Importance of Precipitation on the Upper Ocean Salinity Response to Typhoon Kalmaegi (2014)
Abstract
1. Introduction
2. Data and Methodology
2.1. TC Data
2.2. Satellite Data
2.3. In Situ Observations
2.4. The Numerical Simulation Setups
3. Results
3.1. The Atmospheric Evolution Results
3.2. Observed Salinity Responses
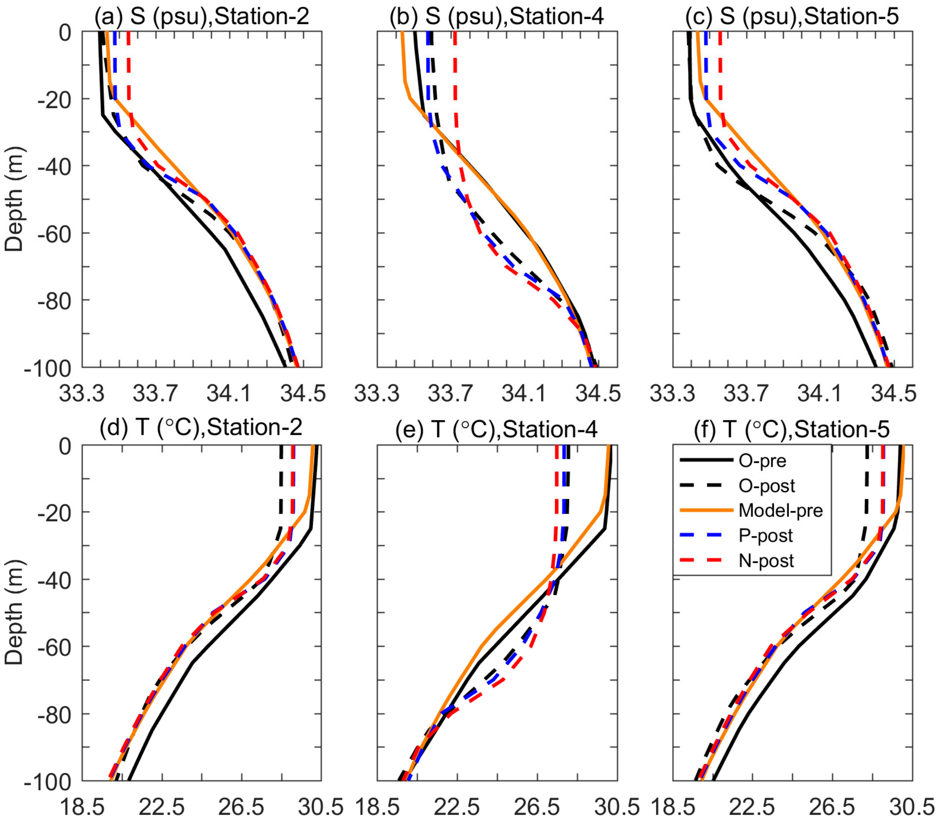
3.3. Precipitation Effects on Ocean Temperature and Salinity
3.4. Precipitation Effects Reflected by Dynamic Processes
4. Discussion and Conclusions
Author Contributions
Funding
Acknowledgments
Conflicts of Interest
References
- Jacob, S.D.; Shay, L.K.; Mariano, A.J.; Black, P.G. The 3D oceanic mixed layer response to Hurricane Gilbert. J. Phys. Oceanogr. 2000, 30, 1407–1429. [Google Scholar] [CrossRef]
- Price, J.F. Upper ocean response to a Hurricane. J. Phys. Oceanogr. 1981, 11, 153–175. [Google Scholar] [CrossRef]
- Yue, X.; Zhang, B.; Liu, G.; Li, X.; Zhang, H.; He, Y. Upper ocean response to typhoon Kalmaegi and Sarika in the South China Sea from multiple-satellite observations and numerical simulations. Remote Sens. 2018, 10, 348. [Google Scholar] [CrossRef]
- Zhang, H.; Chen, D.; Zhou, L.; Liu, X.; Ding, T.; Zhou, B. Upper ocean response to typhoon Kalmaegi (2014). J. Geophys. Res. Ocean. 2016, 121, 6520–6535. [Google Scholar] [CrossRef]
- Chiang, T.-L.; Wu, C.-R.; Oey, L.-Y. Typhoon Kai-Tak: An ocean’s perfect storm. J. Phys. Oceanogr. 2011, 41, 221–233. [Google Scholar] [CrossRef]
- Glenn, S.M.; Miles, T.N.; Seroka, G.N.; Xu, Y.; Forney, R.K.; Yu, F.; Roarty, H.; Schofield, O.; Kohut, J. Stratified coastal ocean interactions with tropical cyclones. Nat. Commun. 2016, 7, 10887. [Google Scholar] [CrossRef]
- Black, W.J.; Dickey, T.D. Observations and analyses of upper ocean responses to tropical storms and hurricanes in the vicinity of Bermuda. J. Geophys. Res. 2008, 113, C08009. [Google Scholar] [CrossRef]
- Cheng, L.; Zhu, J.; Sriver, R.L. Global representation of tropical cyclone-induced short-term ocean thermal changes using Argo data. Ocean Sci. 2015, 11, 719–741. [Google Scholar] [CrossRef]
- Ning, J.; Xu, Q.; Feng, T.; Zhang, H.; Wang, T. Upper Ocean Response to Two Sequential Tropical Cyclones over the Northwestern Pacific Ocean. Remote Sens. 2019, 11, 2431. [Google Scholar] [CrossRef]
- Zhang, H.; Liu, X.; Wu, R.; Liu, F.; Yu, L.; Shang, X.; Qi, Y.; Wang, Y.; Song, X.; Xie, X.; et al. Ocean Response to Successive Typhoons Sarika and Haima (2016) Based on Data Acquired via Multiple Satellites and Moored Array. Remote Sens. 2019, 11, 2360. [Google Scholar] [CrossRef]
- Price, J.F.; Sanford, T.B.; Forristall, G.Z. Forced stage response to a moving Hurricane. J. Phys. Oceanogr. 1994, 24, 233–260. [Google Scholar] [CrossRef]
- Emanuel, K.A. An air-sea interaction theory for tropical cyclones. Part I: Steady-state maintenance. J. Atmos. Sci. 1986, 43, 585–605. [Google Scholar] [CrossRef]
- Emanuel, K.A. Thermodynamic control of hurricane intensity. Nature 1999, 401, 665–669. [Google Scholar] [CrossRef]
- Bender, M.A.; Ginis, I.; Kurihara, Y. Numerical simulations of tropical cyclone-ocean interaction with a high-resolution coupled model. J. Geophys. Res. 1993, 98, 23245–23263. [Google Scholar] [CrossRef]
- Emanuel, K.; Desautels, C.; Holloway, C.; Korty, R. Environmental control of tropical cyclone intensity. J. Geophys. Res. 2004, 106, 14771–14781. [Google Scholar] [CrossRef]
- Cooper, N.S. The effect of salinity on tropical ocean models. J. Phys. Oceanogr. 1988, 18, 697–707. [Google Scholar] [CrossRef]
- Jourdain, N.C.; Lengaigne, M.; Vialard, J.; Madec, G.; Menkes, C.E.; Vincent, E.M.; Jullien, S.; Barnier, B. Observation-based estimates of surface cooling inhibition by heavy rainfall under tropical cyclones. J. Phys. Oceanogr. 2013, 43, 205–221. [Google Scholar] [CrossRef]
- Kil, B.; Burrage, D.; Wesson, J.; Howden, S. Sea surface signature of tropical cyclones using microwave remote sensing. In Occean Sensing and Monitoring V, Proceedings of the SPIE Defense, Security, and Sensing, Baltimore, MD, USA, 29 April–3 May 2013; SPIE: Baltimore, MD, USA, 2013; Volume 8724, pp. 1–15. [Google Scholar] [CrossRef]
- Miller, J.R. The salinity effect in a mixed layer ocean model. J. Phys. Oceanogr. 1976, 6, 29–35. [Google Scholar] [CrossRef]
- Vissa, N.K.; Satyanarayana, A.N.V.; Kumar, B.P. Response of upper ocean and impact of barrier layer on Sidr cyclone induced sea surface cooling. Ocean Sci. J. 2013, 48, 279–288. [Google Scholar] [CrossRef]
- Lukas, R.; Lindstrom, E. The mixed layer of the western equatorial Pacific Ocean. J. Geophys. Res. 1991, 96, 3343–3357. [Google Scholar] [CrossRef]
- Sprintall, J.; Tomczak, M. Evidence of the barrier layer in the surface layer of the tropics. J. Geophys. Res. 1992, 97, 7305–7316. [Google Scholar] [CrossRef]
- Balaguru, K.; Chang, P.; Saravanan, R.; Leung, L.R.; Xu, Z.; Li, M.; Hsieh, J.S. Ocean barrier layers’ effect on tropical cyclone intensification. Proc. Natl. Acad. Sci. USA 2012, 109, 14343–14347. [Google Scholar] [CrossRef]
- Perigaud, C. Impact of interannual rainfall anomalies on Indian Ocean salinity and temperature variability. J. Geophys. Res. 2003, 108, 3319. [Google Scholar] [CrossRef]
- Yan, Y.; Li, L.; Wang, C. The effects of oceanic barrier layer on the upper ocean response to tropical cyclones. J. Geophys. Res. Ocean. 2017, 122, 4829–4844. [Google Scholar] [CrossRef]
- Neetu, S.; Lengaigne, M.; Vincent, E.M.; Vialard, J.; Madec, G.; Samson, G.; Ramesh Kumar, M.R.; Durand, F. Influence of upper-ocean stratification on tropical cyclone-induced surface cooling in the Bay of Bengal. J. Geophys. Res. Ocean. 2012, 117, C12020. [Google Scholar] [CrossRef]
- Bond, N.A.; Cronin, M.F.; Sabine, C.; Kawai, Y.; Ichikawa, H.; Freitag, P.; Ronnholm, K. Upper ocean response to Typhoon Choi-Wan as measured by the kuroshio extension observatory mooring. J. Geophys. Res. 2011, 116, C02031. [Google Scholar] [CrossRef]
- Domingues, R.; Goni, G.; Bringas, F.; Lee, S.K.; Kim, H.S.; Halliwell, G.; Dong, J.; Morell, J.; Pomales, L. Upper ocean response to Hurricane Gonzalo (2014): Salinity effects revealed by targeted and sustained underwater glider observations. Geophys. Res. Lett. 2015, 42, 7131–7138. [Google Scholar] [CrossRef]
- Chaudhuri, D.; Sengupta, D.; D’Asaro, E.; Venkatesan, R.; Ravichandran, M. Response of the salinity-stratified Bay of Bengal to cyclone Phailin. J. Phys. Oceanogr. 2019, 49, 1121–1140. [Google Scholar] [CrossRef]
- Liu, Z.; Xu, J.; Zhu, B.; Sun, C.; Zhang, L. The upper ocean response to tropical cyclones in the northwestern Pacific analyzed with Argo data. Chin. J. Oceanol. Limnol. 2007, 25, 123–131. [Google Scholar] [CrossRef]
- Grodsky, S.A.; Reul, N.; Lagerloef, G.; Reverdin, G.; Carton, J.A.; Chapron, B.; Quilfen, Y.; Kudryavtsev, V.N.; Kao, H.Y. Haline hurricane wake in the Amazon/Orinoco plume: AQUARIUS/SACD and SMOS observations. Geophys. Res. Lett. 2012, 39, L20603. [Google Scholar] [CrossRef]
- Liu, Z.; Xu, J.; Sun, C.; Wu, X. An upper ocean response to Typhoon Bolaven analyzed with Argo profiling floats. Acta Oceanol. Sin. 2014, 33, 90–101. [Google Scholar] [CrossRef]
- Brand, S. The effects on a tropical cyclone of cooler surface waters due to upwelling and mixing produced by a prior tropical cyclone. J. Appl. Meteorol. 1971, 10, 865–874. [Google Scholar] [CrossRef]
- Lin, I.I.; Wu, C.-C.; Pun, I.-F.; Ko, D.-S. Upper-ocean thermal structure and the Western North Pacific category 5 Typhoons. Part I: Ocean features and the category 5 Typhoons’ intensification. Monthly Weather Rev. 2008, 136, 3288–3306. [Google Scholar] [CrossRef]
- Sandery, P.A.; Brassington, G.B.; Craig, A.; Pugh, T. Impacts of ocean–atmosphere coupling on tropical cyclone intensity change and ocean prediction in the Australian region. Monthly Weather Rev. 2010, 138, 2074–2091. [Google Scholar] [CrossRef]
- Lin, S.; Zhang, W.-Z.; Shang, S.-P.; Hong, H.-S. Ocean response to typhoons in the western North Pacific: Composite results from Argo data. Deep Sea Res. Part I Oceanogr. Res. Pap. 2017, 123, 62–74. [Google Scholar] [CrossRef]
- Vincent, E.M.; Lengaigne, M.; Vialard, J.; Madec, G.; Jourdain, N.C.; Masson, S. Assessing the oceanic control on the amplitude of sea surface cooling induced by tropical cyclones. J. Geophys. Res. Ocean. 2012, 117, C05023. [Google Scholar] [CrossRef]
- Maneesha, K.; Murty, V.S.N.; Ravichandran, M.; Lee, T.; Yu, W.; McPhaden, M.J. Upper ocean variability in the Bay of Bengal during the tropical cyclones Nargis and Laila. Prog. Oceanogr. 2012, 106, 49–61. [Google Scholar] [CrossRef]
- Ning, J.; Xu, Q.; Zhang, H.; Wang, T.; Fan, K. Impact of Cyclonic Ocean Eddies on Upper Ocean Thermodynamic Response to Typhoon Soudelor. Remote Sens. 2019, 11, 938. [Google Scholar] [CrossRef]
- Delcroix, T.; Henin, C.; Porte, V.; Arkin, P. Precipitation and sea-surface salinity in the tropical Pacific Ocean. Deep Sea Res. Part I Oceanogr. Res. Pap. 1996, 43, 1123–1141. [Google Scholar] [CrossRef]
- McPhaden, M.J.; Foltz, G.R.; Lee, T.; Murty, V.S.N.; Ravichandran, M.; Vecchi, G.A.; Vialard, J.; Wiggert, J.D.; Yu, L. Ocean-atmosphere interactions during Cyclone Nargis. EOS Trans. AGU 2009, 90, 53–54. [Google Scholar] [CrossRef]
- Dessier, A.; Donguy, J.R. The sea surface salinity in the tropical Atlantic between 10°S and 30°N—Seasonal and interannual variations (1977–1989). Deep Sea Res. Part I Oceanogr. Res. Pap. 1994, 41, 81–100. [Google Scholar] [CrossRef]
- Bingham, F.M.; Foltz, G.R.; McPhaden, M.J. Seasonal cycles of surface layer salinity in the Pacific Ocean. Ocean Sci. 2010, 6, 775–787. [Google Scholar] [CrossRef]
- Hsu, P.-C.; Ho, C.-R. Typhoon-induced ocean subsurface variations from glider data in the Kuroshio region adjacent to Taiwan. J. Oceanogr. 2019, 75, 1–21. [Google Scholar] [CrossRef]
- Jacob, S.D.; Koblinsky, C.J. Effects of precipitation on the upper-ocean response to a Hurricane. Monthly Weather Rev. 2007, 135, 2207–2225. [Google Scholar] [CrossRef]
- Zhang, H.; Wu, R.; Chen, D.; Liu, X.; He, H.; Tang, Y.; Ke, D.; Shen, Z.; Li, J.; Xie, J.; et al. Net modulation of upper ocean thermal structure by Typhoon Kalmaegi (2014). J. Geophys. Res. Ocean. 2018, 123, 7154–7171. [Google Scholar] [CrossRef]
- Ying, M.; Zhang, W.; Yu, H.; Lu, X.; Feng, J.; Fan, Y.; Zhu, Y.; Chen, D. An overview of the China meteorological administration tropical cyclone database. J. Atmos. Ocean. Technol. 2014, 31, 287–301. [Google Scholar] [CrossRef]
- The China Meteorological Administration (CMA) Tropical Cyclone Best Track Dataset. Available online: http://tcdata.typhoon.org.cn/zjljsjj_sm.html (accessed on 26 October 2017).
- Liang, J.; Ren, F.; Yang, X. Study on the differences between CMA and JTWC tropical cyclone datasets for northwest Pacific. Acta Oceanol. Sin. 2010, 32, 10–22. (In Chinese) [Google Scholar]
- Ren, F.; Liang, J.; Wu, G.; Dong, W.; Yang, X. Reliability analysis of climate change of tropical cyclone activity over the Western North Pacific. J. Clim. 2011, 24, 5887–5898. [Google Scholar] [CrossRef]
- Barnes, W.L.; Puschell, J.J.; Lowe, H.A.; Jeter, J.W.; Kus, S.M.; Hurt, W.T.; Gilman, D.; Rogers, D.L.; Hoelter, R.L.; Ravella, R. Japanese advanced meteorological imager: A next generation GEO imager for MTSAT-1R. Proc. SPIE 2002, 4814, 152–161. [Google Scholar] [CrossRef]
- Yi, L.; Thies, B.; Zhang, S.; Shi, X.; Bendix, J. Optical thickness and effective radius retrievals of low stratus and fog from MTSAT daytime data as a prerequisite for Yellow Sea Fog detection. Remote Sens. 2015, 8, 8. [Google Scholar] [CrossRef]
- Geo-Coordinate Mapped Data for Almost ALL Area GMS/MTSAT Covers. Available online: http://weather.is.kochi-u.ac.jp/archive-e.html (accessed on 26 October 2017).
- NOAA CPC Morphing Technique (“CMORPH”) Data. Available online: https://www.cpc.ncep.noaa.gov/products/janowiak/cmorph_description.html (accessed on 15 November 2017).
- Joyce, R.J.; Janowiak, J.E.; Arkin, P.A.; Xie, P. CMORPH: A method that produces global precipitation estimates from passive microwave and infrared data at high spatial and temporal resolution. J. Hydrometeorol. 2004, 5, 487–503. [Google Scholar] [CrossRef]
- Wu, Q.; Wang, Y. Comparison of oceanic multisatellite precipitation data from tropical rainfall measurement mission and global precipitation measurement mission datasets with rain gauge data from ocean buoys. J. Atmos. Ocean. Technol. 2019, 36, 903–920. [Google Scholar] [CrossRef]
- Price, J.F.; Weller, R.A.; Pinkel, R. Diurnal cycling: Observations and models of the upper ocean response to diurnal heating, cooling, and wind mixing. J. Geophys. Res. 1986, 91, 8411–8427. [Google Scholar] [CrossRef]
- Sanford, T.B.; Price, J.F.; Girton, J.B.; Webb, D.C. Highly resolved observations and simulations of the ocean response to a Hurricane. Geophys. Res. Lett. 2007, 34, L13604. [Google Scholar] [CrossRef]
- Guan, S.; Zhao, W.; Huthnance, J.; Tian, J.; Wang, J. Observed upper ocean response to Typhoon Megi (2010) in the Northern South China Sea. J. Geophys. Res. Ocean. 2014, 119, 3134–3157. [Google Scholar] [CrossRef]
- Jelesnianski, C.P. Numerical computations of storm surges without bottom stress. Monthly Weather Rev. 1966, 94, 379–394. [Google Scholar] [CrossRef]
- Oey, L.Y.; Ezer, T.; Wang, D.P.; Fan, S.J.; Yin, X.Q. Loop current warming by Hurricane Wilma. Geophys. Res. Lett. 2006, 33, L08613. [Google Scholar] [CrossRef]
- Chien, F.-C.; Liu, Y.-C.; Lee, C.-S. Heavy rainfall and southwesterly flow after the leaving of Typhoon Mindulle (2004) from Taiwan. J. Meteorol. Soc. Jpn. 2008, 86, 17–41. [Google Scholar] [CrossRef]
- Chien, F.-C.; Kuo, H.-C. On the extreme rainfall of Typhoon Morakot (2009). J. Geophys. Res. 2011, 116, D05104. [Google Scholar] [CrossRef]
- Corbosiero, K.L.; Molinari, J. The relationship between storm motion, vertical wind shear, and convective asymmetries in tropical cyclones. J. Atmos. Sci. 2003, 60, 366–376. [Google Scholar] [CrossRef]
- Xu, W.; Jiang, H.; Kang, X. Rainfall asymmetries of tropical cyclones prior to, during, and after making landfall in South China and Southeast United States. Atmos. Res. 2014, 139, 18–26. [Google Scholar] [CrossRef]
- Willoughby, H.E. Tropical cyclone eye thermodynamics. Monthly Weather Rev. 1998, 126, 3053–3067. [Google Scholar] [CrossRef]
- Sun, L.; Li, Y.X.; Yang, Y.J.; Wu, Q.Y.; Chen, X.T.; Li, Q.Y.; Li, Y.B.; Xian, T. Effects of super typhoons on cyclonic ocean eddies in the western North Pacific: A satellite data-based evaluation between 2000 and 2008. J. Geophys. Res. Ocean. 2014, 119, 5585–5598. [Google Scholar] [CrossRef]
- Liu, S.S.; Sun, L.; Wu, Q.Y.; Yang, Y.J. The responses of cyclonic and anticyclonic eddies to typhoon forcing: The vertical temperature-salinity structure changes associated with the horizontal convergence/divergence. J. Geophys. Res. Ocean. 2017, 122, 4974–4989. [Google Scholar] [CrossRef]











| Configuration | |
|---|---|
| Vertical layers | 160 |
| Vertical resolution | 10 m |
| Horizontal resolution | 16 km |
| Horizontal grids | 151 (across-track) × 801 (along-track) |
| Domain size | 2400 km (across-track) × 12,800 km (along-track) |
| Time interval | 120 s |
| Boundary condition | Radiation boundary condition |
| Wind field of TC | SLOSH method [60] |
| Coriolis parameter | 4.876 × 10−3 (at 18.7° N, the latitude of Station 3) |
| Inertial period | 37.33 h |
| Drag coefficient (Cd) | Cd × 103 = 1.2, W ≤ 11 m/s; = 0.49 + 0.065 W, 11 < W ≤ 19 m/s; = 1.364 + 0.0234 W − 0.0002 W2, 19 < W ≤ 100 m/s [61] |
| Surface heat fluxes | Not included |
| Surface freshwater flux | Include for ‘Pre’ simulation and exclude for ‘Nopre’ simulation |
© 2020 by the authors. Licensee MDPI, Basel, Switzerland. This article is an open access article distributed under the terms and conditions of the Creative Commons Attribution (CC BY) license (http://creativecommons.org/licenses/by/4.0/).
Share and Cite
Liu, F.; Zhang, H.; Ming, J.; Zheng, J.; Tian, D.; Chen, D. Importance of Precipitation on the Upper Ocean Salinity Response to Typhoon Kalmaegi (2014). Water 2020, 12, 614. https://doi.org/10.3390/w12020614
Liu F, Zhang H, Ming J, Zheng J, Tian D, Chen D. Importance of Precipitation on the Upper Ocean Salinity Response to Typhoon Kalmaegi (2014). Water. 2020; 12(2):614. https://doi.org/10.3390/w12020614
Chicago/Turabian StyleLiu, Fu, Han Zhang, Jie Ming, Jiayu Zheng, Di Tian, and Dake Chen. 2020. "Importance of Precipitation on the Upper Ocean Salinity Response to Typhoon Kalmaegi (2014)" Water 12, no. 2: 614. https://doi.org/10.3390/w12020614
APA StyleLiu, F., Zhang, H., Ming, J., Zheng, J., Tian, D., & Chen, D. (2020). Importance of Precipitation on the Upper Ocean Salinity Response to Typhoon Kalmaegi (2014). Water, 12(2), 614. https://doi.org/10.3390/w12020614

