Removal of Sulfadiazine Using 3D Interconnected Petal-Like Magnetic Reduced Graphene Oxide (MrGO) Nanocomposites
Abstract
1. Introduction
2. Materials and Methods
2.1. Chemicals and Materials
2.2. Preparation of MrGO
2.3. Material Characterizations
2.4. Adsorption and Recyclability Experiments
2.5. Chemical Analysis
3. Results and Discussion
3.1. Characterization
3.2. Adsorption
3.3. Recyclability
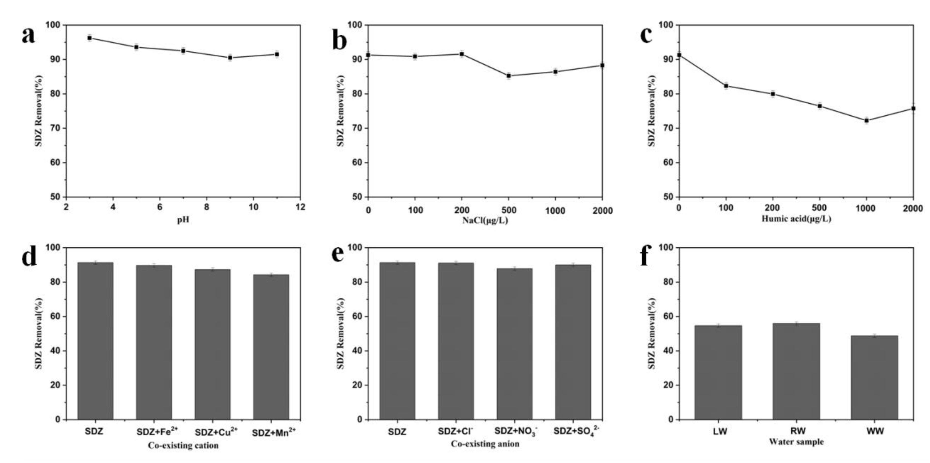
3.4. Applications
4. Conclusions
Author Contributions
Funding
Conflicts of Interest
References
- Le Page, G.; Gunnarsson, L.; Snape, J.; Tyler, C.R. Integrating human and environmental health in antibiotic risk assessment: A critical analysis of protection goals, species sensitivity and antimicrobial resistance. Environ. Int. 2017, 109, 155–169. [Google Scholar] [CrossRef]
- Qiao, M.; Ying, G.-G.; Singer, A.C.; Zhu, Y.-G. Review of antibiotic resistance in China and its environment. Environ. Int. 2018, 110, 160–172. [Google Scholar] [CrossRef] [PubMed]
- Zhang, Q.-Q.; Ying, G.-G.; Pan, C.-G.; Liu, Y.-S.; Zhao, J.-L. Comprehensive evaluation of antibiotics emission and fate in the river basins of china: Source analysis, multimedia modeling, and linkage to bacterial resistance. Environ. Sci. Technol. 2015, 49, 6772–6782. [Google Scholar] [CrossRef] [PubMed]
- Xu, W.; Zhang, G.; Li, X.-D.; Zou, S.; Li, P.; Hu, Z.; Li, J. Occurrence and elimination of antibiotics at four sewage treatment plants in the Pearl River Delta (PRD), South China. Water Res. 2007, 41, 4526–4534. [Google Scholar] [CrossRef] [PubMed]
- Chang, X.; Meyer, M.T.; Liu, X.; Zhao, Q.; Chen, H.; Chen, J.-A.; Qiu, Z.; Yang, L.; Cao, J.; Shu, W. Determination of antibiotics in sewage from hospitals, nursery and slaughter house, wastewater treatment plant and source water in Chongqing region of Three Gorge Reservoir in China. Environ. Pollut. 2010, 158, 1444–1450. [Google Scholar] [CrossRef] [PubMed]
- García-Galán, M.J.; Garrido, T.; Fraile, J.; Ginebreda, A.; Díaz-Cruz, M.S.; Barceló, J.; Ginebreda, A. Simultaneous occurrence of nitrates and sulfonamide antibiotics in two ground water bodies of Catalonia (Spain). J. Hydrol. 2010, 383, 93–101. [Google Scholar] [CrossRef]
- Wang, N.; Guo, X.; Xu, J.; Kong, X.; Gao, S.; Shan, Z. Pollution characteristics and environmental risk assessment of typical veterinary antibiotics in livestock farms in Southeastern China. J. Environ. Sci. Health Part B 2014, 49, 468–479. [Google Scholar] [CrossRef]
- Ahmed, M.B.; Zhou, J.L.; Ngo, H.H.; Guo, W.; Johir, A.H.; Belhaj, D. Competitive sorption affinity of sulfonamides and chloramphenicol antibiotics toward functionalized biochar for water and wastewater treatment. Bioresour. Technol. 2017, 238, 306–312. [Google Scholar] [CrossRef]
- Gao, Y.; Li, Y.; Zhang, L.; Huang, H.; Hu, J.; Shah, S.M.; Su, X. Adsorption and removal of tetracycline antibiotics from aqueous solution by graphene oxide. J. Colloid Interface Sci. 2012, 368, 540–546. [Google Scholar] [CrossRef]
- Fan, J.; Yu, C.; Gao, F.; Lei, J.; Tian, B.; Wang, L.; Luo, Q.; Tu, B.; Zhou, W.; Zhao, D. Cubic mesoporous silica with large controllable entrance sizes and advanced adsorption properties. Angew. Chem. Int. Ed. 2003, 42, 3146–3150. [Google Scholar] [CrossRef]
- Zhang, Y.; Yue, Q.; Yu, L.; Yang, X.; Hou, X.; Zhao, D.; Cheng, X.; Deng, Y. Amphiphilic block copolymers directed interface coassembly to construct multifunctional microspheres with magnetic core and monolayer mesoporous aluminosilicate shell. Adv. Mater. 2018, 30, e1800345. [Google Scholar] [CrossRef] [PubMed]
- Shan, D.; Deng, S.; Li, J.; Wang, H.; He, C.; Cagnetta, G.; Wang, B.; Wang, Y.; Huang, J.; Yu, G. Preparation of porous graphene oxide by chemically intercalating a rigid molecule for enhanced removal of typical pharmaceuticals. Carbon 2017, 119, 101–109. [Google Scholar] [CrossRef]
- Zhang, X.; Shen, J.; Zhuo, N.; Tian, Z.; Xu, P.; Yang, Z.; Yang, W. Interactions between antibiotics and graphene-based materials in water: A Comparative experimental and theoretical investigation. ACS Appl. Mater. Interfaces 2016, 8, 24273–24280. [Google Scholar] [CrossRef] [PubMed]
- Fan, L.; Luo, C.; Li, X.; Lu, F.; Qiu, H.; Sun, M. Fabrication of novel magnetic chitosan grafted with graphene oxide to enhance adsorption properties for methyl blue. J. Hazard. Mater. 2012, 215, 272–279. [Google Scholar] [CrossRef] [PubMed]
- Gui, C.-X.; Wang, Q.-Q.; Hao, S.-M.; Qu, J.; Huang, P.-P.; Cao, C.; Song, W.; Yu, Z.-Z. Sandwichlike magnesium silicate/reduced graphene oxide nanocomposite for enhanced Pb2+ and methylene blue adsorption. ACS Appl. Mater. Interfaces 2014, 6, 14653–14659. [Google Scholar] [CrossRef]
- Ji, L.; Wan, Y.; Zheng, S.; Zhu, D. Adsorption of tetracycline and sulfamethoxazole on crop residue-derived ashes: Implication for the relative importance of black carbon to soil sorption. Environ. Sci. Technol. 2011, 45, 5580–5586. [Google Scholar] [CrossRef]
- Zuo, L.; Ai, J.; Fu, H.; Chen, W.; Zheng, S.; Xu, Z.; Zhu, D. Enhanced removal of sulfonamide antibiotics by KOH-activated anthracite coal: Batch and fixed-bed studies. Environ. Pollut. 2016, 211, 425–434. [Google Scholar] [CrossRef]
- Li, H.; Zou, L.; Pan, L.; Sun, Z. Novel graphene-like electrodes for capacitive deionization. Environ. Sci. Technol. 2010, 44, 8692–8697. [Google Scholar] [CrossRef]
- Nasiri, R.; Arsalani, N.; Panahian, Y. One-pot synthesis of novel magnetic three-dimensional graphene/chitosan/nickel ferrite nanocomposite for lead ions removal from aqueous solution: RSM modelling design. J. Clean. Prod. 2018, 201, 507–515. [Google Scholar] [CrossRef]
- Sha, J.; Li, Y.; Salvatierra, R.V.; Wang, T.; Dong, P.; Ji, Y.; Lee, S.-K.; Zhang, C.; Zhang, J.; Smith, R.H.; et al. Three-dimensional printed graphene foams. ACS Nano 2017, 11, 6860–6867. [Google Scholar] [CrossRef]
- He, F.; Fan, J.T.; Ma, N.; Zhang, L.; Leung, C.; Chan, H.L.; Leung, C.W. The attachment of Fe3O4 nanoparticles to graphene oxide by covalent bonding. Carbon 2010, 48, 3139–3144. [Google Scholar] [CrossRef]
- Yang, Z.; Yan, H.; Yang, H.; Li, H.; Li, A.-M.; Cheng, R. Flocculation performance and mechanism of graphene oxide for removal of various contaminants from water. Water Res. 2013, 47, 3037–3046. [Google Scholar] [CrossRef]
- Zhong, J.; Yi, F.; Gao, A.; Shu, D.; Huang, Y.; Li, Z.; Zhu, W.; He, C.; Meng, T.; Zhao, S. Preparation of 3D reduced graphene Oxide/MnO2 nanocomposites through a vacuum-impregnation method and their electrochemical capacitive behavior. ChemElectroChem 2017, 4, 1088–1094. [Google Scholar] [CrossRef]
- Touqeer, T.; Mumtaz, M.W.; Mukhtar, H.; Irfan, A.; Akram, S.; Shabbir, A.; Rashid, U.; Nehdi, I.; Yaw, T.C.S. Fe3O4-PDA-Lipase as surface functionalized nano biocatalyst for the production of biodiesel using waste cooking oil as feedstock: Characterization and process optimization. Energies 2019, 13, 177. [Google Scholar] [CrossRef]
- Ni, H.; Sun, X.; Li, Y.; Li, C. Solvothermal self-assembly of magnetic Fe3O4 nanochains by ethylenediamine functionalized nanoparticles for chromium (VI) removal. J. Mater. Sci. 2015, 50, 4270–4279. [Google Scholar] [CrossRef]
- Zheng, J.-G.; Zhang, Y.; Zhai, Y.; Yang, H. TEM and EBSD study of Fe3O4 particle chains grown and assembled in external magnetic field. Microsc. Microanal. 2010, 16, 1790–1791. [Google Scholar] [CrossRef][Green Version]
- Bastami, T.R.; Entezari, M.; Hu, Q.H.; Hartono, S.B.; Qiao, S. Role of polymeric surfactants on the growth of manganese ferrite nanoparticles. Chem. Eng. J. 2012, 210, 157–165. [Google Scholar] [CrossRef]
- Lian, C.; Wang, Z.; Lin, R.; Wang, D.; Chen, C.; Li, Y. An efficientfficient, controllable and facile two-step synthesis strategy: Fe3O4@RGO composites with various Fe3O4 nanoparticles and their supercapacitance properties. Nano Res. 2017, 10, 3303–3313. [Google Scholar] [CrossRef]
- Liu, Y.; Wang, Y.; Zhou, S.; Lou, S.; Yuan, L.; Gao, T.; Wu, X.; Shi, X.; Wang, K. Synthesis of high saturation magnetization superparamagnetic Fe3O4 hollow microspheres for swift chromium removal. ACS Appl. Mater. Interfaces 2012, 4, 4913–4920. [Google Scholar] [CrossRef] [PubMed]
- Oulego, P.; Laca, A.; Calvo, S.; Díaz, M. Eggshell-supported catalysts for the advanced oxidation treatment of humic acid polluted wastewaters. Water 2019, 12, 100. [Google Scholar] [CrossRef]
- Ren, B.; Shen, W.; Li, L.; Wu, S.; Wang, W. 3D CoFe2O4 nanorod/flower-like MoS2 nanosheet heterojunctions as recyclable visible light-driven photocatalysts for the degradation of organic dyes. Appl. Surf. Sci. 2018, 447, 711–723. [Google Scholar] [CrossRef]
- Huang, Y.; Zhang, W.; Ruan, G.; Li, X.; Cong, Y.; Du, F.; Li, J. Reduced graphene oxide-hybridized polymeric high-internal phase emulsions for highly efficient removal of polycyclic aromatic hydrocarbons from water matrix. Langmuir 2018, 34, 3661–3668. [Google Scholar] [CrossRef] [PubMed]
- Zhang, N.; Huang, Y.; Zong, M.; Ding, X.; Li, S.; Wang, M. Synthesis of ZnS quantum dots and CoFe2O4 nanoparticles co-loaded with graphene nanosheets as an efficient broad band EM wave absorber. Chem. Eng. J. 2017, 308, 214–221. [Google Scholar] [CrossRef]
- Zhang, S.-H.; Wu, M.-F.; Tang, T.; Xing, Q.-J.; Peng, C.-Q.; Li, F.; Liu, H.; Luo, X.-B.; Zou, J.-P.; Min, X.-B.; et al. Mechanism investigation of anoxic Cr(VI) removal by nano zero-valent iron based on XPS analysis in time scale. Chem. Eng. J. 2018, 335, 945–953. [Google Scholar] [CrossRef]
- Su, S.; Liu, Y.; He, W.; Tang, X.; Jin, W.; Zhao, Y. A novel graphene oxide-carbon nanotubes anchored α-FeOOH hybrid activated persulfate system for enhanced degradation of Orange II. J. Environ. Sci. 2019, 83, 73–84. [Google Scholar] [CrossRef]
- Simonin, J.-P. On the comparison of pseudo-first order and pseudo-second order rate laws in the modeling of adsorption kinetics. Chem. Eng. J. 2016, 300, 254–263. [Google Scholar] [CrossRef]
- Han, J.; Zhang, G.; Zhou, L.; Zhan, F.; Cai, D.; Wu, Z. Waste carton-derived nanocomposites for efficient removal of hexavalent chromium. Langmuir 2018, 34, 5955–5963. [Google Scholar] [CrossRef]
- Yi, Y.; Tu, G.; Zhao, D.; Tsang, P.E.; Fang, Z. Biomass waste components significantly influence the removal of Cr(VI) using magnetic biochar derived from four types of feedstocks and steel pickling waste liquor. Chem. Eng. J. 2019, 360, 212–220. [Google Scholar] [CrossRef]
- Luo, L.; Xu, C.; Chen, Z.; Zhang, S. Properties of biomass-derived biochars: Combined effects of operating conditions and biomass types. Bioresour. Technol. 2015, 192, 83–89. [Google Scholar] [CrossRef]
- Mohan, D.; Kumar, A.; Sarswat, A.; Franco, M.A.; Pittman, C.U. Cadmium and lead remediation using magnetic oak wood and oak bark fast pyrolysis bio-chars. Chem. Eng. J. 2014, 236, 513–528. [Google Scholar] [CrossRef]








| Parameters | LW | RW | WW |
|---|---|---|---|
| pH | 7.5 | 7.4 | 7.2 |
| Conductivity (μS/cm) | 83.1 | 114.3 | 471.2 |
| UV400 | 0.08 | 0.09 | 0.1 |
| TOC (mg/L) | 2.3 | 2.5 | 6.7 |
| IC (mg/L) | 2.8 | 3.7 | 10.8 |
| Cu (mg/L) | 0.012 | 0.012 | 0.013 |
| Fe (mg/L) | 0.0020 | 0.017 | 0.011 |
| Mn (mg/L) | 0.02 | 0.01 | 0.31 |
| Cl (mg/L) | 1.46 | 4.14 | 41.00 |
| S (mg/L) | 0.92 | 2.22 | 14.48 |
| Pseudo-First-Order | Pseudo-Second-Order | Langmuir | Freundlich | |||||||||
|---|---|---|---|---|---|---|---|---|---|---|---|---|
| Samples | k1 (h−1) | Qe (μg/mg) | R2 | k2 (mg/(μg·h) | Qe (μg/mg) | R2 | KL (L/μg) | Qm (μg/mg) | R2 | KF (μg/mg (L/μg)1/n) | n | R2 |
| Fe3O4 | 0.47 | 0.42 | 0.333 | 1.83 | 0.37 | 0897 | 9.51 × 10−4 | 3.67 | 0.987 | 0.022 | 1.59 | 0.986 |
| rGO | 1.05 | 1.33 | 0.695 | 5.67 | 1.16 | 0.839 | 1.96 × 10−3 | 7.24 | 0.993 | 0.062 | 1.57 | 0.969 |
| MrGO-1 | 1.09 | 0.90 | 0.783 | 3.73 | 1.40 | 0.942 | 6.71 × 10−4 | 4.74 | 0.996 | 0.017 | 1.37 | 0.992 |
| MrGO-2 | 1.86 | 1.36 | 0.731 | 5.79 | 1.55 | 0.893 | 7.21 × 10−3 | 6.27 | 0.987 | 0.36 | 2.41 | 0.967 |
| MrGO-3 | 0.92 | 1.31 | 0.733 | 3.44 | 1.49 | 0.890 | 5.16 × 10−3 | 6.26 | 0.985 | 0.23 | 2.13 | 0.974 |
© 2020 by the authors. Licensee MDPI, Basel, Switzerland. This article is an open access article distributed under the terms and conditions of the Creative Commons Attribution (CC BY) license (http://creativecommons.org/licenses/by/4.0/).
Share and Cite
Zhong, J.; Feng, Y.; Li, J.-L.; Yang, B.; Ying, G.-G. Removal of Sulfadiazine Using 3D Interconnected Petal-Like Magnetic Reduced Graphene Oxide (MrGO) Nanocomposites. Water 2020, 12, 1933. https://doi.org/10.3390/w12071933
Zhong J, Feng Y, Li J-L, Yang B, Ying G-G. Removal of Sulfadiazine Using 3D Interconnected Petal-Like Magnetic Reduced Graphene Oxide (MrGO) Nanocomposites. Water. 2020; 12(7):1933. https://doi.org/10.3390/w12071933
Chicago/Turabian StyleZhong, Jie, Yong Feng, Jin-Ling Li, Bin Yang, and Guang-Guo Ying. 2020. "Removal of Sulfadiazine Using 3D Interconnected Petal-Like Magnetic Reduced Graphene Oxide (MrGO) Nanocomposites" Water 12, no. 7: 1933. https://doi.org/10.3390/w12071933
APA StyleZhong, J., Feng, Y., Li, J.-L., Yang, B., & Ying, G.-G. (2020). Removal of Sulfadiazine Using 3D Interconnected Petal-Like Magnetic Reduced Graphene Oxide (MrGO) Nanocomposites. Water, 12(7), 1933. https://doi.org/10.3390/w12071933
