A New Approach to Use Load Duration Curves to Evaluate Water Quality: A Study in the Doce River Basin, Brazil
Abstract
1. Introduction
2. Materials and Methods
2.1. Study Area
2.2. Data Used in the Study
2.3. Load Estimation
2.4. Burr XII Curve
2.5. Estimation of the Needed E. coli Load Reduction
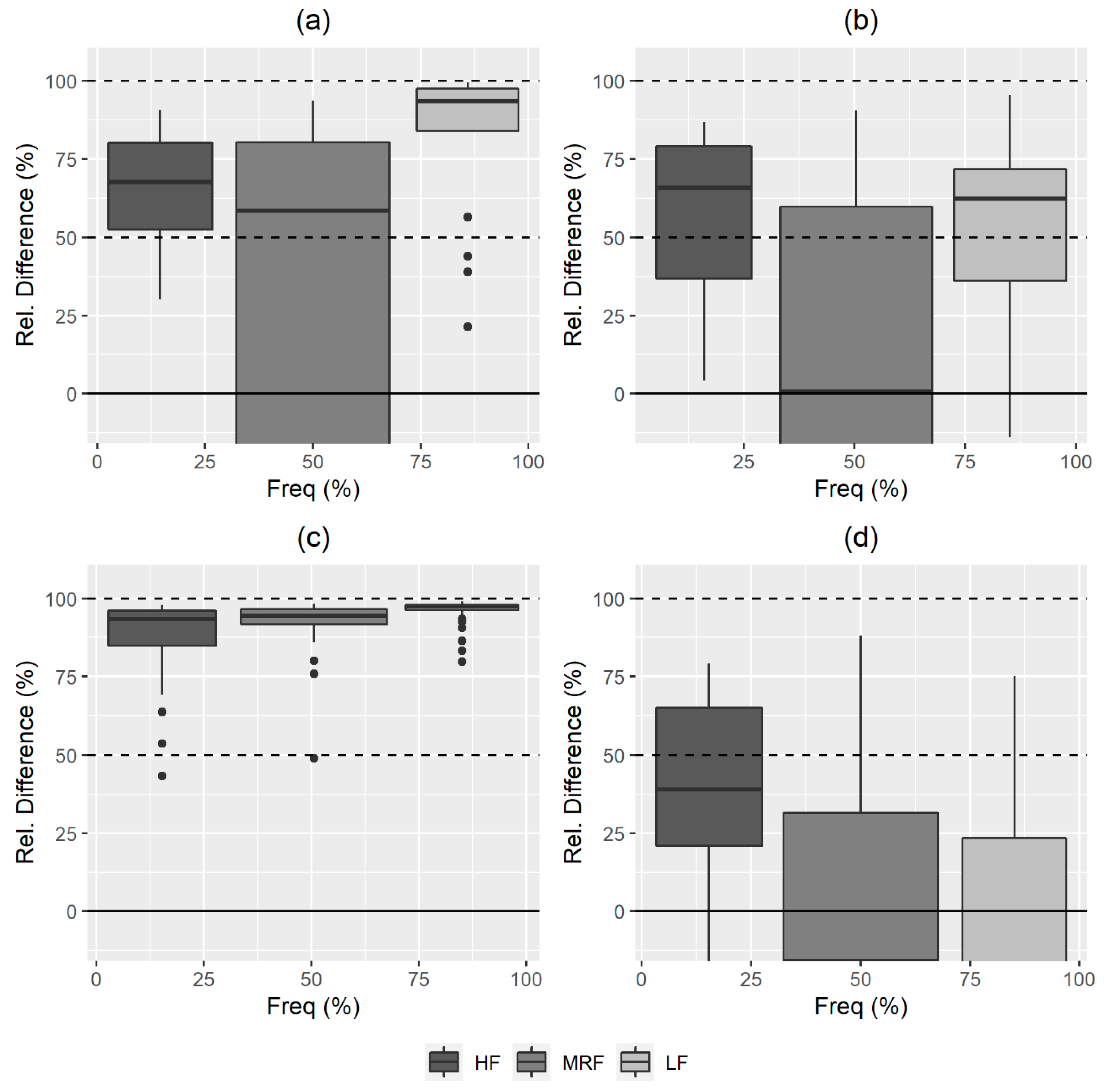
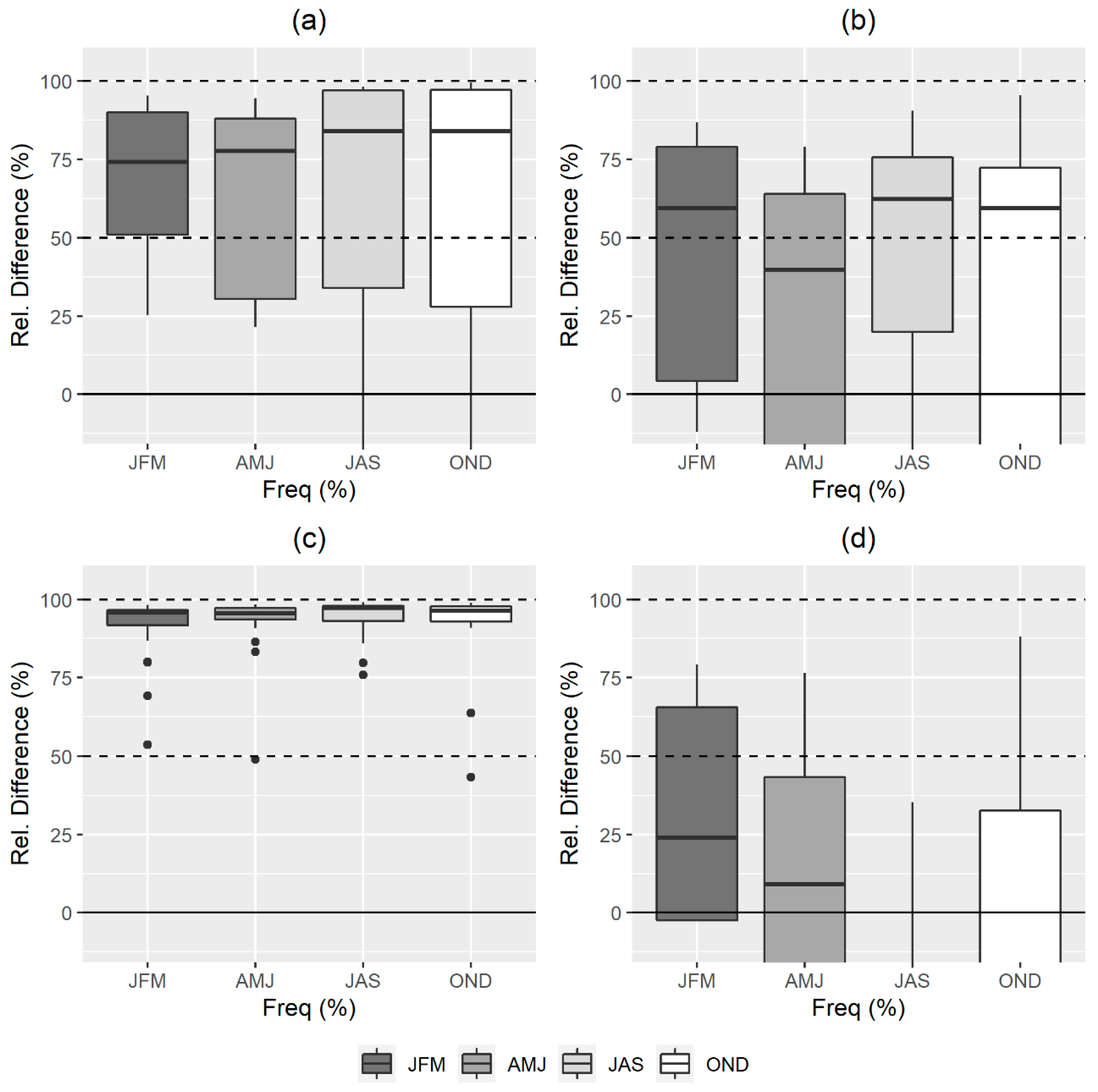
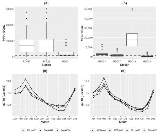
3. Results
3.1. Water Quality and Streamflow Patterns
3.2. Piracicaba Basin
3.3. Piranga Basin
4. Discussion
4.1. E. coli Concentration and Streamflow Patterns
4.2. E. coli Load Patterns in the Piracicaba Basin
4.3. E. coli Load Patterns in the Piranga Basin
4.4. E. coli Load Variation in Piracicaba and Piranga Basins
5. Conclusions
Author Contributions
Funding
Acknowledgments
Conflicts of Interest
References
- Li, M.; Shao, Q.; Zhang, L.; Chiew, F.H. A New Regionalization Approach and Its Application to Predict Flow Duration Curve in Ungauged Basins. J. Hydrol. 2010, 389, 137–145. [Google Scholar] [CrossRef]
- Pruski, F.F.; de Araújo Nunes, A.; Pruski, P.L.; del Giudice Rodriguez, R. Improved Regionalization of Streamflow by Use of the Streamflow Equivalent of Precipitation as an Explanatory Variable. J. Hydrol. 2013, 476, 52–71. [Google Scholar] [CrossRef]
- Nejadhashemi, A.P.; Woznicki, S.A. Comparison of Four Models (STEPL, PLOAD, L-THIA, AND SWAT) in Simulating Sediment, Nitrogen, and Phosphorus Loads and Pollutant Source Areas. Trans. ASABE 2011, 54, 875–890. [Google Scholar] [CrossRef]
- Wu, Y.; Chen, J. Investigating the Effects of Point Source and Nonpoint Source Pollution on the Water Quality of the East River (Dongjiang) in South China. Ecol. Indic. 2013, 32, 294–304. [Google Scholar] [CrossRef]
- Shrestha, N.K.; Leta, O.T.; De Fraine, B.; Garcia-Armisen, T.; Ouattara, N.K.; Servais, P.; van Griensven, A.; Bauwens, W. Modelling Escherichia Coli Dynamics in the River Zenne (Belgium) Using an OpenMI Based Integrated Model. J. Hydroinf. 2014, 16, 354–374. [Google Scholar] [CrossRef]
- Beskow, S.; Mello, C.R.D.; Norton, L.D. Development, Sensitivity and Uncertainty Analysis of LASH Model. Sci. Agric. 2011, 68, 265–274. [Google Scholar] [CrossRef][Green Version]
- Paiva, R.C.D.; Collischonn, W.; Bonnet, M.P.; De Gonçalves, L.G.G. On the Sources of Hydrological Prediction Uncertainty in the Amazon. Hydrol. Earth Syst. Sci. 2012, 16, 3127–3137. [Google Scholar] [CrossRef]
- De Bressiani, D.A.; Gassman, P.W.; Fernandes, J.G.; Garbossa, L.H.P.; Srinivasan, R.; Bonumá, N.B.; Mendiondo, E.M. A Review of Soil and Water Assessment Tool (SWAT) Applications in Brazil: Challenges and Prospects. Int. J. Agric. Biol. Eng. 2015, 8, 1–27. [Google Scholar] [CrossRef]
- De Mello, C.R.; Norton, L.D.; Pinto, L.C.; Beskow, S.; Curi, N. Agricultural Watershed Modeling: A Review for Hydrology and Soil Erosion Processes. Ciência e Agrotecnologia 2016, 40, 7–25. [Google Scholar] [CrossRef]
- Liao, H.; Krometis, L.A.H.; Cully Hession, W.; Benitez, R.; Sawyer, R.; Schaberg, E.; von Wagoner, E.; Badgley, B.D. Storm Loads of Culturable and Molecular Fecal Indicators in an Inland Urban Stream. Sci. Total Environ. 2015, 530–531, 347–356. [Google Scholar] [CrossRef] [PubMed]
- Bonta, J.V.; Cleland, B. Incorporating Natural Variability, Uncertainty, and Risk into Water Quality Evaluations Using Duration Curves. J. Am. Water Resour. Assoc. 2003, 39, 1481–1496. [Google Scholar] [CrossRef]
- Johnson, S.L.; Whiteaker, T.; Maidment, D.R. A Tool for Automated Load Duration Curve Creation. J. Am. Water Resour. Assoc. 2009, 45, 654–663. [Google Scholar] [CrossRef]
- Cleland, B.R. TMDL Development from the “Bottom up”—Part III: Duration Curves and Wet-Weather Assessments. Proceedings of the Water Environment Federation. January 2003, pp. 1740–1766. Available online: https://www.researchgate.net/publication/228822472_TMDL_Development_from_the_Bottom_Up-_PART_III_Durations_Curves_and_Wet-Weather_Assessments (accessed on 14 March 2020).
- Teague, A.; Bedient, P.B.; Guven, B. Targeted Application of Seasonal Load Duration Curves Using Multivariate Analysis in Two Watersheds Flowing into Lake Houston. J. Am. Water Resour. Assoc. 2011, 47, 620–634. [Google Scholar] [CrossRef]
- Stallard, M.A.; Otter, R.R.; Winesett, S.; Barbero, M.; Bruce, M.; Layton, A.; Bailey, F.C. A Watershed Analysis of Seasonal Concentration- and Loading-Based Results for Escherichia Coli in Inland Waters. Bull. Environ. Contam. Toxicol. 2016, 97, 838–842. [Google Scholar] [CrossRef] [PubMed]
- Cleland, B. TMDL Development from the “Bottom up”—Part II: Using Duration Curves to Connect the Pieces. In Proceedings of the National TMDL Science and Policy 2002 Specialty Conference, Phoenix, AZ, USA, 13–16 November 2002. [Google Scholar]
- Cunha, D.G.F.; Calijuri, M.C. Análise Probabilística de Ocorrência de Incompatibilidade Da Qualidade Da Água Com o Enquadramento Legal de Sistemas Aquáticos—Estudo de Caso Do Rio Pariquera-Açu (SP). Eng. Sanitária e Ambient. 2010, 15, 337–346. [Google Scholar] [CrossRef][Green Version]
- Cunha, F.D.G.; Calijuri, C.; Mendiondo, E.M. Integração Entre Curvas de Permanência de Quantidade e Qualidade Da Água Como Uma Ferramenta Para a Gestão Eficiente Dos Recursos Hídricos. Eng. Sanitária e Ambient. 2012, 17, 369–376. [Google Scholar] [CrossRef][Green Version]
- Teodoro, A.; Ide, C.N.; Ribeiro, M.L.; Broch, S.A.O.; Silva, J.B.D. Implementação Do Conceito Capacidade de Diluição de Efluentes No Modelo de Qualidade Da Água QUAL-UFMG: Estudo de Caso No Rio Taquarizinho (MS). Eng. Sanit. e Ambient. 2013, 18, 275–288. [Google Scholar] [CrossRef]
- Marques, L.O.D.A.; Taffarello, D.; Calijuri, M.D.C.; Mendiondo, E.M.; Ferreira, M.D.S.; Cunha, D.G.F. Phosphorus and Thermotolerant Coliforms’ Loads in Brazilian Watersheds with Limited Data: Considerations on the Integrated Analysis of Water Quality and Quantity. Rev. Bras. Recur. Hídricos 2019, 24, 1–13. [Google Scholar] [CrossRef]
- United States Environmental Protection Agency. An Approach for Using Load Duration Curves in the Development of TMDLs; USEPA: Washington, DC, USA, 2007.
- United States Environmental Protection Agency. Options for the Expression of Daily Loads in TMDLs; USEPA: Washington, DC, USA, 2007.
- Cleveland, W.S. Robust Locally Weighted Regression and Smoothing Scatterplots. J. Am. Stat. Assoc. 1979, 74, 829–836. [Google Scholar] [CrossRef]
- Shao, Q.; Wong, H.; Xia, J.; Ip, W.C. Models for Extremes Using the Extended Three-Parameter Burr XII System with Application to Flood Frequency Analysis. Hydrol. Sci. J. 2004, 49, 685–701. [Google Scholar] [CrossRef]
- Shao, Q.; Zhang, L.; Chen, Y.D.; Singh, V.P. A New Method for Modelling Flow Duration Curves and Predicting Streamflow Regimes under Altered Land-Use Conditions. Hydrol. Sci. J. 2009, 54, 606–622. [Google Scholar] [CrossRef]
- Fernandes, G.W.; Goulart, F.F.; Ranieri, B.D.; Coelho, M.S.; Dales, K.; Boesche, N.; Bustamante, M.; Carvalho, F.A.; Carvalho, D.C.; Dirzo, R.; et al. Deep into the Mud: Ecological and Socio-Economic Impacts of the Dam Breach in Mariana, Brazil. Nat. e Conserv. 2016, 14, 35–45. [Google Scholar] [CrossRef]
- De Melo, M.C.; de Mendes, R.S.; da Fonseca, M.; Aquino, F.A.; Rodrigues, A.F. Environmental Monitoring Planning in River Basins: The Case of Pig Farming in River Piranga Basin. Caminhos Geogr. 2017, 18, 454–471. [Google Scholar] [CrossRef][Green Version]
- Nunes, L.G.D.P.; Oliveira, M.D.V.; de Souza, A.A.; Lopes, L.D.F.; Dias, P.C.E.S.; Nogueira, G.B.; Souza, M.A.A.D. Water Quality Comparison between a Supply Network and Household Reservoirs in One of the Oldest Cities in Brazil. Int. J. Environ. Health Res. 2019, 29, 173–180. [Google Scholar] [CrossRef]
- Kim, J.; Engel, B.A.; Park, Y.S.; Theller, L.; Chaubey, I.; Kong, D.S.; Lim, K.J. Development of Web-Based Load Duration Curve System for Analysis of Total Maximum Daily Load and Water Quality Characteristics in a Waterbody. J. Environ. Manag. 2012, 97, 46–55. [Google Scholar] [CrossRef]
- Benham, B.L.; Baffaut, C.; Zeckoski, R.W.; Mankin, K.R.; Pachepsky, Y.A.; Sadeghi, A.M.; Brannan, K.M.; Soupir, M.L.; Habersack, M.J. Modeling Bacteria Fate and Transport in Watersheds to Support TMDLs. Trans. ASABE 2006, 49, 987–1002. [Google Scholar] [CrossRef]
- De Serrano, L.O.; Ribeiro, R.B.; Borges, A.C.; Pruski, F.F. Low-Flow Seasonality and Effects on Water Availability throughout the River Network. Water Resour. Manag. 2020. [Google Scholar] [CrossRef]
- Oliveira, F.A. Procedimentos Para Aprimorar a Regionalização de Vazões: Estudo de Caso Na Bacia Do Rio Grande. Master’s Thesis, Federal University of Vicosa, Viçosa, Brazil, April 2008; p. 106. [Google Scholar]
- De Sousa, J.R.C. Hydrology Plus: Sistema Computacional Para Estudos Meteorológicos e Hidrológicos; Universidade Federal de Viçosa: Viçosa, Brazil, 2017. [Google Scholar]
- Shen, J.; Zhao, Y. Combined Bayesian Statistics and Load Duration Curve Method for Bacteria Nonpoint Source Loading Estimation. Water Res. 2010, 44, 77–84. [Google Scholar] [CrossRef]
- CONAMA, Environment National Council (Brazil). Resolution 357: Provides the Classification of Water Bodies and Environmental Guidelines for Its Setting as Well as Establishes the Conditions and Standards of Effluent Discharge, and Give Olher Measures; Ministry of the Environment: Brasilia, Brazil, 2005; p. 27.
- Babbar-Sebens, M.; Karthikeyan, R. Consideration of Sample Size for Estimating Contaminant Load Reductions Using Load Duration Curves. J. Hydrol. 2009, 372, 118–123. [Google Scholar] [CrossRef]
- Zhang, Q.; Yang, L.; Song, D. Environmental Effect of Decentralization on Water Quality near the Border of Cities: Evidence from China’s Province-Managing-County Reform. Sci. Total Environ. 2020, 708, 1–11. [Google Scholar] [CrossRef]
- Chin, D.A. Linking Pathogen Sources to Water Quality in Small Urban Streams. J. Environ. Eng. 2010, 136, 249–253. [Google Scholar] [CrossRef]
- Lebo, M.E.; Paerl, H.W.; Peierls, B.L. Evaluation of Progress in Achieving TMDL Mandated Nitrogen Reductions in the Neuse River Basin, North Carolina. Environ. Manag. 2012, 49, 253–266. [Google Scholar] [CrossRef] [PubMed]
- Badgley, B.D.; Steele, M.K.; Cappellin, C.; Burger, J.; Jian, J.; Neher, T.P.; Orentas, M.; Wagner, R. Fecal Indicator Dynamics at the Watershed Scale: Variable Relationships with Land Use, Season, and Water Chemistry. Sci. Total Environ. 2019, 697, 134113. [Google Scholar] [CrossRef]
- Harmel, R.D.; Karthikeyan, R.; Gentry, T.; Srinivasan, R. Effects of Agricultural Management, Land Use on E. Coli Concentrations in Runoff and Streamflow. Trans. ASABE 2010, 53, 1833–1841. [Google Scholar] [CrossRef]











| Basin | Quality Gauge | Streamflow Gauge | Drainage Area (km2) | City | Population |
|---|---|---|---|---|---|
| Piracicaba | RD025 | 56610000 | 1160 | Rio Piracicaba | 11,614 |
| RD029 | 56659998 | 3060 | Nova Era | 15,837 | |
| RD031 | 56696000 | 5270 | Timóteo/Cel. Fabriciano | 85,888 and 106,945 | |
| Piranga | RD001 | 56028000 | 1400 | Piranga | 6,156 |
| RD007 | 56075000 | 4260 | Porto Firme | 5,081 | |
| RD013 | 56110005 | 6230 | Ponte Nova | 53,169 | |
| RD023 | 56539000 | 15,900 | Córrego Novo/Marliéria | 2,020 and 2,924 |
| Gauge | HF (%) | MRF (%) | LF (%) | ||
| 56610000/RD025 | 85.3 | 94.4 | 99.7 | ||
| 56659998/RD029 | 80.7 | 94.4 | 99.4 | ||
| 56696000/RD031 | 90.0 | 95.3 | 99.9 | ||
| JFM (%) | AMJ (%) | JAS (%) | OND (%) | ||
| 56610000/RD025 | 90.5 | 93.85 | 98.3 | 99.6 | |
| 56659998/RD029 | 86.6 | 94.4 | 98.1 | 97.9 | |
| 56696000/RD031 | 91.1 | 96.1 | 98.9 | 99.8 | |
| Gauge | HF (%) | MRF (%) | LF (%) | ||
| 56028000/RD001 | 67.5 | 58.5 | 93.5 | ||
| 56075000/RD007 | 65.9 | - | 62.4 | ||
| 56110005/RD013 | 93.5 | 94.4 | 97.4 | ||
| 56539000/RD023 | 39.1 | - | - | ||
| JFM (%) | AMJ (%) | JAS (%) | OND (%) | ||
| 56028000/RD001 | 74.2 | 77.7 | 84.2 | 84.0 | |
| 56075000/RD007 | 59.4 | 39.8 | 62.4 | 59.4 | |
| 56110005/RD013 | 95.7 | 95.6 | 97.3 | 96.4 | |
| 56539000/RD023 | 23.9 | 9.1 | - | - | |
© 2020 by the authors. Licensee MDPI, Basel, Switzerland. This article is an open access article distributed under the terms and conditions of the Creative Commons Attribution (CC BY) license (http://creativecommons.org/licenses/by/4.0/).
Share and Cite
Serrano, L.d.O.; Borges, A.C.; Pruski, F.F.; Melo, M.C.d. A New Approach to Use Load Duration Curves to Evaluate Water Quality: A Study in the Doce River Basin, Brazil. Water 2020, 12, 811. https://doi.org/10.3390/w12030811
Serrano LdO, Borges AC, Pruski FF, Melo MCd. A New Approach to Use Load Duration Curves to Evaluate Water Quality: A Study in the Doce River Basin, Brazil. Water. 2020; 12(3):811. https://doi.org/10.3390/w12030811
Chicago/Turabian StyleSerrano, Ligia de Oliveira, Alisson Carraro Borges, Fernando Falco Pruski, and Marília Carvalho de Melo. 2020. "A New Approach to Use Load Duration Curves to Evaluate Water Quality: A Study in the Doce River Basin, Brazil" Water 12, no. 3: 811. https://doi.org/10.3390/w12030811
APA StyleSerrano, L. d. O., Borges, A. C., Pruski, F. F., & Melo, M. C. d. (2020). A New Approach to Use Load Duration Curves to Evaluate Water Quality: A Study in the Doce River Basin, Brazil. Water, 12(3), 811. https://doi.org/10.3390/w12030811

