M.; Karásek, P.; Fučík, P. Improvement of SCS-CN initial abstraction coefficient in the Czech Republic: A study of five catchments. Water 2020, 12, 1964. [Google Scholar] [CrossRef]
- USDA. Hydrological Data for Experimental Agricultural Watersheds in the United States; USDA–ARS Miscellaneous Pub, US Gov. Print. Office Washington: Washington, DC, USA, 1967; pp. 945–1469. [Google Scholar]
- Song, X.-M.; Kong, F.-Z.; Zhu, Z.-X. Application of Muskingum routing method with variable parameters in ungauged basin. Water Sci. Eng. 2011, 4, 1–12. [Google Scholar]
- Ponce, V.M. Muskingum-Cunge Method Explained. 2020. Available online: http://jon.sdsu.edu/muskingum_cunge_method_explained.html. (accessed on 24 June 2021).
- Chow, V.T. Open-channel hydraulics. McGraw-Hill Civ. Eng. Ser. 1959. Available online: https://documentatiecentrum.watlab.be/imis.php?module=ref&refid=135703 (accessed on 11 October 2021).
- Attari, M.; Taherian, M.; Hosseini, S.M.; Niazmand, S.B.; Jeiroodi, M.; Mohammadian, A. A simple and robust method for identifying the distribution functions of Manning’s roughness coefficient along a natural river. J. Hydrol. 2021, 595, 125680. [Google Scholar] [CrossRef]
- Abbas, M.R.; Hason, M.M.; Ahmad, B.B.; Abbas, T.R. Surface roughness distribution map for Iraq using satellite data and GIS techniques. Arab. J. Geosci. 2020, 13, 839. [Google Scholar] [CrossRef]
- Tang, X.; Rahimi, H.; Guan, Y.; Wang, Y. Hydraulic characteristics of open-channel flow with partially-placed double layer rigid vegetation. Environ. Fluid Mech. 2021, 21, 317–342. [Google Scholar] [CrossRef]
- Wilson, B.N.; Ruffini, J.R. Comparison of physically-based Muskingum methods. Trans. ASAE 1988, 31, 91–0097. [Google Scholar] [CrossRef]
- Laouacheria, F.; Mansouri, R. Comparison of WBNM and HEC-HMS for runoff hydrograph prediction in a small urban catchment. Water Resour. Manag. 2015, 29, 2485–2501. [Google Scholar] [CrossRef]
- Saadi, M.; Oudin, L.; Ribstein, P. Physically consistent conceptual rainfall–runoff model for urbanized catchments. J. Hydrol. 2021, 599, 126394. [Google Scholar] [CrossRef]
- Hu, C.; Xia, J.; She, D.; Song, Z.; Zhang, Y.; Hong, S. A new urban hydrological model considering various land covers for flood simulation. J. Hydrol. 2021, 603, 126833. [Google Scholar] [CrossRef]
- Strohbach, M.W.; Döring, A.O.; Möck, M.; Sedrez, M.; Mumm, O.; Schneider, A.-K.; Weber, S.; Schröder, B. The “hidden urbanization”: Trends of impervious surface in low-density housing developments and resulting impacts on the water balance. Front. Environ. Sci. 2019, 7, 29. [Google Scholar] [CrossRef]
- Oudin, L.; Salavati, B.; Furusho-Percot, C.; Ribstein, P.; Saadi, M. Hydrological impacts of urbanization at the catchment scale. J. Hydrol. 2018, 559, 774–786. [Google Scholar] [CrossRef]
- Luo, J.; Zhou, X.; Rubinato, M.; Li, G.; Tian, Y.; Zhou, J. Impact of multiple vegetation covers on surface runoff and sediment yield in the small basin of Nverzhai, Hunan Province, China. Forests 2020, 11, 329. [Google Scholar] [CrossRef]
- Kroese, J.S.; Batista, P.; Jacobs, S.; Breuer, L.; Quinton, J.; Rufino, M. Agricultural land is the main source of stream sediments after conversion of an African montane forest. Sci. Rep. 2020, 10, 1–15. [Google Scholar] [CrossRef]
- Tram, V.N.Q.; Somura, H.; Moroizumi, T. The Impacts of Land-Use Input Conditions on Flow and Sediment Discharge in the Dakbla Watershed, Central Highlands of Vietnam. Water 2021, 13, 627. [Google Scholar] [CrossRef]
- Guha, S.; Govil, H.; Gill, N.; Dey, A. Analytical study on the relationship between land surface temperature and land use/land cover indices. Ann. GIS 2020, 26, 201–216. [Google Scholar] [CrossRef]
- Fischer, S.; Bühler, P.; Schumann, A. Impact of Flood Types on Superposition of Flood Waves and Flood Statistics Downstream. J. Hydrol. Eng. 2021, 26, 04021024. [Google Scholar] [CrossRef]
- Leng, M.; Yu, Y.; Wang, S.; Zhang, Z. Simulating the hydrological processes of a meso-scale watershed on the Loess Plateau, China. Water 2020, 12, 878. [Google Scholar] [CrossRef]
- Shen, Z.; Chen, L.; Chen, T. Analysis of parameter uncertainty in hydrological and sediment modeling using GLUE method: A case study of SWAT model applied to Three Gorges Reservoir Region, China. Hydrol. Earth Syst. Sci. 2012, 16, 121–132. [Google Scholar] [CrossRef]
- Arheimer, B.; Lindström, G. Climate impact on floods: Changes in high flows in Sweden in the past and the future (1911–2100). Hydrol. Earth Syst. Sci. 2015, 19, 771–784. [Google Scholar] [CrossRef]
- Kibria, K.N.; Ahiablame, L.; Hay, C.; Djira, G. Streamflow trends and responses to climate variability and land cover change in South Dakota. Hydrology 2016, 3, 2. [Google Scholar] [CrossRef]
- Khalil, A.; Rittima, A.; Phankamolsil, Y. Seasonal and Annual Trends of Rainfall and Streamflow in the Mae Klong Basin, Thailand. Appl. Environ. Res. 2018, 40, 77–90. [Google Scholar] [CrossRef]
- Vaghefi, S.A.; Keykhai, M.; Jahanbakhshi, F.; Sheikholeslami, J.; Ahmadi, A.; Yang, H.; Abbaspour, K.C. The future of extreme climate in Iran. Sci. Rep. 2019, 9, 1464. [Google Scholar] [CrossRef]
- Mamuye, M.; Kebebewu, Z. Review on impacts of climate change on watershed hydrology. Atmosphere 2018, 8. Available online: https://www.researchgate.net/publication/322977113_Review_on_Impacts_of_Climate_Change_on_Watershed_Hydrology (accessed on 6 September 2021).
- Tsegaw, A.T.; Pontoppidan, M.; Kristvik, E.; Alfredsen, K.; Muthanna, T.M. Hydrological impacts of climate change on small ungauged catchments-results from a GCM-RCM-hydrologic model chain. Nat. Hazards Earth Syst. Sci. Discuss. 2019, 2019, 1–56. [Google Scholar]
- MIDIMAR. The National Risk Atlas of Rwanda; The National Risk Atlas of Rwanda, Ed.; UNON: Nairobi, Kenya, 2015. [Google Scholar]
- Belayneh, A.; Sintayehu, G.; Gedam, K.; Muluken, T. Evaluation of satellite precipitation products using HEC-HMS model. Model. Earth Syst. Environ. 2020, 6, 2015–2032. [Google Scholar] [CrossRef]
- Zheng, Y.; Li, J.; Dong, L.; Rong, Y.; Kang, A.; Feng, P. Estimation of initial abstraction for hydrological modeling based on global land data assimilation system–simulated datasets. J. Hydrometeorol. 2020, 21, 1051–1072. [Google Scholar] [CrossRef]
- Namara, W.G.; Damise, T.A.; Tufa, F.G. Rainfall Runoff Modeling Using HEC-HMS: The Case of Awash Bello Sub-Catchment, Upper Awash Basin, Ethiopia. Int. J. Environ. 2020, 9, 68–86. [Google Scholar] [CrossRef]
- Chen, L.; Chen, S.; Li, S.; Shen, Z. Temporal and spatial scaling effects of parameter sensitivity in relation to non-point source pollution simulation. J. Hydrol. 2019, 571, 36–49. [Google Scholar] [CrossRef]
- Rahman, K.U.; Balkhair, K.S.; Almazroui, M.; Masood, A. Sub-catchments flow losses computation using Muskingum–Cunge routing method and HEC-HMS GIS based techniques, case study of Wadi Al-Lith, Saudi Arabia. Model. Earth Syst. Environ. 2017, 3, 4. [Google Scholar] [CrossRef]
- Yin, J.; He, F.; Xiong, Y.J.; Qiu, G.Y. Effects of land use/land cover and climate changes on surface runoff in a semi-humid and semi-arid transition zone in northwest China. Hydrol. Earth Syst. Sci. 2017, 21, 183–196. [Google Scholar] [CrossRef]
- Yang, K.; Lu, C. dEvaluation of land-use change effects on runoff and soil erosion of a hilly basin—The Yanhe River in the Chinese Loess Plateau. Land Degrad. Dev. 2018, 29, 1211–1221. [Google Scholar] [CrossRef]
- Zhang, D.; Lin, Q.; Chen, X.; Chai, T. Improved curve number estimation in SWAT by reflecting the effect of rainfall intensity on runoff generation. Water 2019, 11, 163. [Google Scholar] [CrossRef]
- Kumar, P.; Sherring, A. Modelling of rainfall and runoff using HEC-HMS in Oghani Micro-watershed of Azamgarh District Uttar Pradesh. IJCS 2021, 9, 3476–3482. [Google Scholar]
- Twisa, S.; Buchroithner, M.F. Seasonal and Annual Rainfall Variability and Their Impact on Rural Water Supply Services in the Wami River Basin, Tanzania. Water 2019, 11, 2055. [Google Scholar] [CrossRef]
- Langat, P.K.; Kumar, L.; Koech, R. Temporal variability and trends of rainfall and streamflow in Tana River Basin, Kenya. Sustainability 2017, 9, 1963. [Google Scholar] [CrossRef]
- Ran, Q.; Wang, F.; Gao, J. Modelling effects of rainfall patterns on runoff generation and soil erosion processes on slopes. Water 2019, 11, 2221. [Google Scholar] [CrossRef]
- Maharjan, M.; Aryal, A.; Talchabhadel, R.; Thapa, B.R. Impact of Climate Change on the Streamflow Modulated by Changes in Precipitation and Temperature in the North Latitude Watershed of Nepal. Hydrology 2021, 8, 117. [Google Scholar] [CrossRef]
- Lapides, D.A.; Leclerc, C.D.; Moidu, H.; Dralle, D.N.; Hahm, W.J. Variability of stream extents controlled by flow regime and network hydraulic scaling. Hydrol. Process. 2021, 35, e14079. [Google Scholar] [CrossRef]
- Khoi, D.N.; Loi, P.T.; Sam, T.T. Impact of Future Land-Use/Cover Change on Streamflow and Sediment Load in the Be River Basin, Vietnam. Water 2021, 13, 1244. [Google Scholar] [CrossRef]
- Shah, M.; Lone, M. Hydrological modeling to simulate stream flow in the Sindh Valley watershed, northwest Himalayas. Model. Earth Syst. Environ. 2021, 1–10. [Google Scholar] [CrossRef]
- Wang, W.-C.; Zhao, Y.-W.; Chau, K.-W.; Xu, D.-M.; Liu, C.-J. Improved flood forecasting using geomorphic unit hydrograph based on spatially distributed velocity field. J. Hydroinform. 2021, 23, 724–739. [Google Scholar] [CrossRef]










| Data Type | Spatial Resolution | Source |
|---|---|---|
| Digital Elevation Model (DEM) | 1 arc-second (~30 m, raster data) | Earth Explorer (USGS) |
| LULC map | 30 m × 30 m (raster data) | Landsat 8 OLI (USGS) |
| Soil properties map | 30 arc-second (raster data) | FAO-UNESCO Soil Map of the World |
| Rainfall data | Daily rainfall (2011–2018) | Rwandan Meteorological Agency (RMA) |
| Flow data | Daily flow (2011–2018) | Rwandan Meteorological Agency (RMA) and Rwanda Water Portal |
| Events | Start Date | Start Time | End Date | Start Time | Remark |
|---|---|---|---|---|---|
| 1 | LR: 21 Mar 2011 | 00:00 | 18 May 2011 | 00:00 | calibration |
| 2 | SR: 06 Sep 2011 | 00:00 | 15 Nov 2011 | 00:00 | calibration |
| 3 | LR: 10 Mar 2012 | 00:00 | 27 May 2012 | 00:00 | calibration |
| 4 | SR: 13 Sep 2012 | 00:00 | 19 Nov 2012 | 00:00 | calibration |
| 5 | LR: 15 Mar 2013 | 00:00 | 12 May 2013 | 00:00 | calibration |
| 6 | SR: 09 Sep 2013 | 00:00 | 13 Nov 2013 | 00:00 | calibration |
| 7 | LR: 11 Mar 2014 | 00:00 | 14 May 2014 | 00:00 | calibration |
| 8 | SR: 12 Sep 2014 | 00:00 | 15 Nov 2014 | 00:00 | calibration |
| 9 | LR: 20 Mar 2015 | 00:00 | 18 May 2015 | 00:00 | calibration |
| 10 | SR: 23 Sep 2015 | 00:00 | 22 Nov 2015 | 00:00 | calibration |
| 11 | LR: 24 Mar 2016 | 00:00 | 22 May 2016 | 00:00 | Validation |
| 12 | SR: 12 Sep 2016 | 00:00 | 15 Nov 2016 | 00:00 | Validation |
| 13 | LR: 12 Mar 2017 | 00:00 | 14 May 2017 | 00:00 | Validation |
| 14 | SR: 18 Sep 2017 | 00:00 | 23 Nov 2017 | 00:00 | Validation |
| 15 | LR: 10 Mar 2018 | 00:00 | 12 May 2018 | 00:00 | Validation |
| 16 | SR: 13 Sep 2018 | 00:00 | 15 Nov 2018 | 00:00 | Validation |
| No | SB | Area (Km2) | Slope | Mean River Slope | Hydraulic Length (m) | Main River Length (m) |
|---|---|---|---|---|---|---|
| 1 | W1230 | 863.61 | 2084.79 | −0.013902 | 41,001.49 | 12,868.13 |
| 2 | W1140 | 1139.6 | 1758.01 | 0.004494 | 88,558.16 | 37,835.82 |
| 3 | W960 ** | 710.51 | 1626.83 | 0.015872 | 48,008.99 | 25,294.14 |
| 4 | W1290 | 951.6 | 1809.49 | 0.012851 | 59,373.68 | 36,844.79 |
| 5 | W900 | 772.62 | 2146.6 | 0.022433 | 56,614.21 | 27,817.45 |
| 6 | W720 | 1239.9 | 2165.07 | 0.027237 | 62,084.87 | 31,250.99 |
| 7 | W870 | 1186.8 | 1651.9 | 0.00835 | 72,337.23 | 22,147.99 |
| 8 | W690 | 1613.6 | 1846.41 | 0.013222 | 71,698.25 | 31,959.94 |
| 9 | R440 ** | 736.9 | 0.002714 | - | - | - |
| Selected Events | Peak Flow (cms) | Volume (mm) | Accuracy Assessment | ||||||||
|---|---|---|---|---|---|---|---|---|---|---|---|
| Events | Start and End Date | SBO | SAO | Obs | SBO | SAO | Obs | REF (%) | REV (%) | R2 | NSE |
| 1 | LR: 21 Mar–18 May 2011 | 98.5 | 100.8 | 109.8 | 103.83 | 105.77 | 117.55 | 8.9 | 11.14 | 84.7 | 81.8 |
| 2 | SR: 06 Sep–15 Nov 2011 | 97.8 | 86.4 | 89.4 | 115.58 | 127.92 | 140.94 | 3.4 | 10.2 | 88.8 | 81.6 |
| 3 | LR: 10 Mar–27 May 2012 | 136.8 | 132.4 | 123.0 | 144.83 | 162.32 | 182.22 | 7.0 | 6.4 | 92.6 | 89.4 |
| 4 | SR: 13 Sep–19 Nov 2012 | 112.2 | 97.9 | 95.2 | 122.7 | 131.82 | 139.0 | 2.8 | 5.4 | 86.8 | 74.3 |
| 5 | LR: 15 Mar–12 May 2013 | 166.9 | 166.9 | 174.5 | 140.04 | 148.59 | 156.98 | 4.5 | 5.6 | 94.5 | 93.5 |
| 6 | SR: 09 Sep–13 Nov 2013 | 90.2 | 83.4 | 82.1 | 145.52 | 144.61 | 156.08 | 1.6 | 7.9 | 81.8 | 74.2 |
| 7 | LR: 11 Mar–14 May 2014 | 133.4 | 134.6 | 126.9 | 146.73 | 169.19 | 173.68 | 5.7 | 2.6 | 89.7 | 80.2 |
| 8 | SR: 12 Sep–15 Nov 2014 | 88.4 | 85.3 | 82.1 | 107.13 | 110.4 | 122.63 | 3.7 | 11.0 | 86.6 | 81.8 |
| 9 | LR: 20 Mar–18 May2015 | 169.7 | 171.7 | 192.5 | 200.52 | 204.73 | 218.53 | 12.1 | 6.7 | 90.6 | 82.8 |
| 10 | SR: 23 Sep–22 Nov 2015 | 148.0 | 132.7 | 125.8 | 120.87 | 133.86 | 147.97 | 5.2 | 10.5 | 87.7 | 74.4 |
| Mean | 5.5 | 7.7 | 88.4 | 81.4 | |||||||
| Selected Events | Ia | S | CN | TLag | K | X | |||||||
|---|---|---|---|---|---|---|---|---|---|---|---|---|---|
| Events | Period | IV | OV | IV | OV | IV | OV | IV | OV | IV | OV | IV | OV |
| 1 | LR | 10 | 14.9 | 50.03 | 74.5 | 83.516 | 78.2 | 68.4 | 68.4 | 0.08 | 0.05 | 0.34 | 0.48 |
| 2 | SR | 8.5 | 42.5 | 89.8 | 68.4 | 1.98 | 0.21 | ||||||
| 3 | LR | 12.9 | 64.5 | 82.9 | 68.4 | 1.67 | 0.41 | ||||||
| 4 | SR | 14.4 | 72 | 78.2 | 68.4 | 2.2 | 0.43 | ||||||
| 5 | LR | 7.9 | 39.5 | 80 | 68.4 | 0.13 | 0.37 | ||||||
| 6 | SR | 14.5 | 72.5 | 59.6 | 68.4 | 0.34 | 0.49 | ||||||
| 7 | LR | 13.7 | 68.5 | 88.9 | 68.4 | 3.48 | 0.39 | ||||||
| 8 | SR | 15.1 | 75.5 | 91.6 | 68.4 | 0.03 | 0.28 | ||||||
| 9 | LR | 7.2 | 36 | 75 | 68.4 | 2.59 | 0.31 | ||||||
| 10 | SR | 8.9 | 44.5 | 42.2 | 68.4 | 1.78 | 0.4 | ||||||
| Mean | - | 12.4 | 62 | 80.66 | 68.4 | 1.43 | 0.38 | ||||||
| Selected Events | Peak Flow (cms) | Volume (mm) | Accuracy Assessment (%) | ||||||
|---|---|---|---|---|---|---|---|---|---|
| Events | Start and End Date | Simulated | Observed | Simulated | Observed | REF | REV | R2 | NSE |
| 11 | LR: 24 Mar–22 May 2016 | 152.1 | 148.1 | 141.48 | 156.84 | 2.6 | 10.8 | 88.3 | 81.8 |
| 12 | SR: 12 Sep–15 Nov 2016 | 94.8 | 88.9 | 100.46 | 105.37 | 6.2 | 4.8 | 90.5 | 86.1 |
| 13 | LR: 12 Mar–14 May 2017 | 169.9 | 172.7 | 245.9 | 242.56 | 1.6 | 1.3 | 94.4 | 91.5 |
| 14 | SR: 18 Sep–23 Nov 2017 | 94.4 | 88.1 | 131.85 | 140.89 | 6.7 | 6.8 | 87.9 | 81.5 |
| 15 | LR: 10 Mar–12 May 2018 | 177.7 | 174.8 | 265.98 | 266.85 | 1.6 | 0.3 | 92.2 | 91.2 |
| 16 | SR: 13 Sep–15 Nov 2018 | 87.3 | 83.4 | 107.28 | 111.46 | 4.5 | 3.8 | 85.9 | 75.8 |
| Mean | 3.8 | 4.6 | 89.8 | 84.6 | |||||
Publisher’s Note: MDPI stays neutral with regard to jurisdictional claims in published maps and institutional affiliations. |
© 2021 by the authors. Licensee MDPI, Basel, Switzerland. This article is an open access article distributed under the terms and conditions of the Creative Commons Attribution (CC BY) license (https://creativecommons.org/licenses/by/4.0/).
Share and Cite
Mind’je, R.; Li, L.; Kayumba, P.M.; Mindje, M.; Ali, S.; Umugwaneza, A. Integrated Geospatial Analysis and Hydrological Modeling for Peak Flow and Volume Simulation in Rwanda. Water 2021, 13, 2926. https://doi.org/10.3390/w13202926
Mind’je R, Li L, Kayumba PM, Mindje M, Ali S, Umugwaneza A. Integrated Geospatial Analysis and Hydrological Modeling for Peak Flow and Volume Simulation in Rwanda. Water. 2021; 13(20):2926. https://doi.org/10.3390/w13202926
Chicago/Turabian StyleMind’je, Richard, Lanhai Li, Patient Mindje Kayumba, Mapendo Mindje, Sikandar Ali, and Adeline Umugwaneza. 2021. "Integrated Geospatial Analysis and Hydrological Modeling for Peak Flow and Volume Simulation in Rwanda" Water 13, no. 20: 2926. https://doi.org/10.3390/w13202926
APA StyleMind’je, R., Li, L., Kayumba, P. M., Mindje, M., Ali, S., & Umugwaneza, A. (2021). Integrated Geospatial Analysis and Hydrological Modeling for Peak Flow and Volume Simulation in Rwanda. Water, 13(20), 2926. https://doi.org/10.3390/w13202926

