Relationship between the Water Quality Elements of Water Bodies and the Hydrometric Parameters: Case Study in Lithuania
Abstract
1. Introduction
2. Materials and Methods
- Research on the indicators of physico-chemical quality elements. The concentrations of total nitrogen (Ntotal) and total phosphorus (Ptotal) were evaluated. The following analysis methods were applied: total nitrogen (Ntotal) was tested according to the method LST EN 13342-2002. Determination of nitrogen—Determination of bound nitrogen (TNb), following oxidation to nitrogen oxides EN 12260:2003 [33]; total phosphorus (Ptotal) studies were performed according to LST EN ISO 6878:2004 [34]
- Macrozoobenthos study samples taken from September 2016 to October 2018. Macrozoobenthos studies were conducted using the approved method LAND 57-2003 [35].
- Phytoplankton research. A total of 346 samples were taken. Phytoplankton studies were conducted for the LAND 53-2003 [36].
- Chlorophyll a is determined by the spectrophotometric method LAND 69-2005 [37]. Chlorophyll ‘a’ EQS was calculated in accordance with the Environmental Regulation of the Republic of Lithuania approved by the Minister of Environment of the Republic of Lithuania on 2005. December 28th Order no. D1-648 (Zinios, 2006, No. 53–123).
- The status of lakes by the reference index of macrophytes MRI principle is assessed by phytobenthos and macrophyte surveys in surface water bodies and ecological status by a macrophyte reference index report, 2016 [38].
- The status of lakes according to the Lithuanian fish index values LFI was evaluated according to the report of ‘Ichthyofauna and assessment of the ecological status of Lithuanian rivers and lakes by fish indicators’ in 2009–2013 [39].
3. Results
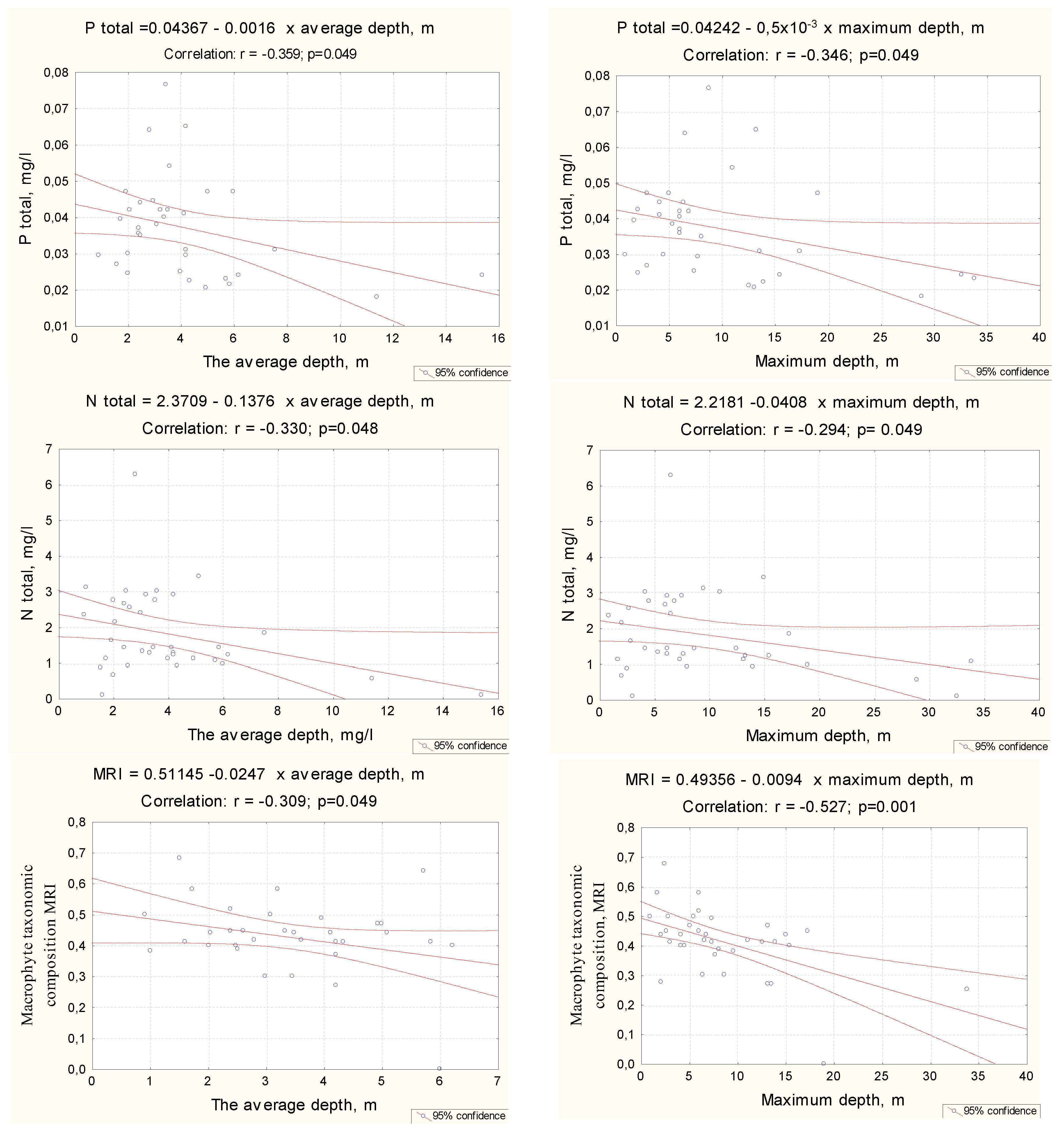
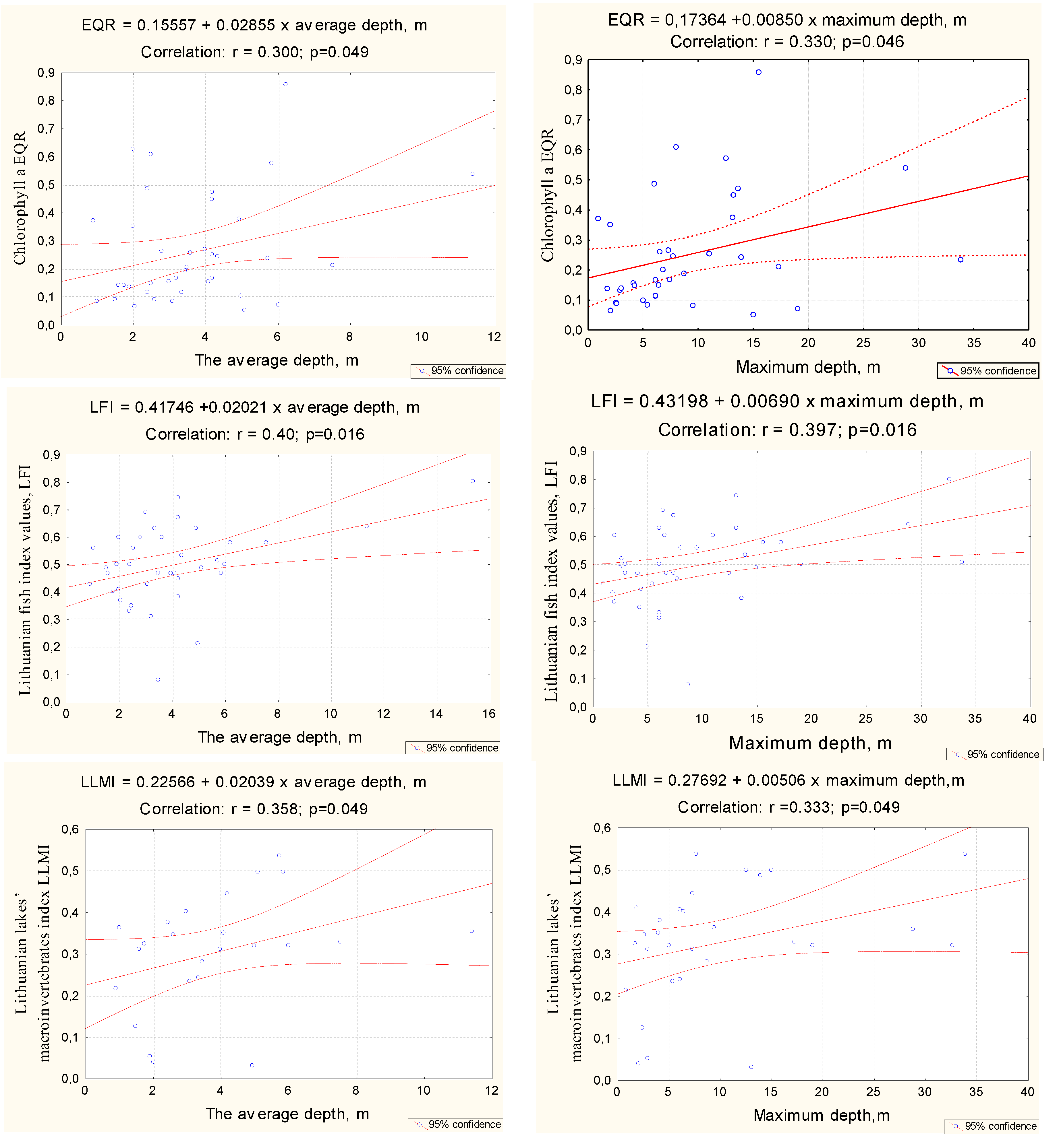
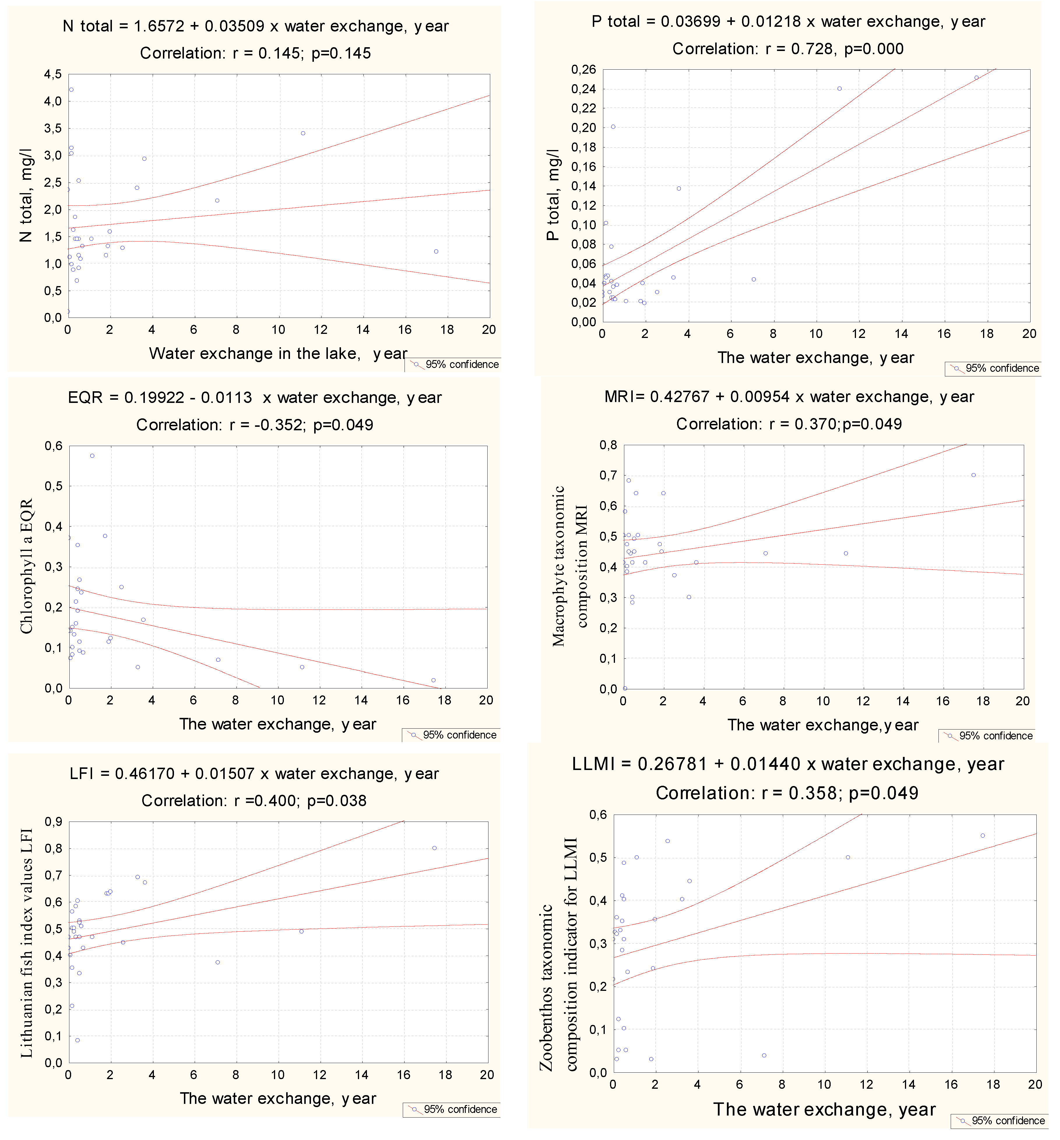
Relation of Hydromorphological Indicators with Hydrochemical and Hydrobiological Processes in Lakes
4. Discussion
- From a timely perspective, the bottoms of lakes are more a nutrient sediment than a source because there are opportunities for self-purification;
- The consequence of organic matter degradation is the high concentration of nutrients on the surface of the sediment. In the sub-aquifer, a ‘cloud of pollutants’ occurs, which is agile and easily succumbs to resuspension, spreading to other layers of water;
- The excretion of nutrients can occur only under certain conditions for a certain time. After cleaning, secondary pollution is reduced, but in time, after several months, it is back to the initial level before cleaning;
- Cleaning efficiency depends on cleaning technology: sludge suction is superior to mechanical cleaning because with mechanical cleaning, the water is highly roiled;
- Water quality issues (such as eutrophication) can be successfully solved by cheaper, properly selected alternative measures.
5. Conclusions
Author Contributions
Funding
Conflicts of Interest
References
- Kronvang, B.; Andersen, H.E.; Børgesen, C.; Dalgaard, T.; Larsen, S.E.; Bøgestrand, J.; Blicher-Mathiasen, G. Effects of policy measures implemented in Denmark on nitrogen pollution of the aquatic environment. Environ. Sci. Policy 2008, 11, 144–152. [Google Scholar] [CrossRef]
- Povilaitis, A. Source apportionment and retention of nutrients and organic matter in the merkys river basin in Southern Lithuania. J. Environ. Eng. Landsc. Manag. 2008, 16, 195–204. [Google Scholar] [CrossRef]
- Council Directive. Council Directive 91/676/EEC of 12 December 1991 Concerning the Protection of Waters against Pollution Caused by Nitrates from Agricultural Sources. Off. J. L 1991, 375, 1–8. [Google Scholar]
- European Communities. Directive 2000/60/EC of the European parliament and of the council of 23 October 2000, establishing a framework for community action in the field of water policy. Off. J. Eur. Commun. 2000, 327, 1–72. [Google Scholar]
- Arbačiauskas, K. Bentoso makrobestuburiai. Gyvūnijos monitoringo metodai/Bentos macrobubbles. Methods Anim. Monit. 2009, 1, 22–45. [Google Scholar]
- River and Lakes–Typology, Reference Conditions and Classification Systems. Common Implementation Strategy for the Water Framework Directive (2000/60/EC), Guidance Document 10; European Commission: Brussels, Belgium, 2003.
- Moss, B.; Stephen, D.; Alvarez, C.; Becares, E.; Bund, W.V.D.; Collings, S.E.; Donk, E.V.; Eyto, E.D.; Feldmann, T.; Fernández-Aláez, C.; et al. The determination of ecological status in shallow lakes—a tested system (ECOFRAME) for implementation of the European water framework directive. Aquat. Conserv. Mar. Freshw. Ecosyst. 2003, 13, 507–549. [Google Scholar] [CrossRef]
- Kelly, M.; Bennion, H.; Burgess, A.; Ellis, J.; Juggins, S.; Guthrie, R.; Jamieson, J.; Adriaenssens, V.; Yallop, M. Uncertainty in ecological status assessments of lakes and rivers using diatoms. Hydrobiologia 2009, 633, 5–15. [Google Scholar] [CrossRef]
- Hajnal, É.; Padisák, J. Analysis of long-term ecological status of Lake Balaton based on the ALMOBAL phytoplankton database. Hydrobiologia 2008, 599, 227–237. [Google Scholar] [CrossRef]
- Alahuhta, J.; Vuori, K.-M.; Hellsten, S.; Järvinen, M.; Olin, M.; Rask, M.; Palomäki, A. Defining the ecological status of small forest lakes using multiple biological quality elements and palaeolimnological analysis. Fundam. Appl. Limnol. 2009, 175, 203–216. [Google Scholar] [CrossRef]
- Nõges, P.; Bund, W.; Cardoso, A.; Solimini, A.; Heiskanen, A.-S. Assessment of the ecological status of European surface waters: A work in progress. Hydrobiologia 2009, 633, 197–211. [Google Scholar] [CrossRef]
- Solimini, A.; Sandin, L. The importance of spatial variation of benthic invertebrates for the ecological assessment of European lakes. Fundam. Appl. Limnol. Arch. Hydrobiol. 2012, 180, 85–89. [Google Scholar] [CrossRef]
- Rosendorf, P.; Vyskoč, P.; Prchalová, H.; Fiala, D. Estimated contribution of selected non-point pollution sources to the phosphorus and nitrogen loads in water bodies of the Vltava river basin. Soil Water Res. 2016, 11, 196–204. [Google Scholar] [CrossRef]
- Kyllmar, K.; Bechmann, M.; Deelstra, J.; Iital, A.; Blicher-Mathiesen, G.; Jansons, V.; Koskiaho, J.; Kowalczewska-Madura, K.; Gołdyn, R. Internal loading of phosphorus from sediments of Swarzedzkie lake (Western Poland). Pol. J. Environ. Stud. 2009, 18, 635–643. [Google Scholar]
- Povilaitis, A.; Šileika, A.; Deelstra, J.; Gaigalis, K.; Baigys, G. Nitrogen losses from small agricultural catchments in Lithuania. Agric. Ecosyst. Environ. 2014, 198, 54–64. [Google Scholar] [CrossRef]
- Bechmann, M. Long-term monitoring of nitrogen in surface and subsurface runoff from small agricultural dominated catchments in Norway. Agric. Ecosyst. Environ. 2014, 198, 13–24. [Google Scholar] [CrossRef]
- Brett, M.T.; Benjamin, M.M. A review and reassessment of lake phosphorus retention and the nutrient loading concept. Freshw. Biol. 2008, 53, 194–211. [Google Scholar] [CrossRef]
- Matysik, M.; Absalon, D.; Ruman, M. Surface water quality in relation to land cover in agricultural catchments (Liswarta River basin case study). Pol. J. Environ. Stud. 2015, 24, 175–184. [Google Scholar] [CrossRef]
- Dunalska, J. Influence of limited water flow in a pipeline on the nutrients budget in a lake restored by hypolimnetic withdrawal method. Pol. J. Environ. Stud. 2002, 11, 631–637. [Google Scholar]
- Piotrowicz, R.; Kraska, M.; Klimaszyk, P.; Szyper, H.; Jonika, T. Vegetation richness and nutrient loads in 16 lakes of Drawieński national park (Northern Poland). Pol. J. Environ. Stud. 2006, 15, 467–478. [Google Scholar]
- Smal, H.; Ligęza, S.; Baran, S.; Wójcikowska-Kapusta, A.; Obroślak, R. Nitrogen and phosphorus in bottom sediments of two small dam reservoirs. Pol. J. Environ. Stud. 2013, 22, 1479–1489. [Google Scholar]
- Jarosiewicz, A.; Witek, Z. Seasonal translocations of nitrogen and phosphorus in two lobelian lakes in the vicinity of bytów, (West Pomeranian lake district). Pol. J. Environ. Stud. 2009, 18, 827–836. [Google Scholar]
- Sobczyński, T.; Joniak, T. The variability and stability of water chemistry in a deep temperate lake: Results of long-term study of Eutrophication. Pol. J. Environ. Stud. 2013, 22, 227–237. [Google Scholar]
- Paliulis, D. Assessment of lake bottom sediment pollution by Lead and Cadmium. Pol. J. Environ. Stud. 2014, 23, 1273–1279. [Google Scholar]
- Howarth, R.W.; Billen, G.; Swaney, D.; Townsend, A.; Jaworsi, N.; Lajtha, K.; Caraco, T. Regional nitrogen budgets and riterine N and P fluxes for the drainages to the North Atlantic ocean: Natural and human influences. Biogeochemistry 1996, 35, 75. [Google Scholar] [CrossRef]
- Vassiljev, A.; Stalnacke, P. Statistical modeling of riterine nutrient sources and retention in the lake Peipsi drainage basin. Water Sci. Technol. 2005, 51, 309. [Google Scholar] [CrossRef] [PubMed][Green Version]
- Ahlgren, I.; Sorensen, F.; Waara, T.; Vrede, K. Nitrogen budgets in relation to microbial transformations in lakes. AMBIO J. Hum. Environ. 1994, 23, 367–377. [Google Scholar]
- Povilaitis, A. Nutrient retention in surface waters of Lithuania. Pol. J. Environ. Stud. 2011, 20, 1575–1584. [Google Scholar]
- Taminskas, J.; Linkevičienė, R.; Šimanauskienė, R. Loading and retention of phosphorus in riverine systems. Ekologija 2007, 53, 30. [Google Scholar]
- Lietuvos Respublikos Aplinkos Ministras; Įsakymas. Dėl Rizikos Vandens Telkinių Sąrašo Patvirtinimo. 2017 m. Lapkričio 7 d. Nr. D1-908/Minister of Environment of the Republic of Lithuania; Order; Approval of the List of Risk Water Bodies No. D1-908; Lietuvos Respublikos Aplinkos Ministras: Vilnius, Lithuania, 2017. [Google Scholar]
- Sirgėdas, M.; Raškauskaitė, M.; Česonienė, L. Ecological State Evaluation in Mastis Lake, Talkša Lake and Ekranas Pond ISSN 1822–1823 Human and Nature Safety; ASU: Lake Havasu, AZ, USA, 2016. [Google Scholar]
- Lithuanian Standard. LST EN ISO 5667-14:2016 Vandens Kokybė. Mėginių Ėmimas. 14 Dalis. Gamtinio Vandens Mėginių Ėmimo ir Tvarkymo Kokybės Užtikrinimo bei Kokybės Kontrolės Nurodymai (ISO 5667-14:2014) Water Quality-Sampling-Part 14: Guidance on Quality Assurance and Quality Control of Environmental Water Sampling and Handling (ISO 5667-14:2014) EN ISO 5667-14:2016; ISO: Geneva, Switzerland, 2014.
- Lithuanian Standard. LST EN 12260:2004 Vandens Kokybė. Azoto Nustatymas. Sujungtojo Azoto (TNb) Nustatymas Oksiduojant jį į Azoto Oksidą Water Quality-Determination of Nitrogen-Determination of Bound Nitrogen (TNb), Following Oxidation to Nitrogen Oxides EN 12260:2003; ISO: Geneva, Switzerland, 2003.
- Lithuanian Standard. LST EN ISO 6878:2004 Vandens Kokybė. Fosforo Nustatymas. Spektrometrinis Metodas, Vartojant amonio Molibdatą (ISO 6878:2004) Water Quality-Determination of Phosphorus-Ammonium Molybdate Spectrometric Method (ISO 6878:2004) EN ISO 6878:2004; ISO: Geneva, Switzerland, 2004.
- LAND 57-2003 “Methods of Macrozoobenthos Survey in Surface Water Bodies”; Minister of Environment of the Republic of Lithuania: Vilnius, Lithuania, 2003.
- LAND 53-2003 Methodology for Survey of Phytoplankton in Surface Water Bodies; Minister of Environment of the Republic of Lithuania: Vilnius, Lithuania, 2003.
- LAND 69-2005. The Chlorophyll a EQR Has Been Calculated According to the Normative Document of the Republic of Lithuania on Environmental Protection; Minister of Environment of the Republic of Lithuania: Vilnius, Lithuania, 2005; No. D1-648 (2010, No. 4-123).
- Egita, Z.; Inga, V.; Lauma, I.-K.; Ieva, U.-R. The Research of Phytobenthos and Macrophytes in the Surface Water Bodies and the Evaluation of Ecological Status According the Macrophyte Reference Index/Fitobentoso ir Makrofitų Tyrimų Paviršiniuose Vandens Telkiniuose ir Ekologinės Būklės Pagal Makrofitų Etaloninį Indeksą Įvertinimo Ataskaita I Dalis Ežerai ir Tvenkiniai; EEA Grants: Riga, Latvia, 2016. [Google Scholar]
- Virbickas, T. Ichtiofaunos Tyrimai bei Ekologinės Būklės Pagal Žuvų Rodiklius Įvertinimas Lietuvos Upėse ir Ežeruose [Fish. Fauna Studies in Lithuanian Rivers and Lakes and their Ecological Status Assessment Based on the Fish. Fauna Metrics]; Gamtos Tyrimų Centro Ataskaita, Aplinkos Apsaugos Agentūra: Vilnius, Lithunania, 2013. [Google Scholar]
- O’Hare, M.T.; Tree, A.; Neale, M.W.; Irvine, K.; Gunn, I.D.; Jones, J.I.; Clarke, R.T. Lake benthic macroinvertebrates I: Improving sampling methodology. Science Report: SCO30294/SR1. Science environment agency, Almondsburg, Bristol. Past and present water quality. Aust. J. Ecol. 2007, 20, 57–64. [Google Scholar]
- Approval of the Description of the Procedure for Assessing the Ecological Status of Surface Water Bodies. Approval of the Description of the Procedure for Assessing the Ecological Status of Surface Water Bodies/Dėl Paviršinių Vandens Telkinių Ekologinės Būklės Vertinimo Tvarkos Aprašo Patvirtinimo [Interaktyvus]/Order of the Minister of the Environment of the Republic of Lithuania: 12 April 2007 m. No. D1-210. Available online: https://www.e-tar.lt/portal/lt/legalAct/TAR.881D6E973D28 (accessed on 11 April 2019).
- Hill, T.; Levicki, P. Statistics Methods and Applications; StatSoft: Madison, WI, USA, 2005. [Google Scholar]
- Čekanavičius, V.; Murauskas, G. Taikomoji Regresinė Analizė Socialiniuose Tyrimuose/Applied Regression Analysis in Social Research; Vilniaus Universiteto Leidykla: Vilniaus, Lithunania, 2014. [Google Scholar]
- Balevicius, A. Identification of Lithuanian Lakes to Be Restored and Preliminary Selection of Restoration Measures for These Lakes in order to Improve Their Condition. Final Report, Part I/Restauruotinų Lietuvos Ežerų Nustatymas ir Preliminarus Restauravimo Priemonių Parinkimas Šiems Ežerams, Siekiant Pagerinti jų Būklę. Galutinė Ataskaita, I Dalis; Aplinkos Apsaugos Agentra: Vilnius, Lithunania, 2009. [Google Scholar]
- Česonienė, L.; Mažuolytė-Miškinė, E.; Šileikienė, D.; Lingytė, K.; Bartkevičius, E. Analysis of Biogenic Secondary Pollution Materials from Sludge in Surface Waters. Int. J. Environ. Res. Public Health 2019, 16, 4691. [Google Scholar] [CrossRef]
- Sondergaard, M.; Jensen, P.J.; Jeppesen, E. Retention and internal loading of phosphorus in shallow, eutrophic lakes. Sci. World J. 2001, 1, 427–442. [Google Scholar] [CrossRef] [PubMed]
- Ptak, M.; Sojka, M.; Kozlowski, M. The increasing of maximum lake water temperature in lowland lakes of central Europe: Case study of the Polish Lakeland. Ann. Limnol. Int. J. Lim. 2019, 55. [Google Scholar] [CrossRef]
- Garunkštis, A.; Stanaitis, A. Ežerai gimsta, bręsta ir miršta/Lakes are born, ripen and die. Vilnius 1969, 1, 159. [Google Scholar]
- Mactec, I. Dredging as a Restoration Tool for Lake Water Quality Improvement. Report to the St. Johns River Water Management District; Water Management District: Palatka, FL, USA, 2007. [Google Scholar]
- Zhang, Z.; Zhang, X.; Sui, Y.; Zhang, Y.; Wang, M.; Lv, Y. Phosphorus distribution in lake sediments and interstitial water in different ecological function zones. Pol. J. Environ. Stud. 2014, 23, 1831–1836. [Google Scholar] [CrossRef]
- Bengtsson, L.; Fleischer, S.; Lindmark, G.; Ripl, W. Lake trummen restoration project I. Water and sediment chemistry. Int. Ver. Theor. Angew. Limnol. Verh. 1975, 19, 1080–1087. [Google Scholar] [CrossRef]
- Sustar, J.F.; Wakeman, T.H.; Ecker, R.M. Sediment-water interactions during dredging operations. In Dredging and its Environmental Effects; Krenkel, P.A., Harrison, J., Burdick, J.C., Eds.; American Society of Civil Engineers: New York, NY, USA, 1977; p. 767. [Google Scholar]
- Ryding, S.-O. Lake Trehörningen restoration project. Changes in water quality after sediment dredging. Hydrobiologia 1982, 91, 549–558. [Google Scholar] [CrossRef]
- Björk, S. Scandinavian lake restoration activities. In International Congress on Lake Pollution and Recovery; Vismara, R., Marforio, R., Mezzanotte, V., Cernuschi, S., Eds.; EWPCA Congress: Rome, Italy, 1985; pp. 281–291. [Google Scholar]
- Klapper, H. Eutrophierung und Gewässerschutz; Gustav Fischer Verlag Jena-Stuttgart: Stuttgart, Germany, 1992. [Google Scholar]
- Keizer, P.; Sinke, A. Phosphorus in the sediment of the Loosdrecht lakes and its implications for lake restoration perspectives. Hydrobiologia 1992, 233, 39–50. [Google Scholar] [CrossRef]
- Moss, B.; Balls, H.; Irvine, K.; Stansfield, J. Restoration of two lowland lakes by isolation from nutrient-rich water sources with and without removal of sediment. J. Appl. Ecol. 1986, 23, 391–414. [Google Scholar] [CrossRef]
- van Liere, L.; Gulati, R.; Wortelboer, R.; Lammens, E. Phosphorus dynamics following restoration measures in the Loosdrecht lakes (The Netherlands). Hydrobiologia 1990, 191, 87–95. [Google Scholar] [CrossRef]
- Hovenkamp-Obbema, I.R.M.; Fieggen, W. The effects of dredging and fish stocking on the trophic status of shallow, peaty ditches. Hydrobiologia 1992, 233, 225–233. [Google Scholar] [CrossRef]
- Kostecki, M.; Suschka, J. The successful results of pławniowice reservoir (upper silesia region–south of poland) restoration by hypolimnetic withdrawal. Rchives Environ. Prot. 2013, 39, 17–25. [Google Scholar] [CrossRef]
- Lippincott, C. Assessment of Dredging Sediment. from Newnans Lake to Improve Water Quality; Alachua County Environmental Protection Department: Gainesville, FL, USA, 2015. [Google Scholar]
- Zhang, S.; Zhou, Q.; Xu, D.; Lin, J.; Cheng, S.; Wu, Z. Effects of sediment dredging on water quality and zooplankton community structure in a shallow of eutrophic lake. J. Environ. Sci. 2010, 22, 218–224. [Google Scholar] [CrossRef]
- Peimin, P.U.; Guoxiang, W.; Chunhua, H.U.; Weiping, H.U.; Chengxin, F.A.N. Can we control lake eutrophication by dredging? J. Lake Sci. 2000, 12, 269–279. [Google Scholar] [CrossRef]
- Peters, J.; van Liere, L. Dredging and groundwatermovement, effects on phosphorus release from sediments. Int. Ver. Theor. Angew. Limnol. Verh. 1985, 22, 3340–3344. [Google Scholar] [CrossRef]
- Reddy, K.R.; White, J.R.; Fisher, M.M.; Pant, H.K.; Wang, Y.; Grace, K.; Harris, W.G. Potential Impacts of Se-Diment Dredging on Internal Phosphorus load in Lake Okeechobee: Summary Report; IFAS: Filadelfia, PA, USA, 2002. [Google Scholar]
- Stučka, D. Estimation of the Condition of Purification of Purified Lakes/Išvalytų Ežerų Būklės Įvertinimas; Lithuanian University of Agriculture: Akademija, Lithuania, 2008. [Google Scholar]
- Yenilmez, F.; Aksoy, A. Comparison of phosphorus reduction alternatives in control of nutrient concentrations in lake Uluabat (Bursa, Turkey): Partial versus full sediment dredging. Limnologica 2013, 43, 1–9. [Google Scholar] [CrossRef]







| No | Lakes | Average Depth, m | Maximum Depth, m | Water Exchange Per Year | Area, ha | Pool Area, km2 |
|---|---|---|---|---|---|---|
| 1 | Alsėdis | 1.74 | 1.74 | 0.06 | 90.40 | 61.66 |
| 2 | Antakmenis | 5.83 | 12.50 | 1.14 | 84.20 | 17.15 |
| 3 | Biržulis | 0.91 | 0.91 | 0.02 | 114.20 | 137.00 |
| 4 | Didžiulis | 6.00 | 19.00 | 0.14 | 62.10 | 89.96 |
| 5 | Draudenis | 1.51 | 2.50 | 0.24 | 106.50 | 15.07 |
| 6 | Dviragis | 3.07 | 5.39 | 0.72 | 286.60 | 48.15 |
| 7 | Gauštvinis | 5.00 | 5.00 | 0.20 | 124.30 | 154.92 |
| 8 | Gelvanė | 2.39 | 6.10 | 0.54 | 53.00 | 6.31 |
| 9 | Imbradas | 2.00 | 2.00 | 0.43 | 58.70 | 161.78 |
| 10 | Juodas Kauknoris | 4.34 | 13.90 | 0.48 | 58.20 | 20.59 |
| 11 | Kavalys | 2.97 | 6.40 | 3.30 | 140.40 | 10.21 |
| 12 | Kemėšys | 4.10 | 4.10 | 0.39 | 53.00 | 9.03 |
| 13 | Kiementas | 3.97 | 7.30 | 0.51 | 98.60 | 26.07 |
| 14 | Latežeris | 1.00 | 9.50 | 0.18 | 86.20 | 14.20 |
| 15 | Luksnėnis | 4.20 | 7.40 | 3.63 | 61.40 | 5.79 |
| 16 | Mastis | 2.60 | 2.60 | 0.54 | 272.20 | 36.81 |
| 17 | Orija | 4.20 | 7.70 | 2.58 | 85.30 | 6.62 |
| 18 | Paežerys | 5.10 | 15.00 | 11.15 | 399.10 | 13.34 |
| 19 | Rėkyva | 2.04 | 2.04 | 7.13 | 1179.20 | 18.07 |
| 20 | Skaistė | 4.93 | 13.10 | 1.79 | 59.00 | 1.81 |
| 21 | Spėra | 1.90 | 2.90 | 0.30 | 80.00 | 21.77 |
| 22 | Širvys | 2.47 | 4.20 | 0.20 | 85.10 | 27.27 |
| 23 | Talkša | 3.46 | 8.70 | 0.45 | 56.20 | 17.82 |
| 24 | Tausalas | 3.34 | 6.10 | 1.89 | 191.20 | 11.99 |
| 25 | Veisiejis | 5.73 | 33.80 | 0.62 | 765.20 | 144.07 |
| 26 | Zapsys | 7.53 | 17.30 | 0.31 | 190.40 | 74.70 |
| 27 | Šlavantas | 11.40 | 28.80 | 2.00 | 65.40 | 187.30 |
| 28 | Kretuonykštis | 1.60 | 3.00 | 0.04 | 65.40 | 85.50 |
| 29 | Dusia | 15.4 | 32.6 | 17.5 | 2334.00 | 107.80 |
| 30 | Angiriai pond | 6.2 | 15.5 | 264 | 103,515.0 | |
| 31 | Bartkuskis pond | 2.5 | 8 | 52.6 | 23,339.0 | |
| 32 | Ekrano gamyklos pond | 2.4 | 6.0 | 1593 | 106,512.0 | |
| 33 | Janušonis pond | 3.5 | 6.8 | 61.9 | 11,809.0 | |
| 34 | Kadrėnai pond | 2.0 | 4.5 | 107.5 | 22,323.0 | |
| 35 | Krivėnai pond | 4.2 | 13.6 | 67.6 | 10,323.0 | |
| 36 | Sablauskai pond | 3.2 | 6.1 | 125 | 28,586.0 | |
| 37 | Stepanioniai pond | 2.8 | 6.5 | 64.3 | 15,518.0 | |
| 38 | Vaitiekūnai pond | 3.6 | 11.0 | 141.3 | 79,345.0 | |
| 39 | Bubliai pond | 4.2 | 13.2 | 150 | 64,911.0 |
| The Name of the Lake | Sludge Cleaning (Year) | Depth after Cleaning | The Duration of New Sludge Accumulation from Purification (Years) | The Thickness of the Newly Formed Layer of Sludge, cm | Avg. Sludge Accumulation Intensity, mm/Year | Comments | ||
|---|---|---|---|---|---|---|---|---|
| Min | Max | Avg. | ||||||
| Druskonis | 1971–1973 | 3.5–4.3 | 34 | 3 | 19 | 12.9 | 0.38 | Four places with rain drain water leak from the streets. Black sediment. |
| Valdakio (Varėna dist.) | 1976–1978 | 3.5–4.0 | 29 | 1 | 7 | 1.5 | 0.005 | The lake is surrounded by mostly coniferous forests. Pink precipitate. |
| Mergelių akelių near Merkinė | 1978–1979 | 3.2–4.0 | 28 | 5 | 20 | 12.3 | 0.44 | Sediment from agricultural fields. Lake elusive. Greenish precipitate. |
| Ilgučio (Lygainių) Trakai district | 1978–1980 | 3.3 | 27 | 4 | 18 | 8.1 | 0.30 | A total of 100–150 m of the lake shore was cleaned between the villages of Lygainiai and Gudeliai |
© 2020 by the authors. Licensee MDPI, Basel, Switzerland. This article is an open access article distributed under the terms and conditions of the Creative Commons Attribution (CC BY) license (http://creativecommons.org/licenses/by/4.0/).
Share and Cite
Česonienė, L.; Šileikienė, D.; Dapkienė, M. Relationship between the Water Quality Elements of Water Bodies and the Hydrometric Parameters: Case Study in Lithuania. Water 2020, 12, 500. https://doi.org/10.3390/w12020500
Česonienė L, Šileikienė D, Dapkienė M. Relationship between the Water Quality Elements of Water Bodies and the Hydrometric Parameters: Case Study in Lithuania. Water. 2020; 12(2):500. https://doi.org/10.3390/w12020500
Chicago/Turabian StyleČesonienė, Laima, Daiva Šileikienė, and Midona Dapkienė. 2020. "Relationship between the Water Quality Elements of Water Bodies and the Hydrometric Parameters: Case Study in Lithuania" Water 12, no. 2: 500. https://doi.org/10.3390/w12020500
APA StyleČesonienė, L., Šileikienė, D., & Dapkienė, M. (2020). Relationship between the Water Quality Elements of Water Bodies and the Hydrometric Parameters: Case Study in Lithuania. Water, 12(2), 500. https://doi.org/10.3390/w12020500

