Water Use and Soil Moisture Relationships on Western Juniper Trees at Different Growth Stages
Abstract
1. Introduction
2. Materials and Methods
2.1. Description of Study Site
2.2. Field Data Collection
2.2.1. Soil Physical Properties
2.2.2. Sap Flow Measurements and Transpiration Estimates
- Qf = The convective heat flux carried by the sap in Watts;
- Cp = The specific heat capacity of xylem sap, assumed to be that of water (4.186 J g−1 k−1);
- Td and Tu = Temperatures in Celsius measured at an equal distance downstream (d) and upstream (u) from the heated stem. Each logger channel has a resolution and accuracy of +/−0.33 uV [71].
- Y = Leaf area (m2);
- X = Basal circumference (m).
- Y = Leaf area (m2);
- X = Sapwood area (m2).
2.2.3. Leaf Water Potential Measurements
2.2.4. Soil Moisture Content
2.3. Transpiration and Soil Moisture Relations
2.4. Statistical Data Analyses
3. Results
3.1. Transpiration—Juniper Growth Stages Scale
3.1.1. Sapling (Regrowth) Juniper in Mays WS
3.1.2. Juvenile (Medium Growth Stage) Juniper in Jensen WS
3.1.3. Mature Juniper in Jensen WS
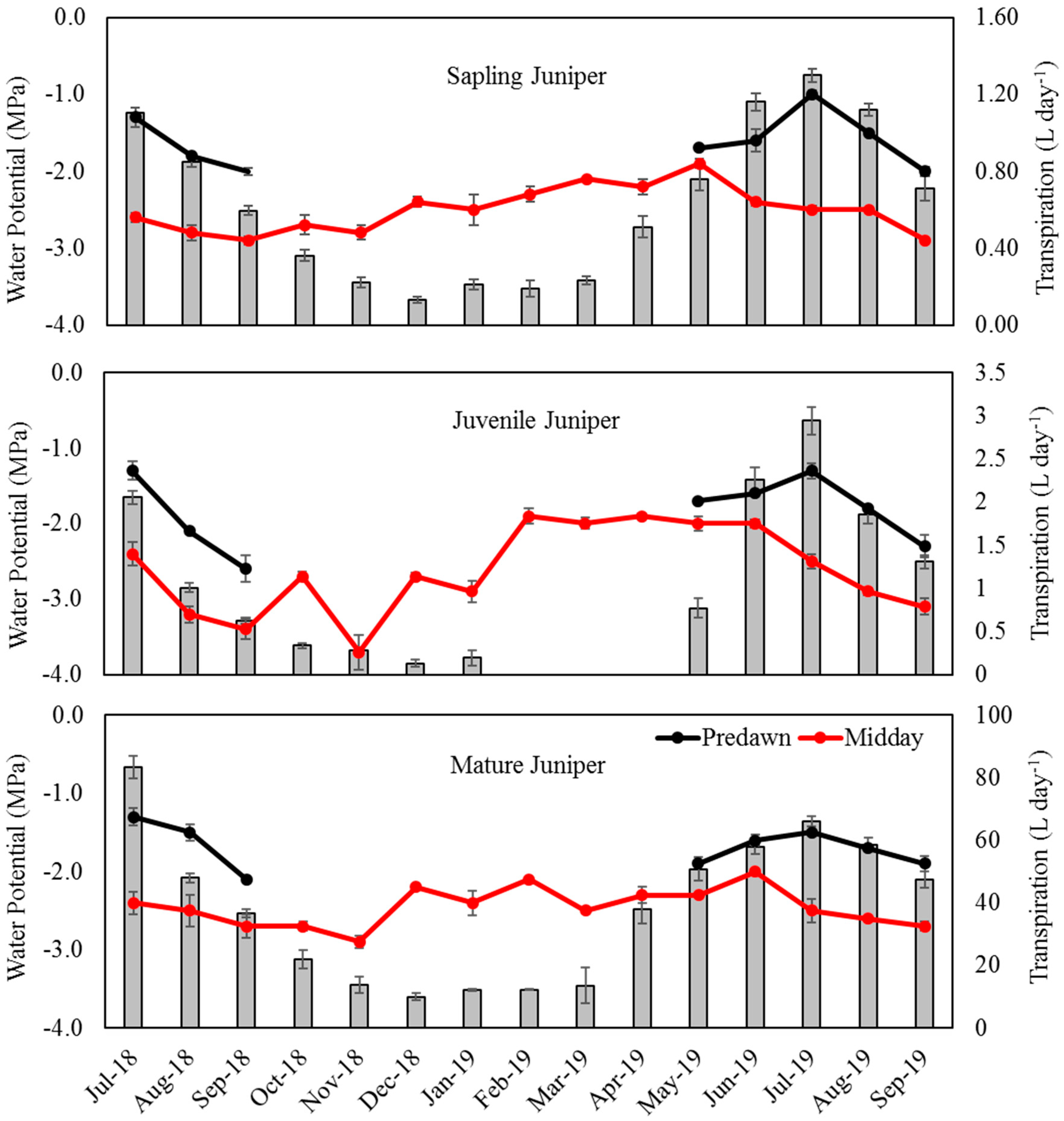
3.2. Leaf Water Potential
3.3. Soil Moisture Variability
3.3.1. Mays WS
3.3.2. Jensen WS
3.4. Transpiration and Soil Moisture Relations
3.4.1. Mays WS
3.4.2. Jensen WS
4. Discussion
5. Conclusions
Author Contributions
Acknowledgments
Conflicts of Interest
Appendix A
Soil Physical Properties
| Soil Depth | BD (Mg m−3) | Sand (%) | Silt (%) | Clay (%) | VWC (%) | PS (%) | θFC (%) | θPWP (%) | AWC (%) |
|---|---|---|---|---|---|---|---|---|---|
| (a) Jensen WS | |||||||||
| Upslope-Under-canopy | |||||||||
| 0.2 m | 1.22 ± 0.04 b | 54.4 ± 2.80 a | 25.1 ± 0.35 a | 20.51 ± 2.45 a | 31.10 ± 4.80 a | 53.97 ± 1.52 a | 27 | 10 | 17 |
| 0.5 m | 1.35 ± 0.03 ab | 56.3 ± 2.40 a | 25.9 ± 3.08 a | 17.91 ± 0.81 a | 40.95 ± 12.20 a | 49.05 ± 1.06 ab | 27 | 9.8 | 17.2 |
| 0.8 m | 1.49 ± 0.03 a | 53.7 ± 1.04 a | 24.4 ± 0.23 a | 21.91 ± 1.27 a | 33.68 ± 9.12 a | 43.61 ± 1.05 b | 28 | 10 | 18 |
| Upslope-Inter-canopy | |||||||||
| 0.2 m | 1.33 ± 0.04 b | 54.3 ± 0.67 a | 26.6 ± 1.94 a | 19.1 ± 1.85 a | 25.51 ± 0.74 a | 49.62 ± 1.30 a | 29 | 9.7 | 19.3 |
| 0.5 m | 1.43 ± 0.015 b | 49.9 ± 2.73 a | 26.6 ± 1.20 a | 23.5 ± 1.58 a | 26.76 ± 0.23 a | 46.21 ± 0.51 a | 27 | 10 | 17 |
| 0.8 m | 1.63 ± 0.015 a | 54.4 ± 1.47 a | 22.3 ± 1.33 a | 23.3 ± 0.47 a | 29.02 ± 2.21 a | 38.49 ± 0.62 b | 25 | 9.9 | 15.1 |
| Valley-Under-canopy | |||||||||
| 0.2 m | 1.19 ± 0.042 b | 50.3 ± 0.73 c | 33.6 ± 0.70 a | 16.1 ± 0.07 a | 21.45 ± 0.63 a | 55.20 ± 1.57 a | 42 | 10.7 | 31.3 |
| 0.5 m | 1.46 ± 0.061 a | 58.2 ± 0.60 b | 24.2 ± 0.24 b | 17.7 ± 0.37 a | 24.05 ± 1.27 a | 44.92 ± 2.26 b | 30 | 9.8 | 20.2 |
| 0.8 m | 1.28 ± 0.067 ab | 63.7 ± 1.16 a | 18.6 ± 0.95 c | 17.7 ± 0.82 a | 19.46 ± 5.48 a | 51.63 ± 2.43 ab | 26 | 9.3 | 16.7 |
| Valley-Inter-canopy | |||||||||
| 0.2 m | 1.43 ± 0.118 a | 60.5 ± 1.07 b | 20.6 ± 0.35 a | 18.9 ± 1.12 a | 27.33 ± 1.13 a | 46.02 ± 4.46 a | 39 | 8.9 | 30.1 |
| 0.5 m | 1.52 ± 0.027 a | 68.7 ± 1.62 a | 14.5 ± 1.29 b | 16.9 ± 1.79 a | 20.71 ± 0.49 a | 42.55 ± 0.93 a | 27 | 9.5 | 17.5 |
| 0.8 m | 1.64 ± 0.072 a | 73.8 ± 0.31 a | 10.5 ± 1.00 b | 15.7 ± 0.70 a | 23.00 ± 5.07 a | 38.21 ± 2.71 a | 24 | 4.9 | 19.1 |
| (b) Mays WS | |||||||||
| Inter-canopy (Mays-East) | |||||||||
| 0.2 m | 1.52 ± 0.009 b | 60.1 ± 1.43 b | 22.1 ± 0.74 a | 17.9 ± 0.70 a | 22.85 ± 4.05 a | 42.65 ± 0.34 a | 33 | 9.3 | 23.7 |
| 0.5 m | 1.59 ± 0.006 a | 61.7 ± 0.71 ab | 20.1 ± 0.79 ab | 18.2 ± 0.42 a | 34.57 ± 4.57 a | 40.04 ± 0.27 b | 28 | 9.5 | 18.5 |
| 0.8 m | 1.57 ± 0.012 a | 65.9 ± 0.29 a | 17.5 ± 0.29 b | 16.5 ± 0.47 a | 24.83 ± 5.58 a | 40.88 ± 0.44 b | 25 | 3.8 | 21.2 |
| Inter-canopy (Mays-West) | |||||||||
| 0.2 m | 1.31 ± 0.012 a | 58.1 ± 2.27 a | 24.5 ± 1.53 a | 17.5 ± 0.74 a | 24.85 ± 4.05 a | 50.48 ± 0.38 a | 39 | 10.1 | 28.9 |
| 0.5 m | 1.33 ± 0.055 a | 53.3 ± 0.55 a | 28.7 ± 3.65 a | 18 ± 3.22 a | 19.77 ± 1.01 a | 49.68 ± 2.07 a | 35 | 10.1 | 24.9 |
| 0.8 m | 1.38 ± 0.019 a | 47.9 ± 0.41 a | 34.5 ± 1.43 a | 17.6 ± 1.47 a | 27.85 ± 1.52 a | 48.10 ± 0.74 a | 36 | 9.9 | 26.1 |
References
- Andela, N.; Liu, Y.Y.; van Dijk, A.I.J.M.; de Jeu, R.A.M.; McVicar, T.R. Global changes in dryland vegetation dynamics (1988–2008) assessed by satellite remote sensing: Comparing a new passive microwave vegetation density record with reflective greenness data. Biogeosciences 2013, 10, 6657–6676. [Google Scholar] [CrossRef]
- Elkington, R.J.; Rebel, K.T.; Heilman, J.L.; Litvak, M.E.; Dekker, S.C.; Moore, G.W. Species-specific water use by woody plants on the Edwards Plateau, Texas. Ecohydrology 2014, 7, 278–290. [Google Scholar] [CrossRef]
- Archer, S.R.; Andersen, E.M.; Predick, K.I.; Schwinning, S.; Steidl, R.J.; Woods, S.R. Woody plant encroachment causes and consequences. In Rangeland Systems; Springer: Cham, Switzerland, 2017; pp. 25–84. [Google Scholar]
- Zhou, Y.; Boutton, T.W.; Wu, X.B. Soil carbon response to woody plant encroachment: Importance of spatial heterogeneity and deep soil storage. J. Ecol. 2017, 105, 1738–1749. [Google Scholar] [CrossRef]
- Hibbard, K.A.; Schimel, D.S.; Archer, S.; Ojima, D.S.; Parton, W. Grassland to woodland transitions: Integrating changes in landscape structure and biogeochemistry. Ecol. Appl. 2003, 13, 911–926. [Google Scholar] [CrossRef]
- Huxman, T.E.; Wilcox, B.P.; Breshears, D.D.; Scott, R.L.; Snyder, K.A.; Small, E.E.; Hultine, K.; Pockman, W.T.; Jackson, R.B. Ecohydrological implications of woody plant encroachment. Ecology 2005, 86, 308–319. [Google Scholar] [CrossRef]
- Baker, W.L.; Shinneman, D.J. Fire and restoration of pinon-juniper woodlands in the western United States: A review. For. Ecol. Manag. 2004, 189, 1–21. [Google Scholar] [CrossRef]
- Sankey, T.T.; Glenn, N.; Ehinger, S.; Boehm, A.; Hardegree, S. Characterizing western juniper expansion via a fusion of Landsat 5 Thematic Mapper and lidar data. Rangel. Ecol. Manag. 2010, 63, 514–523. [Google Scholar] [CrossRef]
- Romme, W.H.; Allen, C.D.; Bailey, J.D.; Baker, W.L.; Bestelmeyer, B.T.; Brown, P.M.; Miller, R.F. Historical and modern disturbance regimes, stand structures, and landscape dynamics in pinon–juniper vegetation of the western United States. Rangel. Ecol. Manag. 2009, 62, 203–222. [Google Scholar] [CrossRef]
- Sankey, T.T.; Germino., M.J. Assessment of juniper encroachment with the use of satellite imagery and geospatial data. Rangel. Ecol. Manag. 2008, 61, 412–418. [Google Scholar] [CrossRef]
- Soule´, P.T.; Knapp, P.A.; Grissino-Mayer, H.D. Human agency, environmental drivers, and western juniper establishment during the late Holocene. Ecol. Appl. 2004, 14, 96–112. [Google Scholar] [CrossRef]
- Miller, R.F.; Bates, J.D.; Svejcar, T.J.; Pierson, F.B.; Eddleman, L.E. Biology, Ecology, and Management of Western Juniper (Juniperus occidentalis); Oregon State University: Corvallis, OR, USA, 2005. [Google Scholar]
- Cowlin, R.W.; Briegleb, P.A.; Moravets, F.L. Forest Resources of the Ponderosa Pine Region of Washington and Oregon; U.S. Department of Agriculture, Forest Service: Washington, DC, USA, 1942; p. 122.
- Azuma, D.L.; Hiserote, B.A.; Dunham, P.A. The Western Juniper Resource of Eastern Oregon; U.S. Department of Agriculture, Forest Service, Pacific Northwest Research Station: Portland, OR, USA, 2005; p. 18.
- Belsky, A.J. Viewpoint: Western juniper Expansion: Is It a Threat to Arid Northwestern Ecosystems? J. Range Manag. 1996, 49, 53–59. [Google Scholar] [CrossRef]
- Dobkin, D.S.; Sauder, J.D. Shrubsteppe Landscapes in Jeopardy. Distributions, Abundances, and the Uncertain Future of Birds and Small Mammals in the Intermountain West; High Desert Ecological Research Institute: Bend, OR, USA, 2004. [Google Scholar]
- Rumble, M.A.; Gobeille, J.E. Wildlife Associations in Rocky Mountain Juniper in the Northern Great Plains, South Dakota. In Desired Future Conditions for Pinon-Juniper Ecosystems, Proceedings of the Symposium, Flagstaff, AZ, USA, 8–12 August 1994; Shaw, D.W., Aldon, E.F., LoSapio, C., Eds.; Gen. Tech. Rep. RM-258; U.S. Department of Agriculture, Forest Service, Rocky Mountain Forest and Range Experiment Station: Fort Collins, CO, USA, 1995; pp. 80–90. [Google Scholar]
- Abdallah, M.A.B.; Mata-González, R.; Noller, J.S.; Ochoa, C.G. Ecosystem carbon in relation to woody plant encroachment and control: Juniper systems in Oregon, USA. Agric. Ecosyst. Environ. 2020, 290, 106762. [Google Scholar] [CrossRef]
- Bunting, S.C.; Kingery, J.L.; Strand, E. Effects of succession on species richness of the western juniper woodland/sagebrush steppe mosaic. In Proceedings Ecology and Management of Piñon-Juniper Communities within the Interior West; Monsen, S.B., Richards, S., Tausch, R.J., Miller, R.F., Goodrich, C., Eds.; RMRS-P-9; USDA Forest Service: Ogden, UT, USA, 1999; pp. 76–81. [Google Scholar]
- Ray, G.; Ochoa, C.G.; Deboodt, T.; Mata-Gonzalez, R. Overstory–understory vegetation cover and soil water content observations in western juniper woodlands: A paired watershed study in Central Oregon, USA. Forests 2019, 10, 151. [Google Scholar] [CrossRef]
- Baruch-Mordo, S.; Evans, J.S.; Severson, J.P.; Naugle, D.E.; Maestas, J.D.; Kiesecker, J.M.; Reese, K.P. Saving sage-grouse from the trees: A proactive solution to reducing a key threat to a candidate species. Biol. Conserv. 2013, 167, 233–241. [Google Scholar] [CrossRef]
- Coultrap, D.E.; Fulgham, K.O.; Lancaster, D.L.; Gustafson, J.; Lile, D.F.; George, M.R. Relationships between western juniper (Juniperus occidentalis) and understory vegetation. Invas. Plant Sci. Manag. 2008, 1, 3–11. [Google Scholar] [CrossRef]
- Vaitkus, M.R.; Eddleman, L.E. Composition and productivity of a western juniper understory and its response to canopy removal. In Proceedings Piñon-juniper Conference; Everett, R.L., Ed.; USDA Forest Service: Ogden, UT, USA, 1987; pp. 456–460. [Google Scholar]
- Eddleman, L.E.; Miller, R.F.; Miller, P.M.; Dysart, P.L. Western Juniper Woodlands of the Pacific Northwest: Science Assessment; Department of Rangeland Resources, Oregon State University: Corvallis, OR, USA, 1994. [Google Scholar]
- Thurow, T.L.; Hester, J.W. How an increase or reduction in juniper cover alters rangeland hydrology. In Juniper Symposium Proceedings; Texas A&M University: San Angelo, TX, USA, 1997; pp. 9–22. [Google Scholar]
- Owens, M.K.; Lyons, R.K.; Alejandro, C.L. Rainfall partitioning within semiarid juniper communities: Effects of event size and canopy cover. Hydrol Process. 2006, 20, 3179–3189. [Google Scholar] [CrossRef]
- Pierson, F.B.; Bates, J.D.; Svejcar, T.J.; Hardegree, S.P. Runoff and erosion after cutting western juniper. Rangel. Ecol. Manag. 2007, 60, 285–292. [Google Scholar] [CrossRef]
- Petersen, S.L.; Stringham, T.K. Infiltration, runoff, and sediment yield in response to western juniper encroachment in southeast Oregon. Rangel. Ecol. Manag. 2008, 61, 74–82. [Google Scholar] [CrossRef]
- Mollnau, C.; Newton, M.; Stringham, T. Soil water dynamics and water use in a western juniper (Juniperus occidentalis) woodland. J. Arid Environ. 2014, 102, 117–126. [Google Scholar] [CrossRef]
- Ochoa, C.G.; Caruso, P.; Ray, G.; Deboodt, T.; Jarvis, W.T.; Guldan, S.J. Ecohydrologic connections in semiarid watershed systems of central Oregon USA. Water 2018, 10, 181. [Google Scholar] [CrossRef]
- Dugas, W.A.; Hicks, R.A.; Wright, P. Effect of removal of Juniperus ashei on evapotranspiration and runoff in the Seco Creek watershed. Water Resour. Res. 1998, 34, 1499–1506. [Google Scholar] [CrossRef]
- Wilcox, B.P.; Owens, M.K.; Knight, R.W.; Lyons, R.K. Do woody plants affect streamflow on semiarid karst rangelands? Ecol. Appl. 2005, 15, 127–136. [Google Scholar] [CrossRef]
- Wilcox, B.P.; Owens, M.K.; Dugas, W.A.; Ueckert, D.N.; Hart, C.R. Shrubs, streamflow, and the paradox of scale. Hydrol. Process Int. J. 2006, 20, 3245–3259. [Google Scholar] [CrossRef]
- Bates, J.D.; Miller, R.F.; Svejcar, T.J. Understory dynamics in cut and uncut western juniper woodlands. J. Range Manag. 2000, 53, 119–126. [Google Scholar] [CrossRef]
- Pierson, F.B.; Robichaud, P.R.; Spaeth, K.E.; Moffet, C.A. Impacts of fire on hydrology and erosion in steep mountain big sagebrush communities. In Proceedings of the First Interagency Conference on Research in the Watersheds, Benson, AZ, USA, 27–30 October 2003; US Dept. of Agriculture, Agricultural Research Service: Washington, DC, USA, 2003; pp. 625–630. [Google Scholar]
- Li, X.Y. Mechanism of coupling, response and adaptation between soil, vegetation and hydrology in arid and semiarid regions. Sci. Sin. Terrae 2011, 41, 1721–1730. [Google Scholar]
- Skaloš, J.; Berchová, K.; Pokorný, J.; Sedmidubský, T.; Pecharová, E.; Trpáková, I. Landscape water potential as a new indicator for monitoring macrostructural landscape changes. Ecol. Indic. 2014, 36, 80–93. [Google Scholar] [CrossRef]
- Jarvis, P.G. The interpretation of the variations in leaf water potential and stomatal conductance found in canopies in the field. Philos. Trans. R. Soc. Lond. B Biol. Sci. 1976, 273, 593–610. [Google Scholar]
- Manzoni, S.; Vico, G.; Katul, G.; Palmroth, S.; Jackson, R.B.; Porporato, A. Hydraulic limits on maximum plant transpiration and the emergence of the safety–efficiency trade-off. New Phytol. 2013, 198, 169–178. [Google Scholar] [CrossRef]
- Miller, R.F.; Angell, R.F.; Eddleman, L.E. Water use by western juniper. In Proceedings of the Pinyon-Juniper Conference, Reno, NV, USA, 13–16 January 1986; Everett, R.L., Ed.; Reno, NV. Gen. Tech. Rep. INT-215. Department of Agriculture, Forest Service, Intermountain Research Station: Ogden, UT, USA, 1987; pp. 418–422. [Google Scholar]
- Owens, K.; Ansley., J. Ecophysiology and growth of ashe and redberry juniper. In Juniper Symposium Proceedings; Texas Agricultrual Experiment Station Technical Report 97-1; Texas Agricultural Experiment Station: San Angelo, TX, USA, 1997. [Google Scholar]
- Irvine, J.; Law, B.E.; Anthoni, P.M.; Meinzer, F.C. Water limitations to carbon exchange in old-growth and young ponderosa pine stands. Tree Physiol. 2002, 22, 189–196. [Google Scholar] [CrossRef]
- McCole, A.A.; Stern, L.A. Seasonal water use patterns of juniperus ashei on the Edwards Plateau, Texas, based on stable isotopes in water. J. Hydrol. 2007, 342, 238–248. [Google Scholar] [CrossRef]
- West, A.G.; Hultine, K.R.; Burtch, K.G.; Ehleringer, J.R. Seasonal variations in moisture use in a piñon–juniper woodland. Oecologia 2007, 153, 787–798. [Google Scholar] [CrossRef] [PubMed]
- Moore, G.W.; Owens, M.K. Removing adult overstory trees stimulates growth and transpiration of conspecific juvenile trees. Rangel. Ecol. Manag. 2006, 59, 416–421. [Google Scholar] [CrossRef]
- Zhao, W.; Liu, B.; Chang, X.; Yang, Q.; Yang, Y.; Liu, Z.; Cleverly, J.; Eamus, D. Evapotranspiration partitioning, stomatal conductance, and components of the water balance: A special case of a desert ecosystem in China. J. Hydrol. 2016, 538, 374–386. [Google Scholar] [CrossRef]
- Schwinning, S. The ecohydrology of roots in rocks. Ecohydrology: Ecosystems, Land and Water Process Interactions. Ecohydrogeomorphology 2010, 3, 238–245. [Google Scholar]
- Sternberg, P.D.; Anderson, M.A.; Graham, R.C.; Beyers, J.L.; Tice, K.R. Root distribution and seasonal water status in weathered granitic bedrock under chaparral. Geoderma 1996, 72, 89–98. [Google Scholar] [CrossRef]
- Rose, K.L.; Graham, R.C.; Parker, D.R. Water source utilization by Pinus jeffreyi and Arctostaphylos patula on thin soils over bedrock. Oecologia 2003, 134, 46–54. [Google Scholar]
- Schwinning, S. The water relations of two evergreen tree species in a karst savanna. Oecologia 2008, 158, 373–383. [Google Scholar] [CrossRef] [PubMed]
- Angstmann, J.L.; Ewers, B.E.; Barber, J.; Kwon, H. Testing transpiration controls by quantifying spatial variability along a boreal black spruce forest drainage gradient. Ecohydrology 2013, 6, 783–793. [Google Scholar] [CrossRef]
- Jiao, L.; Lu, N.; Fang, W.; Li, Z.; Wang, J.; Jin, Z. Determining the independent impact of soil water on forest transpiration: A case study of a black locust plantation in the Loess Plateau, China. J. Hydrol. 2019, 572, 671–681. [Google Scholar] [CrossRef]
- Loik, M.E.; Breshears, D.D.; Lauenroth, W.K.; Belnap, J.A. Multi-scale perspective of water pulses in dryland ecosystems: Climatology and ecohydrology of the western USA. Oecologia 2004, 141, 269–281. [Google Scholar] [CrossRef]
- West, A.G.; Hultine, K.R.; Sperry, J.S.; Bush, S.E.; Ehleringer, J.R. Transpiration and hydraulic strategies in a piñon–juniper woodland. Ecol. Appl. 2008, 18, 911–927. [Google Scholar] [CrossRef] [PubMed]
- Köstner, B.; Granier, A.; Cermák, J. Sapflow measurements in forest stands: Methods and uncertainties. In Annales des Sciences Forestières; EDP Sciences: Paris, France, 1998; Volume 55, pp. 13–27. [Google Scholar]
- Granier, A.; Biron, P.; Bre´da, N.; Pontailler, J.-Y.; Saugier., B. Transpiration of trees and forests: Short and long-term monitoring using sapflow methods. Glob. Chang. Biol. 1996, 2, 265–274. [Google Scholar] [CrossRef]
- Deboodt, T.L. Watershed Response to Western Juniper Control. Ph.D. Thesis, Oregon State University, Corvallis, OR, USA, May 2008. [Google Scholar]
- Fisher, M. Analysis of Hydrology and Erosion in Small, Paired Watersheds in a Juniper-Sagebrush Area of Central Oregon. Ph.D. Thesis, Oregon State University, Corvallis, OR, USA, September 2004. [Google Scholar]
- Official Soil Series Descriptions (OSDs)|NRCS Soils. Available online: https://www.nrcs.usda.gov/wps/portal/nrcs/detail/soils/survey/geo/?cid=nrcs142p2_053587 (accessed on 15 February 2019).
- Caruso, P.; Ochoa, C.G.; Jarvis, W.T.; Deboodt, T. A hydrogeologic framework for understanding local groundwater flow dynamics in the southeast Deschutes Basin, Oregon, USA. Geosciences 2019, 9, 57. [Google Scholar] [CrossRef]
- Waller, P.; Yitayew, M. Irrigation and Drainage Engineering; Springer International Publishing AG: Cham, Switzerland, 2016; 747p. [Google Scholar]
- Baker, J.M.; van Bavel, C.H.M. Measurement of mass flow of water in the stems of herbaceous plants. Plant Cell Environ. 1987, 10, 777–782. [Google Scholar]
- Smith, D.M.; Allen, S.J. Measurement of sap flow in plant stems. J. Exp. Bot. 1996, 47, 1833–1844. [Google Scholar] [CrossRef]
- Bladon, K.D.; Silins, U.; Landhäusser, S.M.; Lieffers, V.J. Differential transpiration by three boreal tree species in response to increased evaporative demand after variable retention harvesting. Agric. For. Meteorol. 2006, 138, 104–119. [Google Scholar] [CrossRef]
- Davis, T.W.; Kuo, C.M.; Liang, X.; Yu, P.S. Sap flow sensors: Construction, quality control and comparison. Sensors 2012, 12, 954–971. [Google Scholar] [CrossRef]
- Chabot, R.; Bouarfa, S.; Zimmer, D.; Chaumont, C.; Moreau, S. Evaluation of the sap flow determined with a heat balance method to measure the transpiration of a sugarcane canopy. Agric. Water Manag. 2005, 75, 10–24. [Google Scholar] [CrossRef]
- Grime, V.L.; Sinclair, F.L. Sources of error in stem heat balance sap flow measurements. Agric. For. Meteorol. 1999, 94, 103–121. [Google Scholar] [CrossRef]
- Kirmse, R.D.; Norton, B.E. Comparison of the reference unit method and dimensional analysis methods for two large shrubby species in the Caatinga woodlands. J. Range Manag. 1985, 38, 425–428. [Google Scholar] [CrossRef]
- Steinberg, S.L.; van Bavel, C.H.M.; McFarland, M.J. A gauge to measure mass flow rate of sap in stems and trunks of woody plants. J. Am. Soc. Hortic. Sci. 1989, 114, 466–472. [Google Scholar]
- Lascano, R.J.; Baumhardt, R.L.; Lipe, W.N. Measurement of water flow in young grapevines using the stem heat balance method. Am. J. Enol. Viticult. 1992, 43, 159–165. [Google Scholar]
- Dynagage Sap Flow Sensor User Manual; Dynamax Inc.: Houston, TX, USA, 2007.
- CR10X Measurement and Control Module Operator’s Manual; Campbell Scientific Inc.: Logan, UT, USA, 1992.
- Gazal, R.M.; Scott, R.L.; Goodrich, D.C.; Williams, D.G. Controls on transpiration in a semiarid riparian cottonwood forest. Agric. For. Meteorol. 2006, 137, 56–67. [Google Scholar] [CrossRef]
- Allen, R.G.; Pereira, L.S.; Howell, T.A.; Jensen, M.E. Evapotranspiration information reporting: I. Factors governing measurement accuracy. Agric. Water Manag. 2011, 98, 899–920. [Google Scholar] [CrossRef]
- Lu, P.A. Direct method for estimating the average sap flux density using a modified Granier measuring system. Aust. J. Plant Physiol. 1997, 24, 701–705. [Google Scholar] [CrossRef]
- Lu, P.; Urban, L.; Zhao, P. Granier’s thermal dissipation probe (TDP) method for measuring sap flow in trees: Theory and practice. Acta Bot. Sin.-Engil Ed. 2004, 46, 631–646. [Google Scholar]
- Ringersma, J.; Mechergui, M.; Pijnenburg, S. Transpiration measurements in Date Palms using the Granier method. In Proceedings of the International Conference on Evapotranspiration and Irrigation Scheduling, San Antonio, TX, USA, 3–6 November 1996; pp. 141–146. [Google Scholar]
- Granier, A. Une nouvelle me´thode pour la mesure du flux de se‘ve brute dans le tronc des arbres. Ann. Sci. For. 1985, 42, 193–200. [Google Scholar] [CrossRef]
- Granier, A. Evaluation of transpiration in a Douglas-fir stand by means of sap flow measurements. Tree Physiol. 1987, 3, 309–320. [Google Scholar] [CrossRef]
- Miller, R.F.; Eddleman, L.E.; Angell, R.F. Relationship of western juniper stem conducting tissue and basal circumference to leaf area and biomass. Great Basin Nat. 1987, 47, 349–354. [Google Scholar]
- Scholander, P.F.; Hammel, H.T.; Bradstreet, E.D.; Hemmingsen., E.A. Sap pressure in vascular plants. Science 1965, 148, 339–346. [Google Scholar] [CrossRef]
- Miller, R.F.; Shultz, L.M. Water relations and leaf morphology of Juniperus occidentalis in the northern Great Basin. For. Sci. 1987, 33, 690–706. [Google Scholar]
- Ungar, E.D.; Rotenberg, E.; Raz-Yaseef, N.; Cohen, S.; Yakir, D.; Schiller, G. Transpiration and annual water balance of Aleppo pine in a semiarid region: Implications for forest management. For. Ecol. Manag. 2013, 298, 39–51. [Google Scholar] [CrossRef]
- Grossiord, C.; Sevanto, S.; Borrego, I.; Chan, A.M.; Collins, A.D.; Dickman, L.T.; Hudson, P.J.; McBranch, N.; Michaletz, S.T.; Pockman, W.T.; et al. Tree water dynamics in a drying and warming world. Plant Cell Environ. 2017, 40, 1861–1873. [Google Scholar] [CrossRef] [PubMed]
- Li, Z.; Yu, P.; Wang, Y.; Webb, A.A.; He, C.; Wang, Y.; Yang, L. A model coupling the effects of soil moisture and potential evaporation on the tree transpiration of a semi-arid larch plantation. Ecohydrology 2017, 10, e1764. [Google Scholar] [CrossRef]
- Mellander, P.E.; Stähli, M.; Gustafsson, D.; Bishop, K. Modelling the effect of low soil temperatures on transpiration by Scots pine. Hydrol. Process Int. J. 2006, 20, 1929–1944. [Google Scholar] [CrossRef]
- Repo, T.; Lehto, T.; Finér, L. Delated soil thawing affects root and shoot functioning and growth in Scots pine. Tree Physiol. 2008, 28, 1583–1591. [Google Scholar] [CrossRef]
- Liu, X.; Nie, Y.; Luo, T.; Yu, J.; Shen, W.; Zhang, L. Seasonal shift in climatic limiting factors on tree transpiration: Evidence from sap flow observations at Alpine treelines in southeast Tibet. Front. Plant Sci. 2016, 7, 1018. [Google Scholar] [CrossRef]
- McDowell, N.G.; White, S.; Pockman, W.T. Transpiration and stomatal conductance across a steep climate gradient in the southern Rocky Mountains. Ecohydrology: Ecosystems, Land and Water Process Interactions. Ecohydrology 2008, 1, 193–204. [Google Scholar] [CrossRef]
- Martin, T.A.; Brown, K.J.; Èermák, J.; Ceulmans, R.; Kuèera, J.; Meinzer, F.C.; Rombold, J.S.; Sprugel, D.G.; Hinkley, T.M. Crown conductance and tree and stand transpiration in a secondgrowth Abies amabilis forest. Can. J. For. Res. 1997, 27, 797–808. [Google Scholar] [CrossRef]
- Granier, A.; Bobay, V.; Gash, J.H.C.; Gelpe, J.; Saugier, B.; Shuttleworth, W.J. Vapour flux density and transpiration rate comparisons in a stand of Maritime pine (Pinus pinaster Ait.) in Les Landes forest. Agric. For. Meteorol. 1990, 51, 309–319. [Google Scholar] [CrossRef]
- Edwards, W.R.N. Precision weighing lysimetry for trees, using a simplified tared-balance design. Tree Physiol. 1986, 1, 127–144. [Google Scholar] [CrossRef] [PubMed]
- Barrett, D.J.; Hatton, T.J.; Ash, J.E.; Ball., M.C. Transpiration by trees from contrasting forest types. Aust. J. Bot. 1996, 44, 249–263. [Google Scholar] [CrossRef]
- Goldstein, G.; Andrade, J.L.; Meinzer, F.C.; Holbrook, N.M.; Cavelier, J.; Jackson, P.; Celis, A. Stem water storage and diurnal patterns of water use in tropical forest canopy trees. Plant Cell Environ. 1998, 21, 397–406. [Google Scholar] [CrossRef]
- Breshears, D.D.; Myers, O.B.; Barnes, F.J. Horizontal heterogeneity in the frequency of plant available water with woodland intercanopy–canopy vegetation patch type rivals that occurring vertically by soil depth. Ecohydrology 2009, 2, 503–519. [Google Scholar] [CrossRef]
- Raz-Yaseef, N.; Rotenberg, E.; Yakir, D. Effects of spatial variations in soil evaporation caused by tree shading on water flux partitioning in a semi-arid pine forest. Agric. For. Meteorol. 2010, 150, 454–462. [Google Scholar] [CrossRef]
- Fernández, M.; Gyenge, J.; Licata, J.; Schlichter, T.; Bond, B. Belowground interactions for water between trees and grasses in a temperate semiarid agroforestry system. Agroforest Syst. 2008, 74, 185–197. [Google Scholar] [CrossRef]
- Leffler, A.J.; Ryel, R.J.; Hipps, L.; Ivans, S.; Caldwell, M.M. Carbon acquisition and water use in a northern Utah Juniperus osteosperma (Utah juniper) population. Tree Physiol. 2002, 22, 1221–1230. [Google Scholar] [CrossRef]
- Eliades, M.; Bruggeman, A.; Lubczynski, M.W.; Christou, A.; Camera, C.; Djuma, H. The water balance components of Mediterranean pine trees on a steep mountain slope during two hydrologically contrasting years. J. Hydrol. 2018, 562, 712–724. [Google Scholar] [CrossRef]
- Eliades, M.; Bruggeman, A.; Djuma, H.; Lubczynski, M.W. Tree water dynamics in a semi-arid, Pinus brutia forest. Water 2018, 10, 1039. [Google Scholar] [CrossRef]
- Schwinning, S.; Sala, O.E. Hierarchy of responses to resource pulses in and semi-arid ecosystems. Oecologia 2004, 141, 211–220. [Google Scholar] [CrossRef]
- Brito, P.; Lorenzo, J.R.; González-Rodríguez, Á.M.; Morales, D.; Wieser, G.; Jiménez, M.S. Canopy transpiration of a semi-arid Pinus canariensis forest at a treeline ecotone in two hydrologically contrasting years. Agric. For. Meteorol. 2015, 201, 120–127. [Google Scholar] [CrossRef]
- Gee, G.W.; Bauder, J.W. Particle-size analysis. In Methods of Soil Analysis. Part 1; ASA and SSSA: Madison, WI, USA, 1986; pp. 383–411. [Google Scholar]
- Topp, G.C. Soil water content. In Soil Sampling and Methods of Analysis; Carter, M.R., Ed.; Lewis Publishers: London, UK, 1993. [Google Scholar]
- Tian, Z.; Gao, W.; Kool, D.; Ren, T.; Horton, R.; Heitman, J.L. Approaches for estimating soil water retention curves at various bulk densities with the extended van Genuchten model. Water Resour. Res. 2018, 54, 5584–5601. [Google Scholar] [CrossRef]
- Gardner, W.H. Water content. In Methods of Soil Analysis; American Society of Agronomy: Madison, WI, USA, 1965; pp. 82–127. [Google Scholar]
- Bittelli, M.; Flury, M. Errors in water retention curves determined with pressure plates. Soil Sci. Soc. Am. J. 2009, 73, 1453–1460. [Google Scholar] [CrossRef]







| Tree No. | SHB Sensor Model | Tree Height (m) | Tree Maximum Width (m) | Equipped Stem/Branch Diameter (mm) | Equipped Stem/Branch Area (mm2) | Leaf Area (m2) |
|---|---|---|---|---|---|---|
| S1 | SGB16 | 1.55 | 0.70 | 15 | 177 | 8.3 |
| S2 | SGB19 | 1.30 | 1.05 | 21 | 346 | 11.3 |
| S3 | SGB25 | 1.50 | 0.80 | 28 | 615 | 7.3 |
| S4 | SGB25 | 1.40 | 0.52 | 28 | 615 | 9.3 |
| J1 | SGB35 | 2.90 | 0.89 | 40 | 1256 | 14.4 |
| J2 | SGB35 | 3.75 | 1.14 | 40 | 1256 | 15.9 |
| Tree No. | TDP Sensor Model (mm) | Basal Diameter (m) | Basal Circumference (m) | Tree Diameter at Sensor Placement (m) | Leaf Area (m2) | Sap Wood Area (m2) |
|---|---|---|---|---|---|---|
| M1 | 50 | 0.87 | 2.85 | 0.70 | 619.3 | 0.1118 |
| M2 | 50 | 0.75 | 2.47 | 0.60 | 532.5 | 0.1023 |
| M3 | 30 | 0.52 | 1.74 | 0.38 | 363.8 | 0.0811 |
| M4 | 30 | 0.37 | 1.27 | 0.28 | 256.1 | 0.0649 |
| M5 | 30 | 0.52 | 1.74 | 0.37 | 364.5 | 0.0812 |
| M6 | 30 | 0.52 | 1.73 | 0.43 | 361.0 | 0.0807 |
| M7 | 30 | 0.40 | 1.39 | 0.30 | 284.1 | 0.0694 |
| Season, Year | Mean Transpiration Rate (L day−1) | ||||
|---|---|---|---|---|---|
| S1 | S2 | S3 | S4 | All Saplings | |
| Summer, 2017 | 2.59(43) a | 2.93(30) a | N/A | N/A | 2.76(24) A |
| Autumn, 2017 | 0.26(22) b | 0.60(27) a | N/A | N/A | 0.43(22) D |
| Spring, 2018 | 0.70(31) b | 1.30(29) a | N/A | N/A | 1.00(28) BC |
| Summer, 2018 | 0.46(72) c | 1.32(71) a | 0.68(51) b | 0.71(52) b | 0.79(81) C |
| Autumn, 2018 | 0.12(56) c | 0.29(54) ab | 0.21(65) bc | 0.30(68) a | 0.23(80) E |
| Winter, 2019 | 0.12(81) c | 0.23(84) ab | 0.23(79) b | 0.28(81) a | 0.22(88) E |
| Spring, 2019 | 0.55(39) bc | 1.13(87) a | 0.74(80) b | 0.53(73) c | 0.74(84) C |
| Summer, 2019 | 0.79(78) c | 1.55(85) a | 0.98(82) b | 0.75(63) c | 1.02(90) B |
| Autumn, 2019 | 0.14(30) b | 0.70(31) a | N/A | N/A | 0.42(30) D |
| Season, Year | Mean Transpiration Rate (L day−1) | ||
|---|---|---|---|
| J1 | J2 | Both Juvenile Trees | |
| Spring 2018 | 1.79(52) a | 1.42(53) b | 1.61(51) BC |
| Summer 2018 | 1.39(66) a | 1.26(67) a | 1.33(66) C |
| Autumn 2018 | 0.25(29) a | 0.28(29) a | 0.27(29) D |
| Winter 2019 | 0.24(10) a | 0.15(6) a | 0.19(6) D |
| Spring 2019 | 1.69(42) a | 1.83(42) a | 1.76(42) AB |
| Summer 2019 | 1.66(49) b | 2.35(51) a | 2.00(48) A |
| Season, Year | Mean Transpiration Rate (L day−1) | |||||||
|---|---|---|---|---|---|---|---|---|
| M1 | M2 | M3 | M4 | M5 | M6 | M7 | All Trees | |
| Spring 2017 | N/A | N/A | 75.1(30) b | 104.0(32) a | N/A | N/A | N/A | 89.6(30) B |
| Summer 2017 | 93.7(13) b | N/A | 117.4(90) b | 134.5(91) a | N/A | N/A | N/A | 115.2(90) A |
| Autumn 2017 | 95.7(16) a | N/A | 36.9(15) b | 52.9(16) b | N/A | N/A | N/A | 61.8(16) CD |
| Spring 2018 | 138.9(46) a | N/A | 52.5(65) cd | 78.1(67) b | 34.1(16) d | 66.3(69) b | 66.5(39) bc | 72.7(69) BC |
| Summer 2018 | 83.5(38) a | 73.9(46) a | 37.4(84) b | 71.2(90) a | 44.2(73) b | 47.1(90) b | 42.0(83) b | 57.0(90) D |
| Autumn 2018 | 32.6(9) a | N/A | 8.3(2) d | 13.5(11) b | 17.5(11) b | 13.9(11) b | 10.3(3) c | 16.0(11) E |
| Winter 2019 | 18.7(6) a | N/A | 6.2(1) d | 12.5(14) b | 13.6(10) b | 9.6(11) c | 11.7(7) b | 12.1(14) F |
| Spring 2019 | 106.4(43) a | N/A | 37.4(59) c | 77.3(60) b | 44.2(52) c | 31.7(60) d | 24.1(58) e | 53.5(60) D |
| Summer 2019 | N/A | N/A | 44.4(82) c | 91.9(71) a | 63.1(81) b | 41(78) c | N/A | 60.1(82) D |
| Month | 2017 | 2018 | 2019 | |||||||||
|---|---|---|---|---|---|---|---|---|---|---|---|---|
| T Max | T Min | T Mean | Ppt | T Max | T Min | T Mean | Ppt | T Max | T Min | T Mean | Ppt | |
| January | 1 | −11 | −5 | 64 | 7 | −3 | 1 | 28 | 6 | −6 | −1 | 35 |
| February | 5 | −5 | 0 | 54 | 5 | −8 | −2 | 5 | 2 | −9 | −4 | 22 |
| March | 9 | −1 | 4 | 51 | 9 | −5 | 1 | 28 | 10 | −6 | 1 | 53 |
| April | 10 | −2 | 4 | 48 | 14 | −2 | 6 | 19 | 15 | 0 | 7 | 49 |
| May | 19 | 1 | 10 | 12 | 22 | 5 | 13 | 58 | 20 | 3 | 11 | 1 |
| June | 23 | 5 | 15 | 16 | 25 | 5 | 15 | 28 | 22 | 7 | 14 | 13 |
| July | 31 | 9 | 21 | 1 | 33 | 10 | 22 | 3 | 26 | 10 | 18 | 1 |
| August | 30 | 10 | 20 | 7 | 31 | 9 | 20 | 1 | 28 | 12 | 20 | 30 |
| September | 23 | 5 | 14 | 7 | 25 | 4 | 14 | 1 | 19 | 7 | 12 | 11 |
| October | 15 | −1 | 6 | 35 | 15 | 0 | 7 | 17 | 11 | −1 | 5 | 7 |
| November | 7 | −3 | 1 | 25 | 10 | −4 | 2 | 21 | 10 | −1 | 4 | 4 |
| December | 5 | −8 | −2 | 9 | 2 | −7 | −3 | 36 | 2 | −4 | −1 | 21 |
| Total | 329 | 245 | 247 | |||||||||
| Period | Location (Growth Stage) | Equation (f = y0 + a x θtot) | R2 | SE | p-Value |
|---|---|---|---|---|---|
| July–October 2017 | Mays-East (Sapling) | f = −4.66 − 0.494 θtot | 0.449 | 0.069 | <0.001 |
| July–September 2017 | Jensen-Valley (Mature) | f = −134.89 + 24.71 θtot | 0.529 | 2.276 | <0.0001 |
| July–October 2018 | Mays-East (Sapling) | f = −2.34 + 0.24 θtot | 0.788 | 0.013 | <0.001 |
| July–September 2018 | Jensen-Upslope (Juvenile) | f = −9.99 + 0.53 θtot | 0.875 | 0.039 | <0.0001 |
| July–October 2018 | Jensen-Valley (Mature) | f = −179.76 + 20.83 θtot | 0.796 | 1.087 | <0.0001 |
| July–September 2019 | Mays-East (Sapling) | f = 0.210 − 0.034 θtot | 0.347 | 0.034 | <0.001 |
| July–September 2019 | Mays-West (Sapling) | f = 1.171 − 0.025 θtot | 0.035 | 0.015 | 0.1096 |
| July–September 2019 | Jensen-Upslope (Juvenile) | f = −7.289 − 0.64 θtot | 0.504 | 0.090 | <0.0001 |
| July–September 2019 | Jensen-Valley (Mature) | f = 28.012 − 2.453 θtot | 0.031 | 1.494 | 0.1405 |
© 2020 by the authors. Licensee MDPI, Basel, Switzerland. This article is an open access article distributed under the terms and conditions of the Creative Commons Attribution (CC BY) license (http://creativecommons.org/licenses/by/4.0/).
Share and Cite
Abdallah, M.A.B.; Durfee, N.; Mata-Gonzalez, R.; Ochoa, C.G.; Noller, J.S. Water Use and Soil Moisture Relationships on Western Juniper Trees at Different Growth Stages. Water 2020, 12, 1596. https://doi.org/10.3390/w12061596
Abdallah MAB, Durfee N, Mata-Gonzalez R, Ochoa CG, Noller JS. Water Use and Soil Moisture Relationships on Western Juniper Trees at Different Growth Stages. Water. 2020; 12(6):1596. https://doi.org/10.3390/w12061596
Chicago/Turabian StyleAbdallah, Mohamed A. B., Nicole Durfee, Ricardo Mata-Gonzalez, Carlos G. Ochoa, and Jay S. Noller. 2020. "Water Use and Soil Moisture Relationships on Western Juniper Trees at Different Growth Stages" Water 12, no. 6: 1596. https://doi.org/10.3390/w12061596
APA StyleAbdallah, M. A. B., Durfee, N., Mata-Gonzalez, R., Ochoa, C. G., & Noller, J. S. (2020). Water Use and Soil Moisture Relationships on Western Juniper Trees at Different Growth Stages. Water, 12(6), 1596. https://doi.org/10.3390/w12061596

