Response of Preferential Soil Flow to Different Infiltration Rates and Vegetation Types in the Karst Region of Southwest China
Abstract
1. Introduction
2. Materials and Methods
2.1. Site Description
2.2. Physical Properties of Soil
2.3. Dyeing Experiment
3. Results
3.1. Soil Texture
3.2. Preferential Flow Characteristic
3.2.1. Comparison of the Change Characteristics of the Dyeing Area
3.2.2. Analysis of the Variation in Dyeing Area
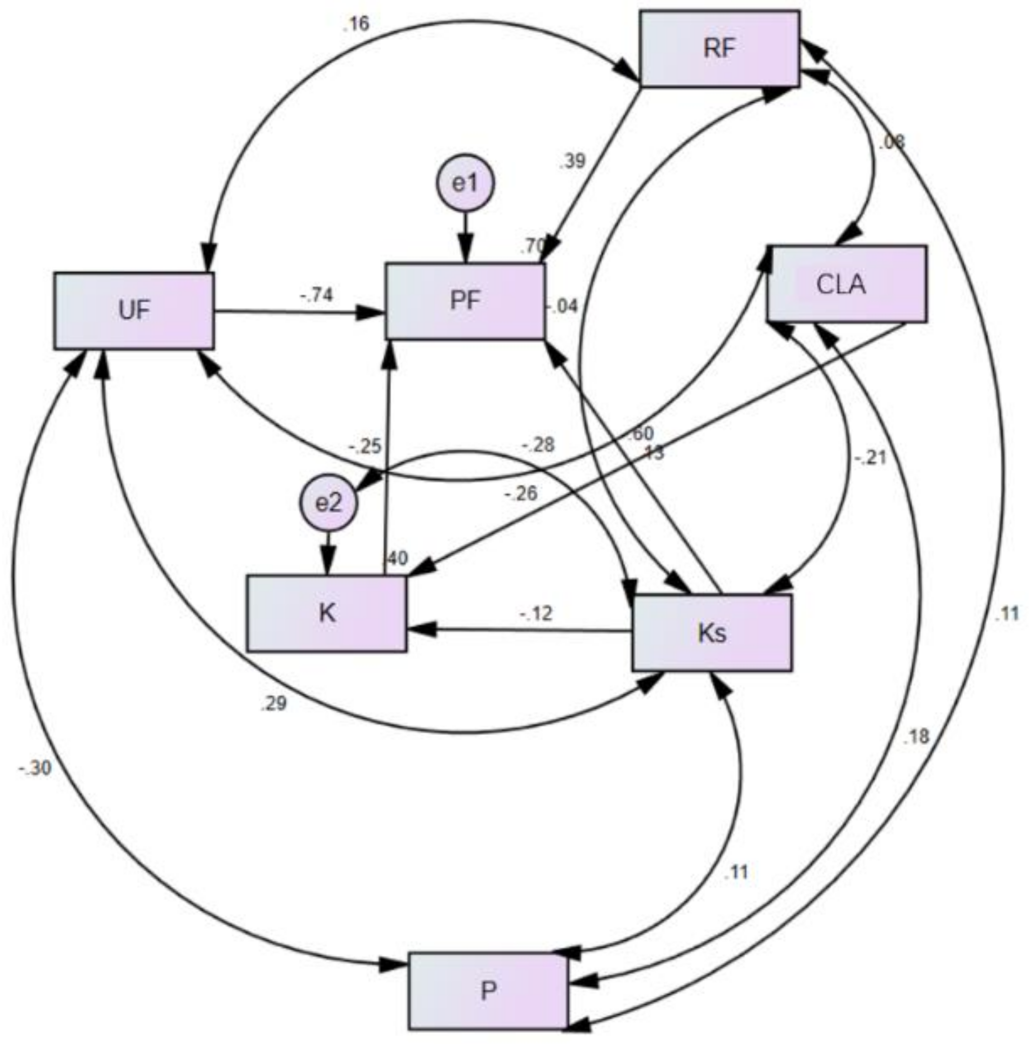
3.3. Correlation of Characteristic Parameters Based on Structural Equation
4. Discussion
4.1. Characteristics of Preferential Flow under Different Precipitation Conditions
4.2. Preferential Flow Characteristics under Different Vegetation Characteristics
4.3. Correlation of Characteristic Parameters
5. Conclusions
Author Contributions
Funding
Acknowledgments
Conflicts of Interest
References
- Jiang, Z.C.; Lian, Y.Q.; Qin, X.Q. Rocky desertification in Southwest China: Impacts, causes, and restoration. Earth Sci. Rev. 2014, 132, 1–12. [Google Scholar] [CrossRef]
- Zhang, Z.B.; Peng, X.; Zhou, H.; Lin, H.; Sun, H. Characterizing preferential flow in cracked paddy soils using computed tomography and breakthrough curve. Soil Tillage Res. 2015, 146, 53–65. [Google Scholar] [CrossRef]
- Angel Anayya, A.; Ingrid, P.; Raul, M.; Dorothy, J.V.; John, D.M.; Akram, N.A. Estimating preferential flow in Karstic aquifers using statistical mixed Models. Ground Water 2014, 52, 584–596. [Google Scholar] [CrossRef] [PubMed]
- Chen, H.; Hu, K.; Nie, Y. Analysis of soil water movement inside a footslope and a depression in a karst catchment, Southwest China. Sci. Rep. 2017, 7, 2544. [Google Scholar] [CrossRef] [PubMed]
- Qi, X.; Wang, K.; Zhang, C. Effectiveness of ecological restoration projects in a karst region of southwest China assessed using vegetation succession mapping. Ecol. Eng. 2013, 54, 245–253. [Google Scholar] [CrossRef]
- Wang, S.J.; Liu, Q.M.; Zhang, D.F. Karst rocky desertification in southwestern China: Geomorphology, landuse, impact and rehabilitation. Land Degrad. 2004, 15, 115–121. [Google Scholar] [CrossRef]
- An, S.S.; Huang, Y.M.; Zheng, F.L. Evaluation of soil microbial indices along a revegetation chronosequence in grassland soils on the Loess Plateau, Northwest China. Appl. Soil Ecol. 2009, 41, 286–292. [Google Scholar] [CrossRef]
- Stumpp, C.; Maloszewski, P. Quantification of preferential flow and flow heterogeneities in an unsaturated soil planted with different crops using the environmental isotope delta O-18. J. Hydrol. 2010, 394, 407–415. [Google Scholar] [CrossRef]
- Liu, M.X.; Du, W.Z.; Zhang, H.L. Changes of preferential flow path on different altitudinal zones in the three gorges reservoir area, China. Can. J. Soil Sci. 2014, 94, 177–188. [Google Scholar] [CrossRef]
- Fu, T.G.; Chen, H.S.; Zhang, W.; Nie, Y.P.; Wang, K.L. Vertical distribution of soil saturated hydraulic conductivity and its influencing factors in a small karst catchment in Southwest China. Environ. Monit. Assess. 2015, 187, 92. [Google Scholar] [CrossRef]
- Clothier, B.E.; Green, S.R.; Deurer, M. Preferential flow and transport in soil: Progress and prognosis. Eur. J. Soil Sci. 2008, 59, 2–13. [Google Scholar] [CrossRef]
- Mooney, S.J.; Morris, C. Morphological approach to understanding preferential flow using image analysis with dye tracers and X-ray computed tomography. Catena 2008, 73, 204–211. [Google Scholar] [CrossRef]
- Bouma, J. Soil morphology and preferential flow along macropores. Agric. Water Manag. 1981, 3, 235–250. [Google Scholar] [CrossRef]
- Green, R.T.; Bertetti, F.T.; Miller, M.S. Focused groundwater flow in a carbonate aquifer in a semi-arid environment. J. Hydrol. 2014, 517, 284–297. [Google Scholar] [CrossRef]
- Jarvis, N.J. A review of non-equilibrium water flow and solute transport in soil macropores: Principles, controlling factors and consequences for water quality. Eur. J. Soil Sci. 2007, 58, 523–546. [Google Scholar] [CrossRef]
- Peng, T.; Wang, S.J. Effects of land use, land cover and rainfall regimes on the surface runoff and soil loss on karst slopes in southwest China. Catena 2012, 90, 53–62. [Google Scholar] [CrossRef]
- Guo, L.; Lin, H. Critical zone research and observatories: Current status and future perspectives. Vadose Zone J. 2016, 15, 1–14. [Google Scholar] [CrossRef]
- Hencher, S.R. Preferential flow paths through soil and rock and their association with landslides. Hydrol. Process. 2010, 24, 1610–1630. [Google Scholar] [CrossRef]
- Larsbo, M.; Koestel, J.; Katterer, T.; Jarvis, N. Preferential transport in macropores is reduced by soil organic carbon. Vadose Zone J. 2016, 15, 1–7. [Google Scholar] [CrossRef]
- Wang, F.; Chen, H.; Lian, J.; Fu, Z.; Nie, Y. Preferential Flow in Different Soil Architectures of a Small Karst Catchment. Vadose Zone J. 2018, 17. [Google Scholar] [CrossRef]
- Vitousek, P.M.; Matson, P.A.; Van Cleve, K. Nitrogen availability and nitrification during succession: Primary, secondary, and old-field seres. Plant Soil 1989, 115, 229–239. [Google Scholar] [CrossRef]
- Jarvis, N.; Koestel, J.; Larsbo, M. Understanding preferential flow in the vadose zone: Recent advances and future prospects. Vadose Zone J. 2016, 15. [Google Scholar] [CrossRef]
- Koestel, J.; Jorda, H. What determines the strength of preferential transport in undisturbed soil under steady-state flow? Geoderma 2014, 217, 144–160. [Google Scholar] [CrossRef]
- Ma, Y.J.; Li, X.Y.; Guo, L.; Lin, H. Hydropedology: Interactions between pedologic and hydrologic processes across spatiotemporal scales. Earth Sci. Rev. 2017, 171, 181–195. [Google Scholar] [CrossRef]
- Sohrt, J.; Ries, F.; Sauter, M.; Lange, J. Significance of preferential flow at the rock soil interface in a semi-arid karst environment. Catena 2014, 123, 1–10. [Google Scholar] [CrossRef]
- Wang, S.; Chen, H.; Fu, Z.; Wang, K. Evaluation of the spatial pattern of surface soil water content of a karst hillslope in Southwest China using a state-space approach. Arch. Agron. Soil Sci. 2017, 1–14. [Google Scholar] [CrossRef]
- Pang, D.; Wang, G.; Li, G.; Sun, Y.; Liu, Y.; Zhou, J. Ecological stoichiometric characteristics of two typical plantations in the karst ecosystem of southwestern China. Forests 2018, 9, 56. [Google Scholar] [CrossRef]
- Kan, X.; Cheng, J.; Hu, X.; Zhu, F.; Li, M. Effects of Grass and Forests and the Infiltration Amount on Preferential Flow in Karst Regions of China. Water 2019, 11, 1634. [Google Scholar] [CrossRef]
- Dexter, A.R. Advances in Characterization of Soil Structure. Soil Tillage Res. 1988, 11, 199–238. [Google Scholar] [CrossRef]
- Dexter, A.R.; Richard, G.; Arrouays, D.; Czyż, E.A.; Jolivet, C.; Duval, O. Complexed organic matter controls soil physical properties. Geoderma 2008, 144, 620–627. [Google Scholar] [CrossRef]
- Klute, A.; Dirksen, C. Methods of Soil Analysis: Part 1—Physical and Mineralogical Methods. In Hydraulic Conductivity and Diffusivity: Laboratory Methods; Soil Science Society of America: Madison, WI, USA, 1986; pp. 687–734. [Google Scholar]
- Williams, J.R. EPIC-erosion/productivity impact calculator: 2. User manual. USDA. Agric. Res. Serv. 1990, 4, 206–207. [Google Scholar]
- Weiler, M.; Naef, F. Simulating surface and subsurface initiation of macropore flow. J. Hydrol. 2003, 273, 139–154. [Google Scholar] [CrossRef]
- Mei, X.; Zhu, Q.; Ma, L. Effect of stand origin and slope position on infiltration pattern and preferential flow on a Loess hillslope. Land Degrad. Dev. 2018, 29, 1353–1365. [Google Scholar] [CrossRef]
- Lipsius, K.; Mooney, S.J. Using image analysis of tracer staining to examine the infiltration patterns in a water repellent contaminated sandy soil. Geoderma 2006, 136, 865–875. [Google Scholar] [CrossRef]
- Alaoui, A.; Caduff, U.; Gerke, H.H. A preferential flow effects on infiltration and runoff in grassland and forest soils. Vadose Zone J. 2011, 10, 367–377. [Google Scholar] [CrossRef]
- Ghodrati, M.; Jury, W.A. A field-study using dyes to characterize preferential flow of water. Soil Sci. Soc. Am. J. 1990, 54, 1558–1563. [Google Scholar] [CrossRef]
- Hagedorn, F.; Bundt, M. The age of preferential flow paths. Geoderma 2002, 108, 119–132. [Google Scholar] [CrossRef]
- Yao, J.; Cheng, J.; Sun, L. Effect of Antecedent Soil Water on Preferential Flow in Four Soybean Plots in Southwestern China. Soil Sci. 2017, 182, 83–93. [Google Scholar] [CrossRef]
- Wang, P.; Chen, G.Q. Environmental dispersion in a tidal wetland with sorption by vegetation. Commun. Nonlinear Sci. Numer. Simul. 2015, 22, 348–366. [Google Scholar] [CrossRef]
- Wei, X.; Bi, H.; Liang, W.; Hou, G.; Kong, L.; Zhou, Q. Relationship between Soil Characteristics and Stand Structure of Robinia pseudoacacia L. and Pinus tabulaeformis Carr. Mixed Plantations in the Caijiachuan Watershed: An Application of Structural Equation Modeling. Forests 2018, 9, 124. [Google Scholar] [CrossRef]
- Vere, D.T.; Griffith, G.R. Structural econometric modelling in Australia’s livestock production and marketing systems: The potential benefits of model integration for industry analysis. Agric. Syst. 2004, 81, 115–131. [Google Scholar] [CrossRef]
- Edwards, W.M.; Shipitalo, M.J.; Owens, L.B.; Dick, W.A. Factors affecting preferential flow of water and atrazine through earthworm burrows under continuous no-till corn. J. Environ. Qual. 1993, 22, 453–457. [Google Scholar] [CrossRef]
- Guo, L.; Lin, H. Addressing two bottlenecks to advance the understanding of preferential flow in soils. Adv. Agron. Acad. Press 2018, 147, 61–117. [Google Scholar]
- Sidle, R.C.; Noguchi, S.; Tsuboyama, Y.; Laursen, K. A conceptual model of preferential flow systems in forested hillslopes: Evidence of self-organization. Hydrol. Process. 2001, 15, 1675–1692. [Google Scholar] [CrossRef]
- Gerke, K.M.; Sidle, R.C.; Mallants, D. Preferential flow mechanisms identified from staining experiments in forested hillslopes. Hydrol Process. 2015, 29, 4562–4578. [Google Scholar] [CrossRef]
- Yi, J.; Yang, Y.; Liu, M.; Hu, W.; Lou, S.; Zhang, H.; Zhang, D. Characterising macropores and preferential flow of mountainous forest soils with contrasting human disturbances. Soil Res. 2019, 57, 601–614. [Google Scholar] [CrossRef]
- Peng, X.; Dai, Q.; Ding, G.; Shi, D.; Li, C. The role of soil water retention functions of near-surface fissures with different vegetation types in a rocky desertification area. Plant Soil. 2019, 441, 587–599. [Google Scholar] [CrossRef]
- Zhang, X.; Hu, M.; Guo, X.; Yang, H.; Zhang, Z.; Zhang, K. Effects of topographic factors on runoff and soil loss in Southwest China. Catena 2018, 160, 394–402. [Google Scholar] [CrossRef]
- Chen, X.B.; Zhang, H.J.; Cheng, J.H. Quantitative evaluation of preferential flow development degree based on dyed image variability analysis. Trans. CSAM 2015, 46, 93–100. [Google Scholar]
- Jiang, X.; Liu, X.; Wang, E. Effects of tillage pan on soil water distribution in alfalfa-corn crop rotation systems using a dye tracer and geostatistical methods. Soil Tillage Res. 2015, 150, 68–77. [Google Scholar] [CrossRef]
- Noguchi, S.; Tsuboyama, Y.; Sidle, R.C.; Hosoda, I. Morphological characteristics of macropores and the distribution of preferential flow pathways in a forested slope segment. Soil Sci. Soc. Am. J. 1999, 63, 1413–1423. [Google Scholar] [CrossRef]
- Jiang, X.J.; Chen, C.; Zhu, X.; Sissou, Z.; Singh, A.K.; Zhang, W.; Zeng, H.; Yuan, Z.; He, C.; Yu, S.; et al. Use of dye infiltration experiments and HYDRUS-3D to interpret preferential flow in soil in a rubber-based agroforestry systems in Xishuangbanna, China. Catena 2019, 178, 120–131. [Google Scholar] [CrossRef]
- Li, X.Y.; Yang, Z.P.; Li, Y.T.; Lin, H. Connecting ecohydrology and hydropedology in desert scrublands: Stemflow as a source of preferential flow in soils. Hydrol. Earth Syst. Sci. 2009, 13, 1133–1144. [Google Scholar]
- Maier, F.; van Meerveld, I.; Greinwald, K.; Gebauer, T.; Lustenberger, F.; Hartmann, A.; Musso, A. Effects of soil and vegetation development on surface hydrological properties of moraines in the Swiss Alps. Catena 2019, 187, 104353. [Google Scholar] [CrossRef]
- Koestel, J.K.; Moeys, J.; Jarvis, N.J. Meta-analysis of the effects of soil properties, site factors and experimental conditions on solute transport. Hydrol. Earth Syst. Sci. 2012, 16, 1647–1665. [Google Scholar] [CrossRef]
- Ilek, A.; Kucza, J.; Witek, W. Using undisturbed soil samples to study how rock fragments and soil macropores affect the hydraulic conductivity of forest stony soils: Some methodological aspects. J. Hydrol. 2019, 570, 132–140. [Google Scholar] [CrossRef]
- Horn, R.; Taubner, H.; Wuttke, M.; Baumgartl, T. Soil physical-properties related to soil-structure. Soil Tillage Res. 1994, 30, 187–216. [Google Scholar] [CrossRef]
- Felde, V.; Uteau, D.; Peth, S. Soil microaggregates: Effects of clay content on their 3D structure and pore architecture. Geophys. Res. Abstr. 2019, 21, EGU2019-11191. [Google Scholar]
Site Type | Particle Size | K 10 | BD 11 | P 12 | P1 13 | P2 14 | P3 15 | P4 16 | P5 17 | P6 18 | Ks 19 | ||
---|---|---|---|---|---|---|---|---|---|---|---|---|---|
SAN 7 | SIL 8 | CLA 9 | |||||||||||
(%) | (%) | (%) | (10−10) | (gcm−3) | (%) | (%) | (%) | (%) | (%) | (%) | (%) | (cm min−1) | |
SF 1 | 0.61 ± 0.50 | 23.38 ± 3.71 | 76.01 ± 3.63 | 14.59 ± 3.99 | 1.12 ± 0.12 | 39.46 ± 4.82 | 35.90 ± 3.93 | 3.56 ± 2.51 | 35.83 ± 7.27 | 32.52 ± 5.90 | 30.32 ± 5.37 | 23.07 ± 1.39 | 0.0140 ± 0.0047 |
PY 2 | 27.59 ± 28.84 | 40.55 ± 8.08 | 31.86 ± 23.26 | 232.77 ± 212.23 | 1.37 ± 0.13 | 37.91 ± 3.74 | 35.93 ± 3.85 | 1.98 ± 1.44 | 27.99 ± 4.31 | 26.45 ± 3.49 | 24.90 ± 3.18 | 23.00 ± 2.39 | 0.0115 ± 0.0030 |
EF 3 | 2.86 ± 0.44 | 37.52 ± 7.54 | 59.63 ± 7.57 | 33.01 ± 4.24 | 1.02 ± 0.07 | 46.25 ± 2.73 | 43.13 ± 2.29 | 3.12 ± 0.77 | 45.56 ± 5.19 | 42.46 ± 4.39 | 40.49 ± 4.47 | 23.95 ± 2.38 | 0.0246 ± 0.0074 |
CF 4 | 3.67 ± 4.38 | 22.65 ± 5.78 | 73.69 ± 8.85 | 2.66 ± 1.04 | 1.16 ± 0.05 | 40.81 ± 2.91 | 37.99 ± 2.55 | 2.82 ± 1.11 | 35.25 ± 2.23 | 32.85 ± 2.46 | 30.78 ± 2.33 | 27.70 ± 0.44 | 0.0046 ± 0.0008 |
S 5 | 2.06 ± 0.95 | 54.11 ± 28.74 | 43.83 ± 29.28 | 10.67 ± 13.73 | 1.06 ± 0.11 | 38.88 ± 1.64 | 37.66 ± 1.85 | 1.23 ± 0.80 | 37.19 ± 4.65 | 36.01 ± 4.56 | 33.70 ± 4.43 | 33.26 ± 3.26 | 0.0291 ± 0.0129 |
G 6 | 8.03 ± 8.15 | 43.86 ± 22.36 | 48.11 ± 18.05 | 319.64 ± 428.49 | 1.05 ± 0.18 | 40.14 ± 6.82 | 37.30 ± 6.01 | 2.84 ± 1.97 | 40.56 ± 13.54 | 37.43 ± 11.25 | 34.43 ± 10.00 | 26.51 ± 8.14 | 0.0356 ± 0.0058 |
Site Type | Sample Number | UF 1/cm | ID 2/cm | DC 3/% | PF 4/% | Li 5/% | CV 6 | Cμ 7 |
---|---|---|---|---|---|---|---|---|
SF | 1 | 0.12 ± 0.04 | 5.10 ± 0.66 | 2.94 ± 1.30 | 0.99 ± 0.00 | 5.31 ± 2.16 | 0.41 ± 0.09 | 0.0020 ± 0.0012 |
2 | 0.10 ± 0.06 | 7.26 ± 2.68 | 2.19 ± 0.62 | 0.99 ± 0.00 | ||||
PY | 1 | 1.56 ± 1.43 | 5.20 ± 1.29 | 4.22 ± 0.66 | 0.92 ± 0.08 | 13.52 ± 4.46 | 0.30 ± 0.09 | 0.0032 ± 0.0016 |
2 | 1.38 ± 0.76 | 7.60 ± 1.49 | 6.12 ± 2.10 | 0.96 ± 0.01 | ||||
3 | 1.02 ± 0.50 | 10.18 ± 6.04 | 6.08 ± 1.82 | 0.96 ± 0.02 | ||||
EF | 1 | 0.10 ± 0.00 | 14.70 ± 12.73 | 2.76 ± 2.10 | 0.98 ± 0.03 | 15.31 ± 4.64 | 0.48 ± 0.27 | 0.0037 ± 0.0023 |
2 | 0.90 ± 1.41 | 8.36 ± 2.73 | 7.94 ± 2.54 | 0.98 ± 0.02 | ||||
3 | 0.40 ± 0.33 | 6.72 ± 1.05 | 5.29 ± 1.06 | 0.98 ± 0.01 | ||||
CF | 1 | 0.10 ± 0.00 | 8.36 ± 2.95 | 3.12 ± 1.81 | 0.98 ± 0.02 | 11.37 ± 4.92 | 0.66 ± 0.01 | 0.0034 ± 0.0006 |
2 | 0.100.00 | 4.68 ± 2.02 | 1.47 ± 0.88 | 0.97 ± 0.04 | ||||
S | 1 | 0.86 ± 0.96 | 12.72 ± 2.49 | 5.93 ± 1.88 | 0.97 ± 0.03 | 12.59 ± 1.12 | 0.32 ± 0.04 | 0.0014 ± 0.0005 |
2 | 2.06 ± 1.61 | 14.74 ± 1.37 | 8.41 ± 2.08 | 0.96 ± 0.03 | ||||
G | 1 | 0.88 ± 0.65 | 12.64 ± 1.63 | 8.97 ± 2.12 | 0.98 ± 0.01 | 23.05 ± 11.20 | 0.22 ± 0.06 | 0.0014 ± 0.0003 |
2 | 1.12 ± 0.98 | 13.20 ± 2.14 | 8.57 ± 1.05 | 0.97 ± 0.02 | ||||
3 | 2.98 ± 2.37 | 19.46 ± 3.73 | 14.53 ± 3.29 | 0.96 ± 0.03 |
Site Type | Sample Number | UF/cm | ID/cm | DC/% | PF/% | Li/% | CV | Cμ |
---|---|---|---|---|---|---|---|---|
SF | 1 | 2.08 ± 1.13 | 22.78 ± 8.97 | 10.17 ± 1.98 | 0.96 ± 0.01 | 17.65 ± 4.51 | 0.42 ± 0.21 | 0.0028 ± 0.0002 |
2 | 0.10 ± 0.06 | 11.72 ± 3.29 | 3.77 ± 2.12 | 0.99 ± 0.01 | ||||
PY | 1 | 2.50 ± 1.78 | 14.02 ± 7.41 | 9.22 ± 4.70 | 0.95 ± 0.02 | 33.50 ± 7.59 | 0.45 ± 0.09 | 0.0030 ± 0.0011 |
2 | 3.60 ± 0.74 | 16.18 ± 3.87 | 12.91 ± 4.13 | 0.94 ± 0.01 | ||||
3 | 3.42 ± 2.77 | 13.82 ± 4.59 | 11.94 ± 4.54 | 0.95 ± 0.04 | ||||
EF | 1 | 1.48 ± 1.40 | 13.20 ± 2.98 | 7.76 ± 2.22 | 0.97 ± 0.03 | 17.94 ± 3.24 | 0.40 ± 0.17 | 0.0019 ± 0.0003 |
2 | 0.46 ± 0.46 | 16.72 ± 2.69 | 7.60 ± 1.74 | 0.99 ± 0.01 | ||||
3 | 1.88 ± 1.81 | 14.12 ± 3.63 | 7.14 ± 4.05 | 0.96 ± 0.03 | ||||
CF | 1 | 0.18 ± 0.16 | 15.40 ± 3.88 | 5.30 ± 2.12 | 0.99 ± 0.00 | 13.57 ± 3.87 | 0.41 ± 0.04 | 0.0029 ± 0.0006 |
2 | 0.94 ± 0.72 | 7.98 ± 3.25 | 5.06 ± 1.68 | 0.97 ± 0.02 | ||||
S | 1 | 1.58 ± 1.12 | 14.76 ± 5.02 | 7.36 ± 1.96 | 0.96 ± 0.02 | 20.79 ± 0.60 | 0.27 ± 0.03 | 0.0022 ± 0.0008 |
2 | 1.72 ± 0.82 | 13.56 ± 2.54 | 8.27 ± 1.81 | 0.96 ± 0.01 | ||||
G | 1 | 2.22 ± 2.29 | 16.52 ± 1.21 | 17.35 ± 2.27 | 0.97 ± 0.02 | 26.16 ± 3.49 | 0.20 ± 0.04 | 0.0009 ± 0.0003 |
2 | 0.98 ± 1.12 | 15.70 ± 2.71 | 11.66 ± 2.63 | 0.98 ± 0.02 | ||||
3 | 0.74 ± 1.23 | 16.82 ± 1.49 | 12.54 ± 2.29 | 0.99 ± 0.02 |
Site Type | Sample Number | UF/cm | ID/cm | DC/% | PF/% | Li/% | CV | Cμ |
---|---|---|---|---|---|---|---|---|
SF | 1 | 0.40 ± 0.60 | 17.34 ± 2.65 | 9.16 ± 3.52 | 0.99 ± 0.01 | 26.42 ± 0.59 | 0.37 ± 0.06 | 0.0012 ± 0.0001 |
2 | 0.12 ± 0.04 | 16.7 ± 1.95 | 10.33 ± 2.92 | 1.00 ± 0.00 | ||||
PY | 1 | 1.32 ± 1.22 | 9.22 ± 2.73 | 7.07 ± 2.29 | 0.97 ± 0.03 | 19.17 ± 5.69 | 0.34 ± 0.02 | 0.0018 ± 0.0003 |
2 | 1.82 ± 0.99 | 14.34 ± 2.41 | 10.15 ± 2.95 | 0.97 ± 0.02 | ||||
EF | 1 | 1.80 ± 1.20 | 7.24 ± 1.78 | 7.05 ± 0.97 | 0.95 ± 0.03 | 11.84 ± 6.01 | 0.27 ± 0.13 | 0.0026 ± 0.0008 |
2 | 0.88 ± 0.39 | 10.20 ± 2.60 | 4.77 ± 0.82 | 0.96 ± 0.01 | ||||
3 | 0.88 ± 0.78 | 6.92 ± 3.45 | 5.48 ± 2.24 | 0.97 ± 0.02 | ||||
CF | 1 | 0.14 ± 0.08 | 5.10 ± 2.04 | 3.75 ± 0.73 | 0.99 ± 0.00 | 8.04 ± 0.13 | 0.18 ± 0.04 | 0.0033 ± 0.0002 |
2 | 0.28 ± 0.22 | 6.78 ± 2.37 | 4.46 ± 0.57 | 0.99 ± 0.01 | ||||
S | 1 | 0.10 ± 0.00 | 7.64 ± 2.15 | 5.40 ± 0.75 | 1.00 ± 0.00 | 14.77 ± 3.97 | 0.21 ± 0.05 | 0.0018 ± 0.0003 |
2 | 1.76 ± 1.00 | 9.82 ± 1.81 | 7.90 ± 1.82 | 0.96 ± 0.02 | ||||
G | 1 | 5.28 ± 1.67 | 22.08 ± 1.48 | 19.81 ± 2.57 | 0.95 ± 0.01 | 35.19 ± 7.41 | 0.19 ± 0.04 | 0.0008 ± 0.0002 |
2 | 6.72 ± 1.27 | 22.46 ± 2.76 | 23.74 ± 3.30 | 0.94 ± 0.01 | ||||
3 | 3.96 ± 2.34 | 19.36 ± 1.61 | 17.67 ± 3.72 | 0.96 ± 0.02 |
Site Type | Sample Number | UF/cm | ID/cm | DC/% | PF/% | Li/% | CV | Cμ |
---|---|---|---|---|---|---|---|---|
SF | 1 | 0.56 ± 0.74 | 25.94 ± 3.52 | 18.39 ± 3.41 | 0.99 ± 0.01 | 26.85 ± 1.46 | 0.21 ± 0.01 | 0.0010 ± 0.0001 |
2 | 0.40 ± 0.28 | 25.40 ± 3.30 | 19.48 ± 3.86 | 1.00 ± 0.00 | ||||
PY | 1 | 2.66 ± 3.77 | 25.26 ± 4.26 | 14.84 ± 8.45 | 0.98 ± 0.03 | 29.48 ± 1.74 | 0.58 ± 0.05 | 0.1376 ± 0.1363 |
2 | 3.58 ± 3.81 | 22.58 ± 8.29 | 15.77 ± 7.50 | 0.96 ± 0.03 | ||||
EF | 1 | 0.44 ± 0.68 | 9.66 ± 3.25 | 6.67 ± 2.23 | 0.99 ± 0.01 | 21.14 ± 11.60 | 0.38 ± 0.15 | 0.0032 ± 0.0014 |
2 | 0.10 ± 0.00 | 8.04 ± 1.35 | 4.15 ± 0.77 | 1.00 ± 0.00 | ||||
3 | 0.62 ± 0.85 | 13.34 ± 7.42 | 7.46 ± 3.78 | 0.99 ± 0.01 | ||||
CF | 1 | 0.14 ± 0.08 | 3.86 ± 0.89 | 2.05 ± 0.77 | 0.98 ± 0.01 | 6.78 ± 1.79 | 0.39 ± 0.03 | 0.0032 ± 0.0012 |
2 | 0.10 ± 0.00 | 7.28 ± 3.35 | 2.94 ± 0.93 | 0.99 ± 0.00 | ||||
S | 1 | 0.74 ± 0.59 | 8.46 ± 1.65 | 7.12 ± 2.06 | 0.98 ± 0.02 | 27.00 ± 14.20 | 0.42 ± 0.10 | 0.0024 ± 0.0009 |
2 | 3.14 ± 1.83 | 18.92 ± 7.65 | 13.54 ± 6.36 | 0.96 ± 0.02 | ||||
G | 1 | 3.26 ± 2.07 | 29.44 ± 2.40 | 26.03 ± 4.08 | 0.98 ± 0.01 | 44.39 ± 6.20 | 0.16 ± 0.03 | 0.0007 ± 0.0001 |
2 | 0.56 ± 0.63 | 24.40 ± 1.84 | 21.46 ± 2.11 | 1.00 ± 0.01 | ||||
3 | 6.66 ± 3.85 | 27.84 ± 2.13 | 29.15 ± 4.99 | 0.96 ± 0.02 |
Index | CLA | PF | CV | P | P1 | P2 | P5 | P3 | P4 | Cμ |
---|---|---|---|---|---|---|---|---|---|---|
PC coefficient | 0.19 | 0.18 | 0.15 | 0.08 | 0.07 | 0.07 | 0.02 | 0.01 | 0.01 | −0.03 |
Index | P6 | K | RF | Sa | Si | Ks | ID | Li | DC | UF |
PC coefficient | −0.03 | −0.03 | −0.04 | −0.09 | −0.16 | −0.20 | −0.20 | −0.25 | −0.27 | −0.29 |
Path | Non-Standardised Estimate | S.E. 6 | CR 7 | P 8 | Standardised Path Coefficient Estimation | ||
---|---|---|---|---|---|---|---|
K 1 | <--- | CLA 2 | −128,679.21 | 25,721.89 | −5.00 | *** 9 | −0.60 |
PF 3 | <--- | RF 4 | 0.00 | 0.00 | 5.22 | *** | 0.39 |
PF | <--- | UF 5 | −0.01 | 0.00 | −9.49 | *** | −0.74 |
PF | <--- | K | 0.00 | 0.00 | −3.37 | *** | −0.26 |
© 2020 by the authors. Licensee MDPI, Basel, Switzerland. This article is an open access article distributed under the terms and conditions of the Creative Commons Attribution (CC BY) license (http://creativecommons.org/licenses/by/4.0/).
Share and Cite
Kan, X.; Cheng, J.; Hou, F. Response of Preferential Soil Flow to Different Infiltration Rates and Vegetation Types in the Karst Region of Southwest China. Water 2020, 12, 1778. https://doi.org/10.3390/w12061778
Kan X, Cheng J, Hou F. Response of Preferential Soil Flow to Different Infiltration Rates and Vegetation Types in the Karst Region of Southwest China. Water. 2020; 12(6):1778. https://doi.org/10.3390/w12061778
Chicago/Turabian StyleKan, Xiaoqing, Jinhua Cheng, and Fang Hou. 2020. "Response of Preferential Soil Flow to Different Infiltration Rates and Vegetation Types in the Karst Region of Southwest China" Water 12, no. 6: 1778. https://doi.org/10.3390/w12061778
APA StyleKan, X., Cheng, J., & Hou, F. (2020). Response of Preferential Soil Flow to Different Infiltration Rates and Vegetation Types in the Karst Region of Southwest China. Water, 12(6), 1778. https://doi.org/10.3390/w12061778