Anaerobic Oxidation of Methane in Freshwater Sediments of Rzeszów Reservoir
Abstract
1. Introduction
2. Materials and Methods
2.1. Study Area
2.2. Sediment Sampling and Preparation
2.3. Incubation Experiment
2.4. Sediment and Pore-Water Analysis
2.5. Calculations
3. Results
3.1. Characteristics of Sediments and Pore-Water
3.1.1. Sediment Characteristics
3.1.2. Pore-Water Characteristics
3.2. Rates of Anaerobic Oxidation of Methane
4. Discussion
5. Conclusions
- Anaerobic oxidation of methane (AOM) is a process occurring in freshwater sediments, i.e., at Rzeszów, given that a 13CH4 isotopic marker added in the course of incubation trials underwent systematic oxidation to 13CO2. A capacity to oxidise 13CH4 to 13CO2 in this way is attributed to microorganisms responsible for AOM.
- AOM rates were higher at higher temperatures, such that methane was found to oxidise most intensively at 20 °C, irrespective of the sediment layer under study. Incubation at either 10 or 15 °C sustained rates only one-fifth as high on average.
- AOM proved most effective on day 3 of incubation, with a sharp decline in rate proceeding thereafter. After day 3, CH4 concentrations also decreased, while those of CO2 continued to rise through to day 50 (at 10 °C). On day 50 of the research, a decline in CO2 concentration could finally be observed, perhaps as a sign of the gradual depletion of electron acceptors participating in AOM, with a growth in the relative importance of the methanogenesis ongoing simultaneously then making itself felt.
- AOM rates noted here differ from those reported for other aquatic ecosystems. While average rates were hundred times those seen in certain US wetlands, they were respectively just one-hundredth or one-tenth of those obtained for an oceanic trough (Japan) or a bay (USA).
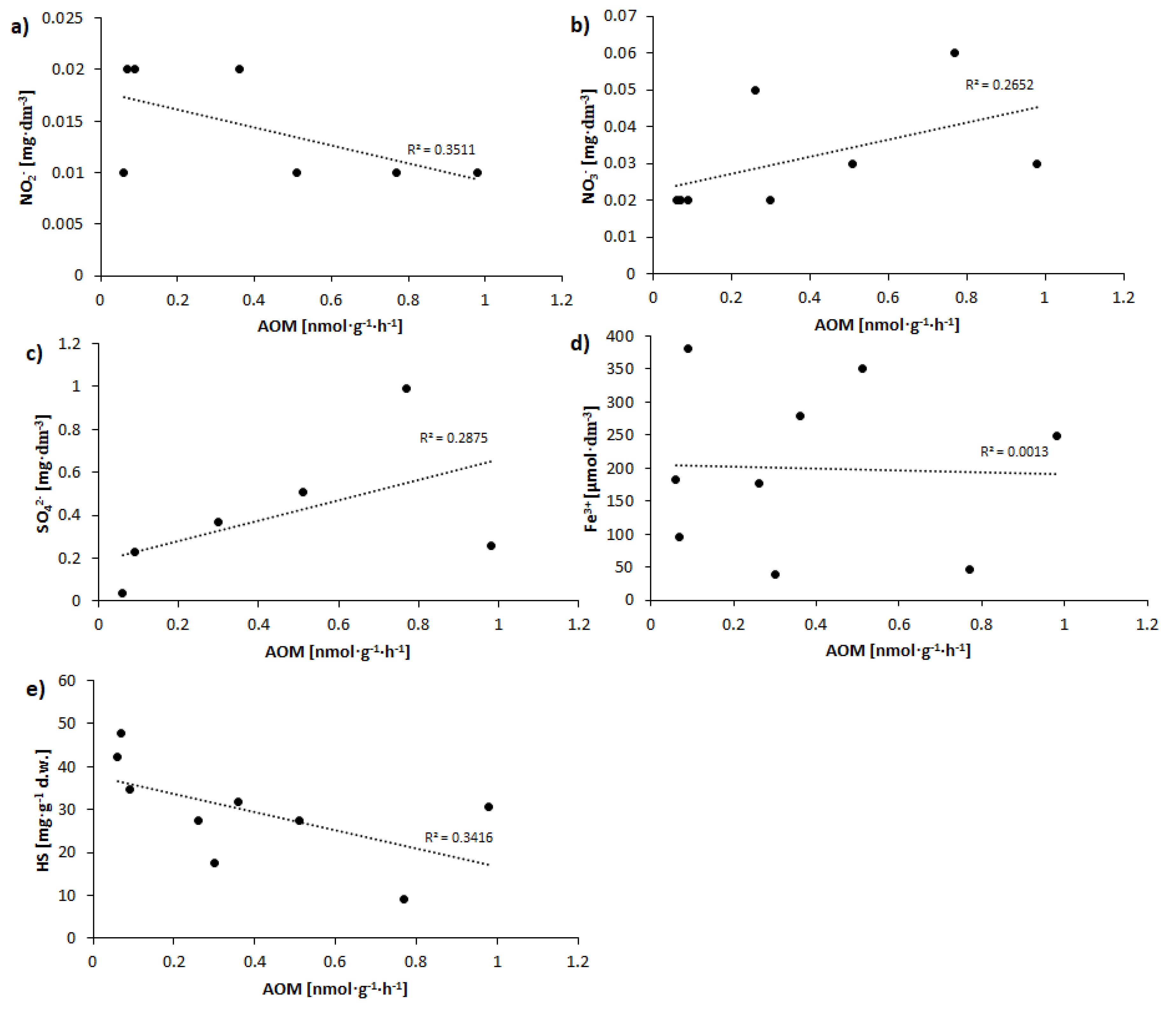
- While a prominent role in the dynamics of the AOM process may be played by electron acceptors present in pore-water (like the NO3−, SO42− and Fe3+ ions studied) or in sediments as such (humic substances), statistically significant correlations between concentrations and AOM rates were not obtained. Previous research into AOM in other aquatic ecosystems suggests a complex relationship between respective electron acceptors and the pathways to methane oxidation they are involved in, and such dependent relationships are possibly likewise present in Rzeszów Reservoir.
Supplementary Materials
Author Contributions
Funding
Conflicts of Interest
References
- Rhee, T.S.; Kettle, A.J.; Andreae, M.O. Methane and nitrous oxide emissions from the ocean: A reassessment using basin- observations in the Atlantic. J. Geophys. Res. Atmos. 2009, 114, 1–20. [Google Scholar] [CrossRef]
- Verpoorter, C.; Kutser, T.; Seekell, D.A.; Tranvik, L.J. A global inventory of lakes based on high-resolution satellite imagery. Geophys. Res. Lett. 2014, 41, 6396–6402. [Google Scholar] [CrossRef]
- Downing, J.A.; Prairie, Y.T.; Cole, J.J.; Duarte, C.M.; Tranvik, L.J.; Striegl, R.G.; McDowell, W.H.; Kortelainen, P.; Caraco, N.F.; Melack, J.M.; et al. The global abundance and size distribution of lakes, ponds, and impoundments. Limnol. Oceanogr. 2006, 51, 2388–2397. [Google Scholar] [CrossRef]
- Bastviken, D.; Tranvik, L.; Downing, J.A.; Crill, P.M.; Enrich-Prast, A. Freshwater methane emissions offset the continental carbon sink. Science 2011, 331, 50. [Google Scholar] [CrossRef]
- Holgerson, M.A.; Raymond, P.A. Large contribution to inland water CO2 and CH4 emissions from very small ponds. Nat. Geosci. 2016, 9, 222–226. [Google Scholar] [CrossRef]
- Saunois, M.; Jackson, R.B.; Bousquet, P.; Boulter, B.; Canadell, J.G. The growing role of methane in anthropogenic climate change. Environ. Res. Lett. 2016, 11, 120207. [Google Scholar] [CrossRef]
- Gruca-Rokosz, R. Dynamics of carbon greenhouse gases in reservoirs: Production pathways, emissions to atmosphere (in Polish). Oficyna Wydawnicza Politechniki Rzeszowskiej 2015, 1–132. [Google Scholar]
- Zehnder, A.J.B.; Stumm, W. Geochemistry and biogeochemistry of anaerobic habitats. In Biology of Anaerobic Microorganisms; Zehnder, A.J.B., Ed.; John Wiley & Sons: New York, NY, USA, 1988; pp. 1–38. [Google Scholar]
- Den Heyer, C.; Kalff, J. Organic Matter Mineralization Rates in Sediments: A Within- and Among- Lake Study. Limnol. Oceanogr. 1998, 43, 695–705. [Google Scholar] [CrossRef]
- Bastviken, D. Anoxic Degradation of Organic Matter in Lakes—Implications for Carbon Cycling and Aquatic Food Webs. Ph.D. Thesis, Department of Water and Environmental Studies, Linköping University, Linköping, Sweden, 2002; pp. 3–55. [Google Scholar]
- Wetzel, R.G. Limnology—Lake and River Ecosystems, 3rd ed.; Academic Press: San Diego, CA, USA, 2001; pp. 631–664. [Google Scholar]
- Thauer, R.K.; Shima, S. Methane as fuel for anaerobic microorganisms. Ann. N. Y. Acad. Sci. 2008, 1125, 158–170. [Google Scholar] [CrossRef]
- Strous, M.; Jetten, M.S.M. Anaerobic oxidation of methane and ammonium. Annu. Rev. Microbiol. 2004, 58, 99–117. [Google Scholar] [CrossRef]
- Shima, S.; Thauer, R.K. Methyl-coenzyme M reductase and the anaerobic oxidation of methane in methanotrophic. Archaea. Curr. Opin. Microbiol. 2005, 8, 643–648. [Google Scholar] [CrossRef] [PubMed]
- Valentine, D.L.; Reeburgh, W.S. New perspectives on anaerobic methane oxidation. Environ. Microbiol. 2000, 2, 477–484. [Google Scholar] [CrossRef] [PubMed]
- Smemo, K.A.; Yavitt, J.B. Anaerobic oxidation of methane: An underappreciated aspect of methane cycling in peatland ecosystems? Biogeosciences 2011, 8, 779–793. [Google Scholar] [CrossRef]
- Blazewicz, S.J.; Petersen, D.G.; Waldrop, M.P.; Firestone, M.K. Anaerobic oxidation of methane in tropical and boreal soils: Ecological significance in terrestrial methane cycling. J. Geophys. Res. Biogeosci. 2012, 117, G02033. [Google Scholar] [CrossRef]
- Boetius, A.; Ravenschlag, K.; Schubert, C.J.; Rickert, D.; Widdel, F.; Gieseke, A.; Amann, R.; Jørgensen, B.B.; Witte, U.; Pfannkuche, O. A marine microbial consortium apparently mediating anaerobic oxidation of methane. Nature 2000, 407, 623–626. [Google Scholar] [CrossRef] [PubMed]
- Deutzmann, J.S.; Stief, P.; Brandes, J.; Schink, B. Anaerobic methane oxidation coupled to denitrification is the dominant methane sink in a deep lake. PNAS 2014, 111, 18273–18278. [Google Scholar] [CrossRef] [PubMed]
- Reeburgh, W.S. Methane consumption in Cariaco Trenchwaters and sediment. Earth Planet. Sci. Lett. 1976, 28, 337–344. [Google Scholar] [CrossRef]
- Schubert, C.J.; Lucas, F.S.; Durisch-Kaiser, E.; Stierli, R.; Diem, T.; Scheidegger, O.; Vazquez, F.; Müller, B. Oxidation and emission of methane in a monomictic lake (Rotsee, Switzerland). Aquat. Sci. 2010, 72, 455–466. [Google Scholar] [CrossRef]
- Zehnder, A.J.; Brock, T.D. Methane formation and methane oxidation by methanogenic bacteria. J. Bacteriol. 1979, 137, 420–432. [Google Scholar] [CrossRef]
- Reeburgh, W. Oceanic methane biogeochemistry. Chem. Rev. 2007, 107, 486–513. [Google Scholar] [CrossRef]
- Segarra, K.E.A.; Schubotz, F.; Samarkin, V.; Yoshinaga, M.Y.; Hinrichs, K.U.; Joye, S.B. High rates of anaerobic methane oxidation in freshwater wetlands reduce potential atmospheric methane emissions. Nat. Commun. 2015, 6, 7477. [Google Scholar] [CrossRef] [PubMed]
- Sivan, O.; Adler, M.; Pearson, A.; Gelman, F.; Bar-Or, I.; John, S.C.; Eckert, W. Geochemical evidence for iron-mediated anaerobic oxidation of methane. Limnol. Oceanogr. 2011, 56, 1536–1544. [Google Scholar] [CrossRef]
- Gruca-Rokosz, R.; Tomaszek, J.A.; Koszelnik, P.; Czerwieniec, E. Methane and carbon dioxide fluxes at the sediment–water interface in reservoir. Pol. J. Environ. Study 2011, 20, 81–86. [Google Scholar]
- Aoki, M.; Ehara, M.; Saito, Y.; Yoshioka, H.; Miyazaki, M.; Saito, Y.; Miyashita, A.; Kawakami, S.; Yamaguchi, T.; Ohashi, A.; et al. A Long-Term Cultivation of an Anaerobic Methane-Oxidizing Microbial Community from Deep-Sea Methane-Seep Sediment Using a Continuous-Flow Bioreactor. PLoS ONE 2014, 9, e105356. [Google Scholar] [CrossRef]
- Girguis, P.R.; Orphan, V.J.; Hallam, S.J.; DeLong, E.F. Growth and methane oxidation rates of anaerobic methanotrophic archaea in a continuous-flow bioreactor. Appl. Environ. Microbiol. 2003, 69, 5472–5482. [Google Scholar] [CrossRef]
- Girguis, P.R.; Cozen, A.E.; DeLong, E.F. Growth and population dynamics of anaerobic methane-oxidizing archaea and sulfate-reducing bacteria in a continuous-flow bioreactor. Appl. Environ. Microbiol. 2005, 71, 3725–3733. [Google Scholar] [CrossRef]
- Meulepas, R.J.W.; Jagersma, C.G.; Gieteling, J.; Buisman, C.J.N.; Stams, A.J.M.; Lens, P.N.L. Enrichment of anaerobic methanotrophs in a sulfate-reducing membrane bioreactors. Biotechnol. Bioeng. 2009, 104, 458–470. [Google Scholar] [CrossRef]
- Jagersma, G.C.; Meulepas, R.J.W.; Jong, I.H.; Gieteling, J.; Klimiuk, A.; Schouten, S.; Damsté, J.S.S.; Lens, P.N.L.; Stams, A.J.M. Microbial diversity and community structure of a highly active anaerobic methane-oxidizing sulfate-reducing enrichment. Environ. Microbiol. 2009, 12, 3223–3232. [Google Scholar] [CrossRef]
- Zhang, Y.; Henriet, J.P.; Bursens, J.; Boon, N. Stimulation of in vitro anaerobic oxidation of methane rate in a continuous high-pressure bioreactor. Bioresour. Technol. 2010, 101, 3132–3138. [Google Scholar] [CrossRef]
- Zhang, Y.; Maignien, L.; Zhao, X.; Wang, F.; Boon, N. Enrichment of a microbial community performing anaerobic oxidation of methane in a continuous high-pressure bioreactor. BMC Microbiol. 2011, 11, 137. [Google Scholar] [CrossRef]
- Wegener, G.; Boetius, A. An experimental study on short-term changes in the anaerobic oxidation of methane in response to varying methane and sulfate fluxes. Biogeosciences 2009, 6, 867–876. [Google Scholar] [CrossRef]
- Koszelnik, P.; Tomaszek, J.A. Loading of the Rzeszów reservoir with biogenic elements—Mass balance. Environ. Prot. Eng. 2002, 28, 99–106. [Google Scholar]
- Gruca-Rokosz, R.; Tomaszek, J. Methane and Carbon Dioxide in the Sediment of a Eutrophic Reservoir: Production Pathways and Diffusion Fluxes at the Sediment–Water Interface. Water Air Soil Pollut. 2015, 226, 16. [Google Scholar] [CrossRef] [PubMed]
- Gruca-Rokosz, R.; Koszelnik, P. Production pathways for CH4 and CO2 in sediments of two freshwater ecosystems in south-eastern Poland. PLoS ONE 2018, 13, e0199755. [Google Scholar] [CrossRef] [PubMed]
- Reeburgh, W.S. An improved interstitial water sampler. Limnol. Oceanogr. 1967, 12, 163–165. [Google Scholar] [CrossRef]
- Ostrowska, A.; Gawliński, S.; Szczubiałka, Z. Methods of Analysis and Assessment of Soil and Plant Properties (in Polish); Instytut Ochrony Środowiska: Warszawa, Poland, 1991. [Google Scholar]
- Holmer, M.; Wildish, D.; Hargrave, B. Organic Enrichment from Marine Finfish Aquaculture and Effects on Sediment Biogeochemical Processes. In Environmental Effects of Marine Finfish Aquaculture; Springer: Berlin/Heidelberg, Germany, 2005; Volume 5, pp. 181–206. [Google Scholar] [CrossRef]
- Zimmermann, C.F.; Keefe, C.W.; Bashe, J. Method 440.0 Determination of Carbon and Nitrogen in Sediments and Particulates/Coastal Waters Using Elemental Analysis; NER Laboratory, USEPA: Cincinnati, OH, USA, 1997. Available online: http://www.epa.gov/nerlcwww/m440_0.pdf (accessed on 19 August 2019).
- Griffith, S.M.; Schnitzer, M. Analytical characteristics of humic and fiilvic acids extracted from tropical volcanic soils. Soil Sci. Soc. Am. J. 1975, 39, 861–867. [Google Scholar] [CrossRef]
- Viollier, E.; Inglett, P.W.; Hunter, K.; Roychoudhury, A.N.; Van Cappellen, P. The ferrozine method revisited: Fe(II)/Fe(III) determination in natural waters. Appl. Geochem. 2000, 15, 785–790. [Google Scholar] [CrossRef]
- Gupta, V. Anaerobic Oxidation of Methane in Northern Peatland. Ph.D. Thesis, Department of Geography, University of Toronto, Toronto, ON, Canada, December 2011. [Google Scholar]
- Shi, Y.; Wang, Z.; He, C.; Zhang, X.; Sheng, L.; Ren, X. Using 13 C isotopes to explore denitrification-dependent anaerobic methane oxidation in a paddy-peatland. Sci. Rep. 2017, 7, 40848. [Google Scholar] [CrossRef]
- Bednarek, A.; Zalewski, M. Potential effects of enhancing denitrification rates in sediments of the Sulejow reservoir. Environ. Prot. Eng. 2007, 33, 35–43. [Google Scholar]
- Haziak, T.; Czaplicka-Kotas, A.; Ślusarczyk, Z.; Szalińska, E. Spatial changes of zinc concentrations in the Czorsztyn Reservoir sediments (in Polish). Inżynieria i Ochrona Środowiska 2013, 16, 57–68. [Google Scholar]
- Koszelnik, P. Sources and Distribution of Biogenic Elements on the Example of the Solina-Myczkowce Dam Reservoir (in Polish); Oficyna Wydawnicza Politechniki Rzeszowskiej: Rzeszów, Poland, 2009; pp. 1–147. [Google Scholar]
- Piwińska, D.; Gruca-Rokosz, R.; Bartoszek, L.; Czarnota, J. Spatial Diversity Characterising Certain Chemical Substances in Sediments of Besko Reservoir. J. Ecol. Eng. 2018, 19, 104–112. [Google Scholar] [CrossRef]
- Fan, L.; Shahbaz, M.; Ge, T.; Wu, J.; Dippold, M.; Thiel, V.; Kuzyakov, Y.; Dorodnikov, M. To shake or not to shake: 13C-based evidence on anaerobic methane oxidation in paddy soil. Soil Biol. Biochem. 2019, 133, 146–154. [Google Scholar] [CrossRef]
- Basiliko, N.; Yavitt, J.B.; Dees, P.M.; Merkel, S.M. Methane Biogeochemistry and Methanogen Communities in Two Northern Peatland Ecosystems, New York State. Geomicrobiol. J. 2003, 20, 563–577. [Google Scholar] [CrossRef]
- Dettling, M.D.; Yavitt, J.B.; Zinder, S.H. Control of organic carbon mineralization by alternative electron acceptors in four peatlands, Central New York State, USA. Wetlands 2006, 26, 917. [Google Scholar] [CrossRef]
- Godin, A.; McLaughlin, J.W.; Webster, K.; Packalen, M.; Basiliko, N. Methane and methanogen community dynamics across a boreal peatland nutrient gradient. Soil Biol. Biochem. 2012, 48, 96–105. [Google Scholar] [CrossRef]
- Martinez-Cruz, K.; Sepulveda-Jauregui, A.; Casper, P.; Anthony, K.W.; Smemo, K.A.; Thalasso, F. Ubiquitous and significant anaerobic oxidation of methane in freshwater lake sediments. Water Res. 2018, 144, 332–340. [Google Scholar] [CrossRef]
- Szal, D.; Gruca-Rokosz, R. Denitrification-Dependent Anaerobic Oxidation of Methane in Freshwater Sediments of Reservoirs in SE Poland. J. Ecol. Eng. 2019, 20, 218–227. [Google Scholar] [CrossRef]
- Li, L.; Xue, S.; Xi, J. Anaerobic oxidation of methane coupled to sulfate reduction: Consortium characteristics and application in co-removal of H2S and methane. J. Environ. Sci. 2019, 76, 238–248. [Google Scholar] [CrossRef]
- Hoehler, T.M.; Alperin, M.J.; Albert, D.B.; Martens, C.S. Field and laboratory studies of methane oxidation in an anoxic marine sediment: Evidence for a methanogen-sulfate reducer consortium. Glob. Biogeochem. Cycles 1994, 8, 451–463. [Google Scholar] [CrossRef]
- Smemo, K.A. Methane Cycling in Northern Peatland Ecosystems. A Potential Role for Anaerobic Methane Oxidation. Ph.D. Thesis, Cornell University, Ithaca, NY, USA, 2003; p. 138. [Google Scholar]
- Smemo, K.; Yavitt, J.B. Evidence for Anaerobic CH4 Oxidation in Freshwater Peatlands. Geomicrobiol. J. 2007, 24, 583–597. [Google Scholar] [CrossRef]
- Broman, E. Observation of Methanogenesis and Potential Iron-Dependent Anaerobic Oxidation of Methane in Old Lake Sediments, A Study of Two Boreal Forest Lakes. Master’s Thesis, Uppsala University, Uppsala, Sweden, 2013. [Google Scholar]
- Gruca-Rokosz, R. Quantitative fluxes of the greenhouse gases CH4, CO2 from the surfaces of selected Polish reservoirs. Atmosphere 2019. submitted. [Google Scholar]
- Cassarini, C. Anaerobic Oxidation of Methane Coupled to Reduction of Different Sulfur Compounds as Electron Acceptors in Bioreactors; CRC Press: Boca Raton, FL, USA, 2017. [Google Scholar]
- Meulepas, R.J.W.; Jagersma, C.G.; Khadem, A.F.; Buisman, C.J.N.; Stams, A.J.M.; Lens, P.N.L. Effect of environmental conditions on sulfate reduction with methane as electron donor by an Eckernförde Bay enrichment. Environ. Sci. Technol. 2009, 43, 6553–6559. [Google Scholar] [CrossRef] [PubMed]
- Deusner, C.; Meyer, V.; Ferdelman, T. High-pressure systems for gas-phase free continuous incubation of enriched marine microbial communities performing anaerobic oxidation of methane. Biotechnol. Bioeng. 2009, 105, 524–533. [Google Scholar] [CrossRef] [PubMed]
- Krüger, M.; Treude, T.; Wolters, H.; Nauhaus, K.; Boetius, A. Microbial methane turnover in different marine habitats. Palaeogeogr. Palaeoclimatol. Palaeoecol. 2005, 227, 6–17. [Google Scholar] [CrossRef]
- Nauhaus, K.; Boetius, A.; Kruger, M.; Widdel, F. In vitro demonstration of anaerobic oxidation of methane coupled to sulphate reduction in sediment from a marine gas hydrate area. Environ. Microbiol. 2002, 4, 296–305. [Google Scholar] [CrossRef]
- Ettwig, K.F.; van Alen, T.; van de Pas-Schoonen, K.T.; Jetten, M.S.M.; Strous, M. Enrichment and molecular detection of denitrifying methanotrophic bacteria of the NC10 phylum. Appl. Environ. Microbiol. 2009, 75, 3656–3662. [Google Scholar] [CrossRef]
- Deutzmann, J.; Schink, B. Anaerobic Oxidation of Methane in Sediments of Lake Constance, an Oligotrophic Freshwater Lake. Appl. Environ. Microbiol. 2011, 77, 4429–4436. [Google Scholar] [CrossRef]
- Weber, H.S.; Habicht, K.S.; Thamdrup, B. Anaerobic Methanotrophic Archaea of the ANME-2d Cluster Are Active in a Low-sulfate, Iron-rich Freshwater Sediment. Front Microbiol. 2017, 12, 619. [Google Scholar] [CrossRef]
- Egger, M.; Rasigraf, O.; Sapart, C.J.; Jilbert, T.; Jetten, M.S.M.; Röckmann, T.; Van Der Veen, C.; Bânda, N.; Kartal, B.; Ettwig, K.F.; et al. Iron-mediated anaerobic oxidation of methane in brackish coastal sediments. Environ. Sci.Technol. 2015, 49, 277–283. [Google Scholar] [CrossRef]
- He, Z.; Zhang, Q.; Feng, Y.; Luo, H.; Pan, X.; Michael, G. Microbiological and environmental significance of metal-dependent anaerobic oxidation of methane. Sci. Total Environ. 2018, 610, 759–768. [Google Scholar] [CrossRef]
- Nordi, K.; Thamdrup, B.; Schubert, C. Anaerobic oxidation of methane in an iron-rich Danish freshwater lake sediment. Limnol. Oceanogr. 2013, 58, 546–554. [Google Scholar] [CrossRef]
- Valenzuela, E.I.; Prieto-Davó, A.; López-Lozano, N.E.; Hernández-Eligio, A.; Vega-Alvarado, L.; Juárez, K.; García-González, A.S.; López, M.G.; Cervantes, F.J. Anaerobic methane oxidation driven by microbial reduction of natural organic matter in a tropical wetland. Appl. Environ. Microbiol. 2017, 83. [Google Scholar] [CrossRef]




| Temperature | Depth [cm] | pH [-] | OM [%] | TOC [%] | TN [%] | TOC:TN [-] | HS [mg·g−1 d.w.] |
|---|---|---|---|---|---|---|---|
| 10 °C | 0–5 | 7.20 | 10.84 | 3.62 | 0.37 | 9.86 | 31.7 |
| 5–10 | 7.20 | 9.09 | 2.89 | 0.27 | 10.69 | 27.5 | |
| 10–15 | 7.39 | 6.46 | 1.82 | 0.17 | 10.81 | 17.6 | |
| 15 °C | 0–5 | 7.51 | 9.65 | 3.79 | 0.34 | 11.16 | 34.9 |
| 5–10 | 7.58 | 8.18 | 3.84 | 0.29 | 13.36 | 34.7 | |
| 10–15 | 7.71 | 5.99 | 2.66 | 0.17 | 15.26 | 22.9 | |
| 20 °C | 0–5 | 7.15 | 9.30 | 2.90 | 0.28 | 10.33 | 27.7 |
| 5–10 | 7.27 | 7.95 | 2.31 | 0.23 | 10.28 | 22.1 | |
| 10–15 | 7.54 | 4.62 | 1.27 | 0.10 | 12.21 | 11.9 | |
| Granulometric composition | Fraction [%] | Type | |||||
| Fsa 2-0.063 | Fsi 0.063-0.002 | Fcl < 0.002 | PN-EN ISO 14688-1:2018-05 | ||||
| 0–5 | 3.5 | 77.35 | 19.15 | silty loam (clSi) | |||
| 5–10 | 5.23 | 73.15 | 21.61 | silty clay(siCl) | |||
| 10–15 | 4.01 | 73.76 | 22.22 | silty clay (siCl) | |||
| Temperature | Depth [cm] | NO2− [mg·dm−3] | NO3− [mg·dm−3] | SO42− [mg·dm−3] | TOC [mg·dm−3] | Fe3+ [µmol·dm−3] |
|---|---|---|---|---|---|---|
| 10 °C | 0–5 | 0.017 | 0.017 | 0.230 | 20.39 | 380.57 |
| 5–10 | 0.014 | 0.019 | 0.036 | 13.18 | 182.80 | |
| 10–15 | 0.021 | 0.017 | n.d. | 16.47 | 95.40 | |
| 15 °C | 0–5 | 0.015 | 0.973 | 13.867 | 79.88 | 279.75 |
| 5–10 | n.d. | 0.052 | 2.556 | 31.44 | 177.15 | |
| 10–15 | n.d. | 0.020 | 0.373 | 36.56 | 39.45 | |
| 20 °C | 0–5 | 0.014 | 0.034 | 0.508 | 6.32 | 351.11 |
| 5–10 | 0.009 | 0.025 | 0.256 | 5.62 | 248.32 | |
| 10–15 | 0.013 | 0.055 | 0.986 | 26.18 | 46.85 |
| Name | AOM | Unit | Method | Reference |
|---|---|---|---|---|
| Michigan Hollow (USA) | 0.00156 | nmol·g−1·h−1 | incubation experiment with 13CH4 isotope | [44] |
| Channel Fen (USA) | 0.00253 | [44] | ||
| Big Run Bog (USA) | 0.00142 | [44] | ||
| Bog Lake Fen (USA) | 0.00254 | [44] | ||
| Buckles Bog (USA) | 0.00047 | [44] | ||
| Mclean Bog (USA) | 0.00088 | [44] | ||
| Dryden Bog (USA) | 0.00105 | [44] | ||
| Nankai Trough (Japan) | 15.63 | [27] | ||
| Eckernforde Bay (Germany) | 11920 | [30,31] | ||
| Monterey Bay (USA) | 5.75 | incubation experiment without 13CH4 isotope | [28,29] | |
| Gulf of Cadiz (Portugal/Spain) | 384 | [32,33] | ||
| Black Sea (Bulgaria/Georgia/Russia/Romania/Turkey/Ukraine) | 27 | [34] |
© 2020 by the authors. Licensee MDPI, Basel, Switzerland. This article is an open access article distributed under the terms and conditions of the Creative Commons Attribution (CC BY) license (http://creativecommons.org/licenses/by/4.0/).
Share and Cite
Szal, D.; Gruca-Rokosz, R. Anaerobic Oxidation of Methane in Freshwater Sediments of Rzeszów Reservoir. Water 2020, 12, 398. https://doi.org/10.3390/w12020398
Szal D, Gruca-Rokosz R. Anaerobic Oxidation of Methane in Freshwater Sediments of Rzeszów Reservoir. Water. 2020; 12(2):398. https://doi.org/10.3390/w12020398
Chicago/Turabian StyleSzal, Dorota, and Renata Gruca-Rokosz. 2020. "Anaerobic Oxidation of Methane in Freshwater Sediments of Rzeszów Reservoir" Water 12, no. 2: 398. https://doi.org/10.3390/w12020398
APA StyleSzal, D., & Gruca-Rokosz, R. (2020). Anaerobic Oxidation of Methane in Freshwater Sediments of Rzeszów Reservoir. Water, 12(2), 398. https://doi.org/10.3390/w12020398

