The Impacts of Soil Moisture Initialization on the Forecasts of Weather Research and Forecasting Model: A Case Study in Xinjiang, China
Abstract
1. Introduction
2. Data and Methods
2.1. Methods
2.2. Detailed Configuration and Data
2.3. Verification Measurements
3. Results and Discussion
3.1. Impacts of Soil Moisture Initialization on Air Specific Humidity and Potential Temperature
3.2. Impacts of Soil Moisture Initialization on the Energy Budget at the Surface
3.3. Impacts of Soil Moisture Initialization on the Upper Atmospheric Forecasts
3.4. Impacts of Soil Moisture Initialization on the Surface Forecasts
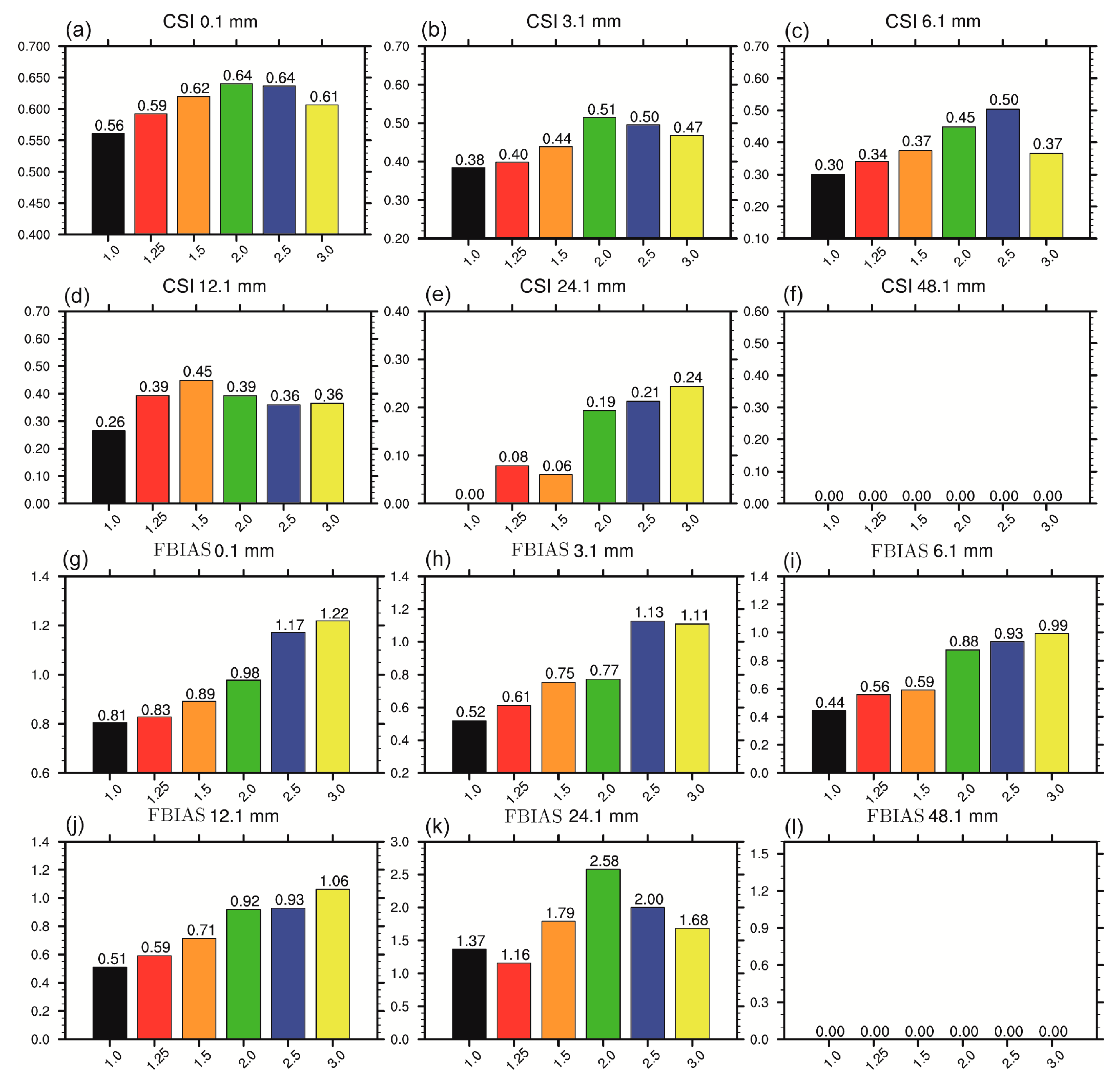
3.5. Impacts of Soil Moisture Initialization on Precipitation
4. Conclusions and Future Studies
Author Contributions
Funding
Conflicts of Interest
References
- Daniels, M.H.; Chow, F.K.; Poulos, G.S. Effects of soil moisture initialization on simulations of atmospheric boundary layer evolution in Owens Valley. In Extended Abstracts, Proceedings of the 12th Conference On Mountain Meteorolog; American Physical Society Sites: Salt Lake City, UT, USA, 2006. [Google Scholar]
- Trier, S.B.; Chen, F.; Manning, K.W.; LeMone, M.A.; Davis, C.A. Sensitivity of the PBL and precipitation in 12-day simulations of warm-season convection using different land surface models and soil wetness conditions. Mon. Weather Rev. 2008, 136, 2321–2343. [Google Scholar] [CrossRef]
- Zhou, X.; Geerts, B. The influence of soil moisture on the planetary boundary layer and on cumulus convection over an isolated mountain. Part I: Observations. Mon. Weather Rev. 2013, 141, 1061–1078. [Google Scholar] [CrossRef]
- Sun, W.Y.; Bosilovich, M.G. Planetary boundary layer and surface layer sensitivity to land surface parameters. Bound.-Layer Meteorol. 1996, 77, 353–378. [Google Scholar] [CrossRef]
- Holt, T.R.; Niyogi, D.; Chen, F.; Manning, K.; LeMone, M.A.; Qureshi, A. Effect of land–atmosphere interactions on the IHOP 24–25 May 2002 convection case. Mon. Weather Rev. 2006, 134, 113–133. [Google Scholar] [CrossRef]
- Chen, F.; Dudhia, J. Coupling an advanced land-surface hydrology model with the Penn State-NCAR MM5 modeling system. Part I: Model implementation and sensitivity. Mon. Weather Rev. 2001, 129, 569–585. [Google Scholar] [CrossRef]
- Seuffert, G.; Gross, P.; Simmer, C.; Wood, E. The influence of hydrologic modelling on the predicted local weather: Twoway coupling of a mesoscale weather prediction model and a land surface hydrologic model. J. Hydrometeorol. 2002, 3, 505–523. [Google Scholar] [CrossRef]
- LeMone, M.A.; Chen, F.; Alfieri, J.G.; Tewari, M.; Geerts, B.; Miao, Q.; Grossman, R.L.; Coulter, R.L. Influence of land cover and soil moisture on the horizontal distribution of sensible and latent heat fluxes in southeast Kansas during IHOP_2002 and CASES-97. J. Hydrometeorol. 2007, 8, 68–87. [Google Scholar] [CrossRef]
- Hong, S.B.; Lakshmi, V.; Small, E.E.; Chen, F.; Tewari, M.; Manning, K.W. Effects of vegetation and soil moisture on the simulated land surface processes from the coupled WRF/Noah model. J. Geophys. Res. 2009, 114, D18. [Google Scholar] [CrossRef]
- Seneviratne, S.I.; Corti, T.; Davin, E.L.; Hirschi, M.; Jaeger, E.; Lehner, I.; Orlowsky, B.; Teuling, A.J. Investigating soil moisture-climate interactions in a changing climate: A review. Earth-Sci. Rev. 2010, 99, 125–161. [Google Scholar] [CrossRef]
- Yang, S.; Yoo, S.H.; Yang, R.; Mitchell, K.E.; van den Dool, H.; Higgins, R.W. Response of seasonal simulations of a regional climate model to high-frequency variability of soil moisture during the summers of 1988 and 1993. J. Hydrometeorol. 2007, 8, 738–757. [Google Scholar] [CrossRef][Green Version]
- Santanello, J.A.; Peters-Lidard, C.D.; Kumar, S.V. Diagnosing the sensitivity of local land–atmosphere coupling via the soil moisture-boundary layer interaction. J. Hydrometeorol. 2011, 12, 766–786. [Google Scholar] [CrossRef]
- Zaitchik, B.F.; Santanello, J.A.; Kumar, S.V.; Peters-Lidard, C.D. Representation of soil moisture feedbacks during drought in NASA Unified WRF (NU-WRF). J. Hydrometeorol. 2013, 14, 360–367. [Google Scholar] [CrossRef]
- Yang, Y.; Uddstrom, M.; Revell, M.; Andrews, P.; Oliver, H.; Turner, R.; Carey-Smith, T. Numerical simulations of effects of soil moisture and modification by mountains over New Zealand in summer. Mon. Weather Rev. 2011, 139, 494–510. [Google Scholar] [CrossRef]
- Husain, S.Z.; Bélair, S.; Leroyer, S. Influence of soil moisture on urban microclimate and surface-layer meteorology in Oklahoma City. J. Appl. Meteorol. Climatol. 2014, 53, 83–98. [Google Scholar] [CrossRef]
- Trier, S.B.; LeMone, M.A.; Chen, F.; Manning, K.W. Effects of surface heat and moisture exchange on ARW-WRF warm-season precipitation forecasts over the central United States. Wea. Forecast. 2011, 26, 3–25. [Google Scholar] [CrossRef]
- Zhong, J.Q.; Lu, B.; Wang, W.; Huang, C.C.; Yang, Y. Impact of Soil Moisture on Winter 2-m Temperature Forecasts in Northern China. J. Hydrometeorol. 2020, 21, 597–614. [Google Scholar] [CrossRef]
- Massey, J.D.; Steenbrugh, W.J.; Hoch, S.W.; Knievel, J.C. Sensitivity of near-surface temperature forecasts to soil properties over a sparsely vegetated dryland region. J. Appl. Meteorol. Climatol. 2014, 53, 1976–1995. [Google Scholar] [CrossRef]
- Dy, C.Y.; Fung, J.C.-H. Updated global soil map for the weather research and forecasting model and soil moisture initialization for the Noah land surface model. J. Geophys. Res. Atmos. 2016, 121, 8777–8800. [Google Scholar] [CrossRef]
- Spennemann, P.C.; Rivera, J.A.; Saulo, A.C. A Comparison of GLDAS Soil Moisture Anomalies against Standardized Precipitation Index and Multisatellite Estimations over South America. J. Hydrometeorol. 2015, 16, 158–171. [Google Scholar] [CrossRef]
- Dillon, M.E.; Collini, E.A.; Ferreira, L.J. Sensitivity of WRF short-term forecasts to different soil moisture initializations from the GLDAS database over South America in March 2009. Atmos. Res. 2016, 167, 196–207. [Google Scholar] [CrossRef]
- Lin, T.S.; Cheng, F.-Y. Impact of soil moisture initialization and soil texture on simulated land-atmosphere interaction in Taiwan. J. Hydrometeorol. 2016, 17, 1337–1355. [Google Scholar] [CrossRef]
- Christensen, H.M.; Dawson, A.; Holloway, C.E. Forcing Single-Column Models Using High-Resolution Model Simulations. J. Adv. Model. Earth Syst. 2018, 10, 1833–1857. [Google Scholar] [CrossRef] [PubMed]
- Emanuel, K.; Wing, A.A.; Vincent, E.M. Radiative-convective instability. J. Adv. Model. Earth Syst. 2014, 6, 75–90. [Google Scholar] [CrossRef]
- Betts, A.K.; Miller, M.J. A new convective adjustment scheme. Part II: Single column tests using GATE wave, BOMEX, ATEX and arctic air-mass data sets. Q. J. R. Meteorol. Soc. 1986, 112, 693–709. [Google Scholar]
- Randall, D.A.; Xu, K.M.; Somerville, R.J.C.; Iacobellis, S. Single-column models and cloud ensemble models as links between observations and climate models. J. Clim. 1996, 9, 1683–1697. [Google Scholar] [CrossRef]
- Bechtold, P.; Redelsperger, J.-L.; Beau, I.; Blackburn, M.; Brinkop, S.; Grandpeix, J.-Y. A GCSS model intercomparison for a tropical squall line observed during TOGA-COARE. II: Intercomparison of single-column models and a cloud-resolving model. Q. J. R. Meteorol. Soc. 2000, 126, 865–888. [Google Scholar] [CrossRef]
- Petch, J.C.; Willett, M.; Wong, R.Y.; Woolnough, S.J. Modelling suppressed and active convection. Comparing a numerical weather prediction, cloud-resolving and single-column model. Q. J. R. Meteorol. Soc. 2007, 133, 1087–1100. [Google Scholar] [CrossRef]
- Hong, S.Y.; Noh, Y.; Dudhia, J. A new vertical diffusion package with explicit treatment of entrainment processes. Mon. Weather Rev. 2006, 134, 2318–2341. [Google Scholar] [CrossRef]
- Iacono, M.J.; Delamere, J.S.; Mlawer, E.J.; Shephard, M.W.; Clough, S.A.; Collins, W.D. Radiative forcing by longlived greenhouse gases: Calculations with the AER radiative transfer models. J. Geophys. Res. 2008, 113, D13. [Google Scholar] [CrossRef]
- Gotway, J.H.; Newman, K.; Jensen, T.; Brown, B.; Bullock, R.; Fowler, T. Model Evaluation Tools Version 8.0 (METv8.0) User’s Guide. 2018. Available online: http://dtcenter.org/sites/default/files/community-code/met/docs/user-guide/MET_Users_Guide_v8.0.pdf (accessed on 17 March 2020).
- Wen, L.; Lu, S.; Chen, S. Characteristics of radiation over Oasis under different soil moisture conditions in clear days Summer. Acta Energ. Sol. Sin. 2007, 28, 567–572. [Google Scholar]
- Yi, X. A High Temperature Weather Case Study About Sensitivity of Geopotential Height to Different Soil Moisture by Using WRF Model. Arid Meteorol. 2016, 34, 113–124. [Google Scholar]
- Gómez, I.; Caselles, V.; Estrela, M.J. Impacts of soil moisture content on simulated mesoscale circulations during the summer over eastern Spain. Atmos. Res. 2015, 164, 9–26. [Google Scholar]
- Vivoni, E.R.; Tai, K.; Gochis, D.J. Effects of initial soil moisture on rainfall generation and subsequent hydrologic response during the North American monsoon. J. Hydrometeorol. 2009, 10, 644–664. [Google Scholar] [CrossRef]










| Vertical Level | Model Top (km) | Soil Moisture (%) | U (m/s) | V (m/s) | Potential Temperature (K) | Specific Humidity (k/kg) | Coordinates (°) | Start Time (UTC) |
|---|---|---|---|---|---|---|---|---|
| 60 | 6 | 0.1 0.2 0.4 0.6 | 10 | −7 | 301(surface)–328(top) | 0 | 43.78° N 87.65° E | 2019081500 |
© 2020 by the authors. Licensee MDPI, Basel, Switzerland. This article is an open access article distributed under the terms and conditions of the Creative Commons Attribution (CC BY) license (http://creativecommons.org/licenses/by/4.0/).
Share and Cite
Zhang, H.; Liu, J.; Li, H.; Meng, X.; Ablikim, A. The Impacts of Soil Moisture Initialization on the Forecasts of Weather Research and Forecasting Model: A Case Study in Xinjiang, China. Water 2020, 12, 1892. https://doi.org/10.3390/w12071892
Zhang H, Liu J, Li H, Meng X, Ablikim A. The Impacts of Soil Moisture Initialization on the Forecasts of Weather Research and Forecasting Model: A Case Study in Xinjiang, China. Water. 2020; 12(7):1892. https://doi.org/10.3390/w12071892
Chicago/Turabian StyleZhang, Hailiang, Junjian Liu, Huoqing Li, Xianyong Meng, and Ablimitijan Ablikim. 2020. "The Impacts of Soil Moisture Initialization on the Forecasts of Weather Research and Forecasting Model: A Case Study in Xinjiang, China" Water 12, no. 7: 1892. https://doi.org/10.3390/w12071892
APA StyleZhang, H., Liu, J., Li, H., Meng, X., & Ablikim, A. (2020). The Impacts of Soil Moisture Initialization on the Forecasts of Weather Research and Forecasting Model: A Case Study in Xinjiang, China. Water, 12(7), 1892. https://doi.org/10.3390/w12071892

