Impact of Sequential Treatments with Natural and Na-Exchanged Chabazite Zeolite-Rich Tuff on Pig-Slurry Chemical Composition
Abstract
1. Introduction
2. Materials and Methods
2.1. PS and ZT Employed in the Experimentation
Zeolite Enrichment with Na+
2.2. Experimental Set-Up
- Zeolite grain size
- Zeolite Na-enrichment
- Number of the treatment cycle
2.3. Analytical Techniques
2.4. Calculations and Statistical Analysis
3. Results and Discussion
3.1. Effect of ZT Treatments on PS’s pH and EC
3.2. Effects of ZT Treatments on PS’s NH4+ Content
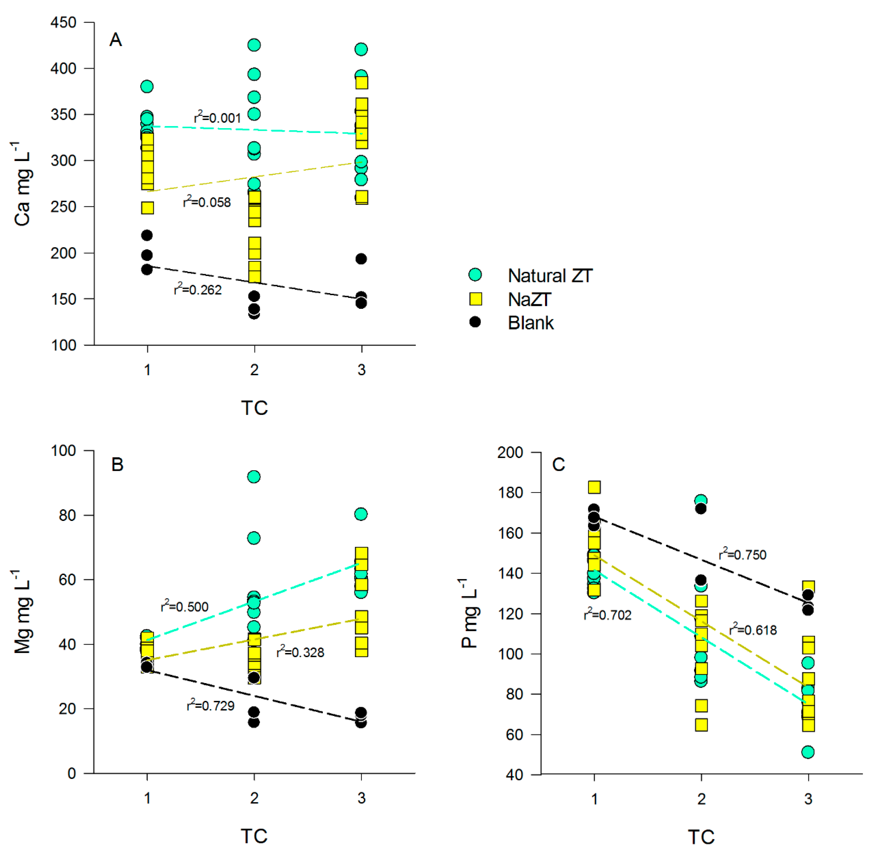
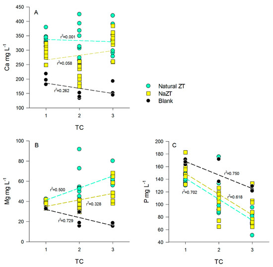
3.3. Dynamics of Other Major Elements (K+, Na+, Ca2+, Mg2+, and P) in the PS
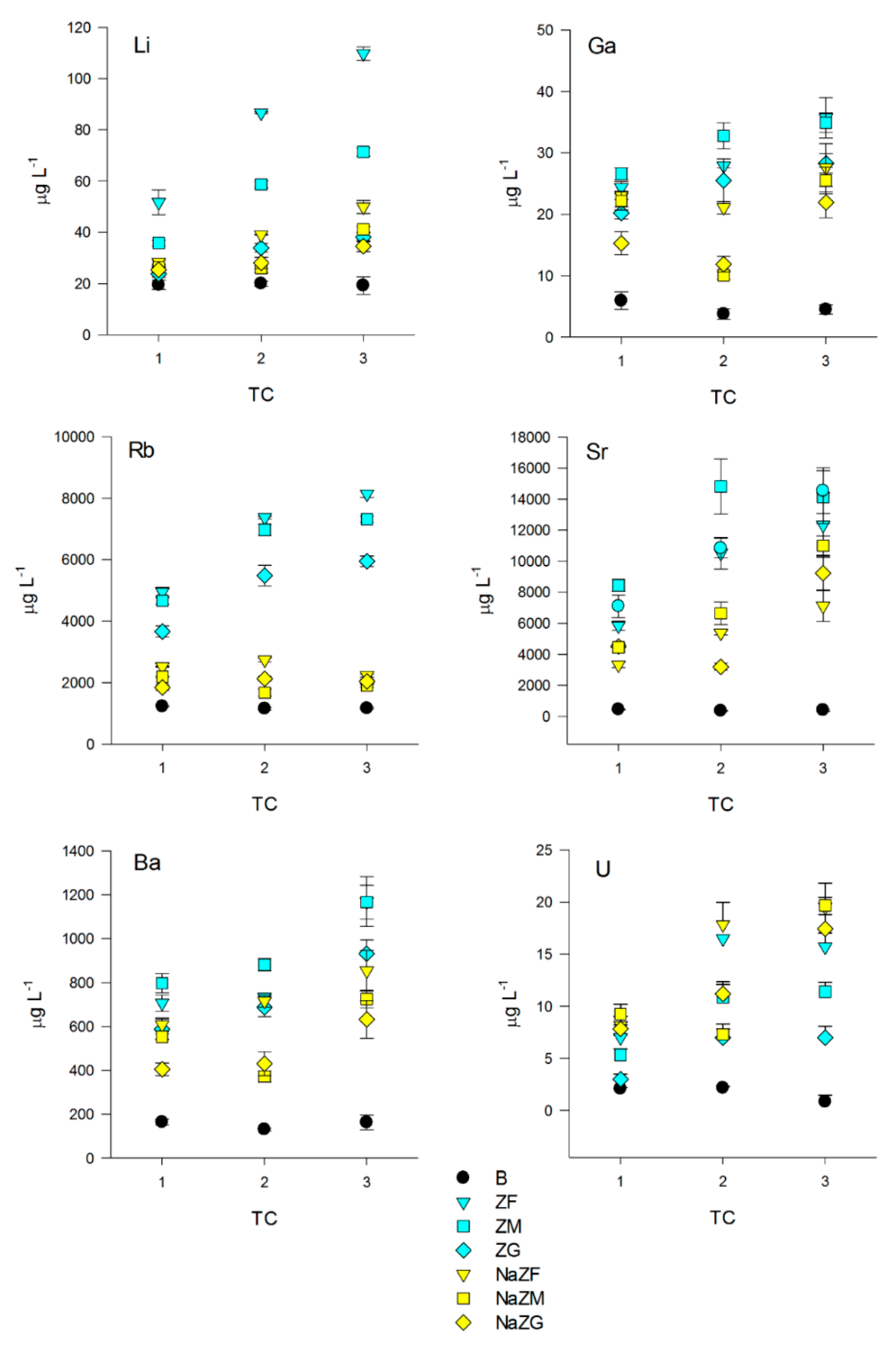
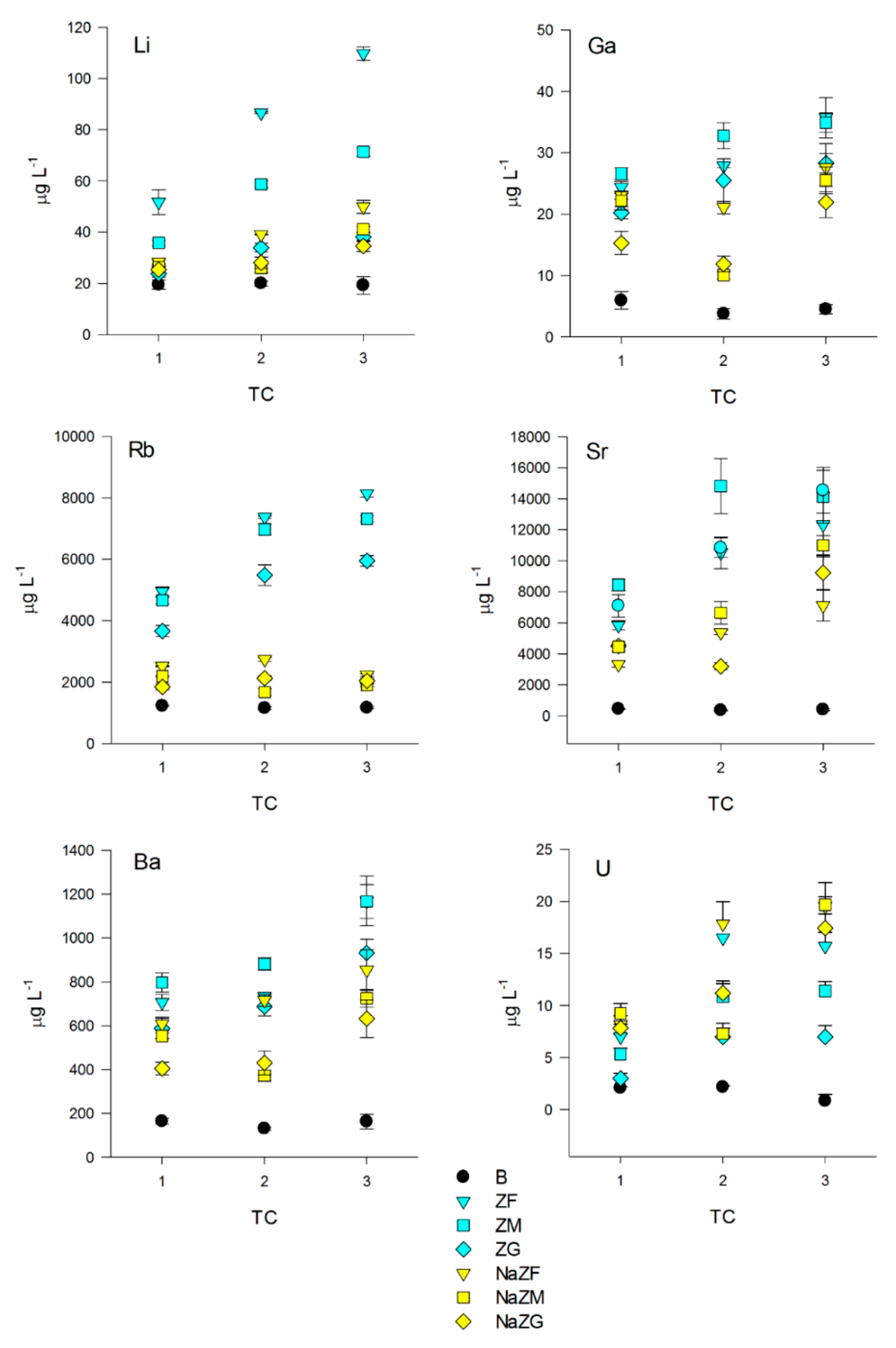
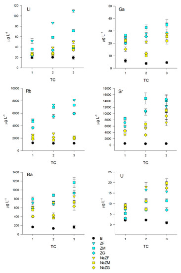
3.4. Dynamics of Heavy Metals (HMs) and Trace Elements in PS
4. Conclusions
Supplementary Materials
Author Contributions
Funding
Acknowledgments
Conflicts of Interest
Appendix A
| Parameter | Initial PS | B | ZF | ZM | ZG | NaZF | NaZM | NaZG |
|---|---|---|---|---|---|---|---|---|
| pH | 7.14 (0.03) a | 7.25 (0.02) b | 7.18 (0.02) a | 7.18 (0.05) a | 7.13 (0.01) a | 7.17 (0.01) a | 7.15 (0.03) a | 7.16 (0.01) a |
| EC * | 34.1 (0.5) e | 32.7 (1.4) d | 31.8 (0.7) b,c,d | 30.7 (0.3) a,b,c | 31.9 (0.2) c,d | 31.4 (0.3) a,b,c,d | 30.0 (0.2) a | 31.0 (0.2) c,d |
| Major Elements mg L−1 | ||||||||
| NH4 | 3690 (200) b | 3670 (270) b | 3290 (150) a,b | 3210 (170) a | 3290 (190) a,b | 3070 (110) a | 2910 (110) a | 3030 (80) a |
| Na | 304 (8) a | 326 (6) a,b | 351 (5) b,c | 361 (10) c | 372 (10) c | 1017 (35) d | 1165 (15) e | 958 (57) d |
| Mg | 65.0 (2.5) a | 33.3 (0.7) a,b | 38.1 (0.4) b | 40.2 (1.5) b | 39.8 (2.3) b | 39.9 (1.8) b | 38.5 (0.6) b | 35.1 (2.6) a,b |
| P | 215 (14) d | 167 (4) b,c | 142 (10) a,b,c | 140 (8) a,b | 139 (7) a | 169 (12) c | 155 (8) a,b,c | 144 (12) a,b,c |
| K | 1691 (11) b,c | 1775 (31) c | 1780 (89) c | 1799 (58) c | 1847 (44) d | 1433 (59) a | 1419 (26) a | 1585 (29) b |
| Ca | 170 (26) a | 199 (19) a | 333 (6) b,c | 351 (27) c | 327 (16) b,c | 288 (18) b | 319 (6) b,c | 282 (29) b |
| Heavy Metals µg L−1 | ||||||||
| Ti | 763 (46) c,d | 611 (17) a,b | 803 (58) d | 689 (54) b,c | 595 (19) a,b | 688 (11) b,c | 593 (25) a,b | 528 (25) a |
| V | 24.0 (1.8) a | 25.8 (1.1) a,b | 44.2 (1.7) c,d | 36.6 (0.8) b | 28.7 (1.0) a | 46.5 (3.8) d | 39.0 (2.9) b,c | 31.1 (1.4) a,b |
| Cr | 61.6 (3) a | 74.5 (8.0) a | 71.4 (5.0) a | 65.7 (12.7) a | 74.8 (5.4) a | 76.5 (9.1) a | 75.7 (5.7) a | 70.5 (7.9) a |
| Mn | 1044 (332) a | 1088 (100) a,b | 1432 (135) a,b | 1426 (356) a,b | 1333 (19) a,b | 1606 (102) b | 1521 (113) a,b | 1072 (119) a,b |
| Fe | 4678 (763) a | 5846 (475) a,b | 7546 (430) c | 6865 (751) b | 6387 (85) a,b,c | 6872 (89) b,c | 6541 (581) b,c | 5888 (329) a,b |
| Ni | 170 (12) a | 231 (62) a,b | 296 (48) b | 259 (99) b | 257 (10) b | 256 (11) b | 269 (15) b | 239 (20) b |
| Cu | 815 (265) a | 1189 (98) b | 1241 (63) b | 1142 (169) a,b | 1184 (32) b | 1351 (43) b | 1366 (69) b | 1271 (115) b |
| Zn | 2138 (891) a | 3155 (344) a,b | 3444 (317) b | 3010 (522) a,b | 3101 (53) a,b | 3739 (170) b | 3407 (243) b | 3113 (198) a,b |
| Ga | 6.33 (0.29) a | 5.92 (1.42) a | 24.3 (1.0) d | 26.6 (1.0) e | 20.2 (1.0) c | 23.0 (0.6) c,d | 22.2 (1.5) c,d | 15.3 (1.9) b |
| U | 2.00 (0.62) a | 2.08 (0.14) a | 7.00 (0.25) b,c | 5.33 (0.58) b | 3.00 (0.50) a | 8.17 (0.88) c,d | 9.27 (0.93) d | 7.83 (0.38) c,d |
| Other Trace Elements µg L−1 | ||||||||
| Li | 20.6 (3.7) a | 19.4 (1.8) a | 51.7 (4.9) d | 35.8 (1.2) c | 23.7 (1.2) a,b | 28.4 (0.8) b | 26.4 (0.5) b | 25.3 (1.0) b |
| Rb | 1205 (22) a | 1222 (19) a | 4946 (148) f | 4664 (105) f | 3663 (189) e | 2515 (11) d | 2185 (19) c | 1841 (98) b |
| Sr | 429 (13) a | 446 (26) a | 5843 (284) d | 8451 (396) f | 7098 (726) e | 3317 (182) b | 4508 (110) c | 4440 (280) c |
| Ba | 178 (12) a | 164 (14) a | 707 (37) d | 797 (37) e | 588 (46) c | 608 (30) c | 553 (13) c | 405 (29) b |
| Parameter | B | ZF | ZM | ZG | NaZF | NaZM | NaZG |
|---|---|---|---|---|---|---|---|
| pH | 7.75 (0.01) d | 7.53 (0.02) a,b | 7.56 (0.02) a,b | 7.51 (0.01) a | 7.63 (0.04) c | 7.60 (0.02) b,c | 7.57 (0.02) b |
| EC * | 32.2 (0.3) b | 29.6 (0.6) a | 28.9 (0.7) a | 29.2 (0.2) a | 29.3 (0.1) a | 28.8 (0.3) a | 29.0 (0.9) a |
| Major Elements mg L−1 | |||||||
| NH4 | 3490 (190) d | 2770 (70) c | 2710 (130) b,c | 2720 (110) b,c | 2400 (90) a,b | 2190 (26) a | 2330 (28) a |
| Na | 343 (17) a | 401 (5) a | 468 (130) a | 405 (11) a | 1759 (64) c | 1000 (70) b | 1603 (105) c |
| Mg | 21.3 (7.2) a | 72.7 (19) c | 48.4 (6.8) b,c | 50.3 (4.5) b,c | 37.8 (3.6) b | 31.6 (2.2) a,b | 38.4 (2.6) b |
| P | 148 (21) b | 133 (42) a,b | 91.9 (5.9) a | 105 (15) a,b | 110 (8) a,b | 118 (8) a,b | 77.3 (14) a |
| K | 2144 (83) d | 2101 (28) d | 2144 (52) d | 2126 (54) d | 888 (39) a | 1317 (93) c | 1056 (42) b |
| Ca | 141 (10) a | 350 (43) d | 368 (56) d | 284 (26) c,d | 243 (7) c | 186 (13) a,b | 238 (24) b,c |
| Heavy Metals µg L−1 | |||||||
| Ti | 510 (58) c | 731 (89) d | 388 (46) a,b | 419 (52) a,b | 475 (42) b | 427 (30) a,b | 308 (61) a |
| V | 21.9 (0.9) a | 48.4 (0.1) d | 38.6 (3.3) b,c | 29.9 (3.6) a | 46.5 (2.7) c,d | 27.2 (1.9) a | 28.8 (5.4) a |
| Cr | 81.5 (4.7) b | 60.9 (6.0) a | 56.5 (6.1) a | 66.6 (7.3) a | 61.3 (6.0) a | 83.3 (5.9) b | 60.0 (3.5) a |
| Mn | 626 (80) a | 910 (87) a | 542 (158) a | 764 (92) a | 824 (361) a | 948 (67) a | 741 (206) a |
| Fe | 5244 (65) a | 6223 (273) a | 4667 (666) a | 5020 (241) a | 5350 (794) a | 5202 (366) a | 4646 (735) a |
| Ni | 180 (14) a | 277 (14) b,c | 300 (32) c | 236 (14) b | 188 (7) a | 167 (12) a | 178 (7) a |
| Cu | 1102 (33) b | 826 (80) a,b | 703 (93) a | 916 (47) a,b | 925 (77) b | 1094 (77) b | 911 (192) a,b |
| Zn | 2688 (36) a,b | 2315 (293) a,b | 1785 (261) a | 2452 (17) a,b | 3033 (456) a,b | 3311 (233) a,b | 5045 (2993) b |
| Ga | 3.75 (0.87) a | 27.9 (0.4) d | 32.8 (2.1) e | 25.5 (3.5) c,d | 21.1 (1.0) c | 10.1 (0.7) b | 11.9 (1.3) b |
| U | 2.17 (0.14) a | 16.8 (0.5) d | 10.9 (1.3) c | 7.0 (1.3) b | 17.9 (2.1) d | 7.3 (0.5) b | 11.2 (1.2) c |
| Other Trace Elements µg L−1 | |||||||
| Li | 20.0 (1.0) a | 86.7 (0.3) f | 58.7 (1.4) e | 33.9 (1.7) c | 39.1 (0.2) d | 26.0 (1.8) b | 28.0 (2.2) b |
| Rb | 1150 (42) a | 7368 (40) f | 6970 (183) f | 5487 (337) e | 2736 (64) d | 1668 (117) b | 2128 (80) c |
| Sr | 357 (27) a | 10518 (1020) d | 14813 (1765) e | 10838 (626) d | 5375 (147) c | 3192 (224) b | 6638 (734) c |
| Ba | 131 (6) a | 734 (6) c | 881 (29) d | 687 (41) c | 716 (27) c | 372 (26) b | 430 (54) b |
| Parameter | B | ZF | ZM | ZG | NaZF | NaZM | NaZG |
|---|---|---|---|---|---|---|---|
| pH | 8.12 (0.04) c | 7.82 (0.05) a,b,c | 7.77 (0.01) a | 7.76 (0.02) a | 7.90 (0.02) c | 7.88 (0.03) b,c | 7.82 (0.02) a,b |
| EC * | 31.3 (0.2) c | 28.0 (0.7) b | 27.7 (0.5) a,b | 27.7 (0.2) a,b | 27.2 (0.4) a,b | 26.7 (0.4) a | 28.0 (0.1) b |
| Major Elements mg L−1 | |||||||
| NH4 | 3660 (60) d | 2440 (40) c | 2380 (90) c | 2330 (80) c | 1750 (80) b | 1510 (80) a | 1800 (100) b |
| Na | 365 (17) a | 434 (13) b | 435 (12) b | 472 (12) b | 2383 (136) c,d | 2537 (111) d | 2004 (88) c |
| Mg | 17.3 (1.6) a | 60.5 (2.7) b,c | 60.2 (4.3) b,c | 69.1 (9.8) c | 43.6 (5.0) b | 51.2 (12.4) b,c | 57.2 (11.3) b,c |
| P | 124 (4) b | 64.1 (11.4) a | 75.9 (7.1) a | 81.6 (13.5) a,b | 86.5 (17.5) a,b | 82.3 (21.3) a,b | 103 (31) a,b |
| K | 1911 (41) d | 1787 (43) c | 1778 (35) c | 1848 (35) c,d | 516 (37.6) a | 426 (17.8) a | 745 (70.7) b |
| Ca | 163 (26) a | 367 (68) b | 298 (39) b | 321 (38) b | 310 (47) b | 313 (46) b | 363 (21) b |
| Heavy Metals µg L−1 | |||||||
| Ti | 434 (15) a,b | 796 (221) c | 598 (12) b,c | 363 (43) a | 453 (55) a,b | 363 (58) a | 400 (95) a,b |
| V | 18.9 (0.9) a | 52.1 (5.5) d,e | 42.8 (2.3) c,d | 27.3 (2.4) a | 53.2 (4.4) e | 41.1 (3.4) c | 32.3 (3.5) b,c |
| Cr | 51.4 (3.2) a | 52.9 (3.9) a | 49.6 (1.0) a | 48.3 (3.0) a | 50.2 (4.8) a | 43.9 (6.0) a | 42.7 (4.4) a |
| Mn | 771 (129) a | 1152 (247) a | 911 (49) a | 719 (168) a | 781 (180) a | 811 (229) a | 1021 (101) a |
| Fe | 6260 (534) a | 9047 (2028) a | 7626 (534) a | 4613 (369) a | 5358 (134) a | 4529 (561) a | 4779 (590) a |
| Ni | 150 (34) a | 208 (25) a | 190 (22) a | 202 (36) a | 191 (18) a | 172 (23) a | 197 (10) a |
| Cu | 1251 (63) b | 825 (145) a | 832 (40) a | 743 (79) a | 856 (190) a | 831 (122) a | 951 (129) a,b |
| Zn | 4438 (1339) b | 2596 (423) a | 2534 (14) a | 2034 (71) a | 2854 (735) a,b | 2148 (284) a | 2439 (334) a |
| Ga | 4.50 (0.75) a | 35.7 (3.3) d | 34.9 (1.6) c,d | 28.3 (1.6) b,c | 27.6 (3.9) b | 25.5 (2.2) b | 21.9 (2.5) b |
| U | 0.83 (0.63) a | 15.7 (1.4) d | 11.4 (0.9) c | 7.00 (1.09) b | 19.5 (0.9) e | 19.7 (2.1) e | 17.4 (1.4) d |
| Other trace Elements µg L−1 | |||||||
| Li | 19.2 (3.5) a | 110 (2.6) f | 71.4 (1.6) e | 38.1 (1.7) b,c | 49.9 (2.6) d | 41.2 (1.2) c | 34.5 (2.1) b |
| Rb | 1164 (32) a | 8141 (117) f | 7315 (100) e | 5949 (166) d | 2229 (45) c | 1896 (42) b | 2034 (68) b,c |
| Sr | 404 (76) a,b | 12328 (2082) c | 14143 (1703) c | 14544 (1479) c | 7106 (993) b | 9230 (1088) b | 11003 (624) b,c |
| Ba | 163 (33) a | 1169 (113) d | 1167 (77) d | 931 (62) c | 854 (93) c | 725 (41) b,c | 632 (86) b |
References
- Steinfeld, H.; Food and Agriculture Organization of the United Nations; Livestock, E.; Firm, D. Livestock’s Long Shadow: Environmental Issues and Options; Food and Agriculture Organization of the United Nations: Rome, Italy, 2006; ISBN 9251055718. [Google Scholar]
- Longhurst, R.D.; Roberts, A.H.C.; O’Connor, M.B. Farm dairy effluent: A review of published data on chemical and physical characteristics in New Zealand. N. Z. J. Agric. Res. 2000, 43, 7–14. [Google Scholar] [CrossRef]
- Pagliari, P.H.; Laboski, C.A.M. Investigation of the Inorganic and Organic Phosphorus Forms in Animal Manure. J. Environ. Qual. 2012, 41, 901–910. [Google Scholar] [CrossRef]
- Bolan, N.S.; Khan, M.A.; Donaldson, J.; Adriano, D.C.; Matthew, C. Distribution and bioavailability of copper in farm effluent. Sci. Total Environ. 2003, 309, 225–236. [Google Scholar] [CrossRef]
- Hickey, C.W.; Quinn, J.M.; Davies-Colley, R.J. Effluent Characteristics of Dairy Shed Oxidation Ponds and Their Potential Impacts on Rivers. N. Z. J. Mar. Freshw. Res. 1989, 23, 569–584. [Google Scholar] [CrossRef]
- Hooda, P.S.; Edwards, A.C.; Anderson, H.A.; Miller, A. A review of water quality concerns in livestock farming areas. Sci. Total Environ. 2000, 250, 143–167. [Google Scholar] [CrossRef]
- Martinez, J.; Guiziou, F.; Peu, P.; Gueutier, V. Influence of treatment techniques for pig slurry on methane emissions during subsequent storage. Biosyst. Eng. 2003, 85, 347–354. [Google Scholar] [CrossRef]
- Leytem, A.B.; Dungan, R.S.; Bjorneberg, D.L.; Koehn, A.C. Emissions of Ammonia, Methane, Carbon Dioxide, and Nitrous Oxide from Dairy Cattle Housing and Manure Management Systems. J. Environ. Qual. 2011, 40, 1383–1394. [Google Scholar] [CrossRef] [PubMed]
- Jongbloed, A.W.; Lenis, N.P. Environmental concerns about animal manure. J. Anim. Sci. 1998, 76, 2641–2648. [Google Scholar] [CrossRef] [PubMed]
- Bolan, N.S.; Horne, D.J.; Currie, L.D. Growth and chemical composition of legume-based pasture irrigated with dairy farm effluent. N. Z. J. Agric. Res. 2004, 47, 85–93. [Google Scholar] [CrossRef]
- Guan, T.Y.; Holley, R.A. Pathogen Survival in Swine Manure Environments and Transmission of Human Enteric Illness—A Review. J. Environ. Qual. 2003, 32, 383–392. [Google Scholar] [CrossRef]
- Ross, C.; Donnison, A. Campylobacter and farm dairy effluent irrigation. N. Z. J. Agric. Res. 2003, 46, 255–262. [Google Scholar] [CrossRef]
- Martinez, J.; Dabert, P.; Barrington, S.; Burton, C. Livestock waste treatment systems for environmental quality, food safety, and sustainability. Bioresour. Technol. 2009, 100, 5527–5536. [Google Scholar] [CrossRef] [PubMed]
- Bernet, N.; Béline, F. Challenges and innovations on biological treatment of livestock effluents. Bioresour. Technol. 2009, 100, 5431–5436. [Google Scholar] [CrossRef]
- Faccini, B.; Di Giuseppe, D.; Malferrari, D.; Coltorti, M.; Abbondanzi, F.; Campisi, T.; Laurora, A.; Passaglia, E. Ammonium-exchanged zeolitite preparation for agricultural uses: From laboratory tests to large-scale application in ZeoLIFE project prototype. Period. Mineral. 2015, 84, 303–321. [Google Scholar]
- De Smedt, C.; Someus, E.; Spanoghe, P. Potential and actual uses of zeolites in crop protection. Pest Manag. Sci. 2015, 71, 1355–1367. [Google Scholar] [CrossRef] [PubMed]
- Passaglia, E. Zeoliti Naturali, Zeolititi e Loro Applicazioni; Arvan: Mira-Venezia, Italy, 2008; ISBN 9788887801194. [Google Scholar]
- Leyva-Ramos, R.; Monsivais-Rocha, J.E.; Aragon-Piña, A.; Berber-Mendoza, M.S.; Guerrero-Coronado, R.M.; Alonso-Davila, P.; Mendoza-Barron, J. Removal of ammonium from aqueous solution by ion exchange on natural and modified chabazite. J. Environ. Manage. 2010, 91, 2662–2668. [Google Scholar] [CrossRef]
- Inglezakis, V.J. The concept of “capacity” in zeolite ion-exchange systems. J. Colloid Interface Sci. 2005, 281, 68–79. [Google Scholar] [CrossRef]
- Lei, L.; Li, X.; Zhang, X. Ammonium removal from aqueous solutions using microwave-treated natural Chinese zeolite. Sep. Purif. Technol. 2008, 58, 359–366. [Google Scholar] [CrossRef]
- Lin, L.; Lei, Z.; Wang, L.; Liu, X.; Zhang, Y.; Wan, C.; Lee, D.-J.; Tay, J.H. Adsorption mechanisms of high-levels of ammonium onto natural and NaCl-modified zeolites. Sep. Purif. Technol. 2013, 103, 15–20. [Google Scholar] [CrossRef]
- Canli, M.; Abali, Y.; Bayca, S.U. Removal of methylene blue by natural and ca and k-exchanged zeolite treated with hydrogen peroxide. Physicochem. Probl. Miner. Process. 2013, 49, 481–496. [Google Scholar]
- Colombani, N.; Di Giuseppe, D.; Faccini, B.; Ferretti, G.; Mastrocicco, M.; Coltorti, M. Estimated Water Savings in an Agricultural Field Amended With Natural Zeolites. Environ. Process. 2016, 3, 617–628. [Google Scholar] [CrossRef]
- Di Giuseppe, D.; Ferretti, G.; Faccini, B.; Blasi, E.; Passeri, N.; Bianchini, G.; Coltorti, M. Is it possible to cultivate corn in a sustainable way using a quarry waste? Period. Mineral. 2016, 85, 179–183. [Google Scholar]
- Ferretti, G.; Di Giuseppe, D.; Natali, C.; Faccini, B.; Bianchini, G.; Coltorti, M. C-N elemental and isotopic investigation in agricultural soils: Insights on the effects of zeolitite amendments. Chem. Erde-Geochem. 2017, 77, 45–52. [Google Scholar] [CrossRef]
- Eslami, M.; Khorassani, R.; Coltorti, M.; Malferrari, D.; Faccini, B.; Ferretti, G.; Di Giuseppe, D.; Fotovat, A.; Halajnia, A. Leaching behaviour of a sandy soil amended with natural and NH4+ and K+ saturated clinoptilolite and chabazite. Arch. Agron. Soil Sci. 2018, 64, 1142–1151. [Google Scholar] [CrossRef]
- Gholamhoseini, M.; Ghalavand, A.; Khodaei-Joghan, A.; Dolatabadian, A.; Zakikhani, H.; Farmanbar, E. Zeolite-amended cattle manure effects on sunflower yield, seed quality, water use efficiency and nutrient leaching. Soil Tillage Res. 2013, 126, 193–202. [Google Scholar] [CrossRef]
- Colombani, N.; Di Giuseppe, D.; Faccini, B.; Ferretti, G.; Mastrocicco, M.; Coltorti, M. Inferring the interconnections between surface water bodies, tile-drains and an unconfined aquifer-aquitard system: A case study. J. Hydrol. 2016, 537, 86–95. [Google Scholar] [CrossRef]
- Reháková, M.; Čuvanová, S.; Dzivák, M.; Rimár, J.; Gaval’Ová, Z. Agricultural and agrochemical uses of natural zeolite of the clinoptilolite type. Curr. Opin. Solid State Mater. Sci. 2004, 8, 397–404. [Google Scholar] [CrossRef]
- Ferretti, G.; Keiblinger, K.M.; Di Giuseppe, D.; Faccini, B.; Colombani, N.; Zechmeister-Boltenstern, S.; Coltorti, M.; Mastrocicco, M. Short-Term Response of Soil Microbial Biomass to Different Chabazite Zeolite Amendments. Pedosphere 2018, 28, 277–287. [Google Scholar] [CrossRef]
- Ferretti, G.; Faccini, B.; Vittori Antisari, L.; Di Giuseppe, D.; Coltorti, M. 15N Natural Abundance, Nitrogen and Carbon Pools in Soil-Sorghum System Amended with Natural and NH4+-Enriched Zeolitites. Appl. Sci. 2019, 9, 4524. [Google Scholar] [CrossRef]
- Zaman, M.; Nguyen, M.L.; Matheson, F.; Blennerhassett, J.D.; Quin, B.F. Can soil amendments (zeolite or lime) shift the balance between nitrous oxide and dinitrogen emissions from pasture and wetland soils receiving urine or urea-N? Aust. J. Soil Res. 2007, 45, 543–553. [Google Scholar] [CrossRef]
- Bundan, L.; Majid, N.M.A.; Ahmed, O.H.; Jiwan, M.; Kundat, F.R. Ammonia volatilization from urea at different levels of zeolite. Int. J. Phys. Sci. 2011, 6, 7717–7720. [Google Scholar]
- Bernardi, A.C.C.; Mota, E.P.; Cardosa, R.D. Ammonia Volatilization from Soil, Dry- Matter Yield, and Nitrogen Levels of Italian Ryegrass. Commun. Soil Sci. Plant Anal. 2014, 45, 153–162. [Google Scholar] [CrossRef]
- Kučić, D.; Kopčić, N.; Briški, F. Zeolite and potting soil sorption of CO2 and NH3 evolved during co-composting of grape and tobacco waste. Chem. Pap. 2013, 67, 1172–1180. [Google Scholar] [CrossRef]
- Ferretti, G.; Keiblinger, K.M.; Zimmermann, M.; Di Giuseppe, D.; Faccini, B.; Colombani, N.; Mentler, A.; Zechmeister-Boltenstern, S.; Coltorti, M.; Mastrocicco, M. High resolution short-term investigation of soil CO2, N2O, NOx and NH3 emissions after different chabazite zeolite amendments. Appl. Soil Ecol. 2017, 119, 138–144. [Google Scholar] [CrossRef]
- Faccini, B.; Di Giuseppe, D.; Ferretti, G.; Coltorti, M.; Colombani, N.; Mastrocicco, M. Natural and NH4+-enriched zeolitite amendment effects on nitrate leaching from a reclaimed agricultural soil (Ferrara Province, Italy). Nutr. Cycl. Agroecosyst. 2018, 110, 327–341. [Google Scholar] [CrossRef]
- Vezzoli, L.; Conticelli, S.; Innocenti, F.; Landi, P.; Manetti, P.; Palladino, D.M.; Trigilla, R. Stratigraphy of the Latera Volcanic Complex: Proposals for a new nomenclature. Period. Mineral. 1987, 56, 89–110. [Google Scholar]
- Passaglia, E.; Vezzalini, G. Crystal chemistry of diagenetic zeolites in volcanoclastic deposits of Italy. Contrib. Mineral. Petrol. 1985, 90, 190–198. [Google Scholar] [CrossRef]
- Malferrari, D.; Laurora, A.; Brigatti, M.F.; Coltorti, M.; Di Giuseppe, D.; Faccini, B.; Passaglia, E.; Vezzalini, M.G. Open-field experimentation of an innovative and integrated zeolitite cycle: Project definition and material characterization. Rend. Lincei 2013, 24, 141–150. [Google Scholar] [CrossRef]
- Huang, H.; Xiao, X.; Yan, B.; Yang, L. Ammonium removal from aqueous solutions by using natural Chinese (Chende) zeolite as adsorbent. J. Hazard. Mater. 2010, 175, 247–252. [Google Scholar] [CrossRef]
- Luedecke, C.; Hermanowicz, S.; Jenkins, D. Precipitation of ferric phosphate in activated sludge: A chemical model and its verification. Water Pollut. Res. Control Bright. 1988, 1988, 325–337. [Google Scholar]
- Yan, H.; Shih, K. Effects of calcium and ferric ions on struvite precipitation: A new assessment based on quantitative X-ray diffraction analysis. Water Res. 2016, 95, 310–318. [Google Scholar] [CrossRef] [PubMed]
- Paul, J.W.; Beauchamp, E.G. Relationship between volatile fatty acids, total ammonia, and pH in manure slurries. Biol. Wastes 1989, 29, 313–318. [Google Scholar] [CrossRef]
- Chan, M.T.; Selvam, A.; Wong, J.W.C. Reducing nitrogen loss and salinity during “struvite” food waste composting by zeolite amendment. Bioresour. Technol. 2016, 200, 838–844. [Google Scholar] [CrossRef] [PubMed]
- Lebedynets, M.; Sprynskyy, M.; Sakhnyuk, I.; Zbytniewski, R.; Golembiewski, R.; Buszewski, B. Adsorption of Ammonium Ions onto a Natural Zeolite: Transcarpathian Clinoptilolite. Adsorpt. Sci. Technol. 2004, 22, 731–741. [Google Scholar] [CrossRef]
- Kithome, M.; Paul, J.W.; Lavkulich, L.M.; Bomke, A.A. Kinetics of Ammonium Adsorption and Desorption by the Natural Zeolite Clinoptilolite. Soil Sci. Soc. Am. J. 1998, 62, 622–629. [Google Scholar] [CrossRef]
- Velthof, G.; Kuikman, P.; Oenema, O. Nitrous oxide emission from animal manures applied to soil under controlled conditions. Biol. Fertil. Soils 2003, 37, 221–230. [Google Scholar] [CrossRef]
- Jha, V.K.; Hayashi, S. Modification on natural clinoptilolite zeolite for its NH4+ retention capacity. J. Hazard. Mater. 2009, 169, 29–35. [Google Scholar] [CrossRef]
- Kotoulas, A.; Agathou, D.; Triantaphyllidou, I.; Tatoulis, T.; Akratos, C.; Tekerlekopoulou, A.; Vayenas, D. Zeolite as a Potential Medium for Ammonium Recovery and Second Cheese Whey Treatment. Water 2019, 11, 136. [Google Scholar] [CrossRef]
- Nguyen, M.L.; Tanner, C.C. Ammonium removal from wastewaters using natural New Zealand zeolites. N. Z. J. Agric. Res. 1998, 41, 427–446. [Google Scholar] [CrossRef]
- Leyva-Ramos, R.; Aguilar-Armenta, G.; Gonzalez-Gutierrez, L.V.; Guerrero-Coronado, R.M.; Mendoza-Barron, J. Ammonia exchange on clinoptilolite from mineral deposits located in Mexico. J. Chem. Technol. Biotechnol. 2004, 79, 651–657. [Google Scholar] [CrossRef]
- Cheng, Q.; Li, H.; Xu, Y.; Chen, S.; Liao, Y.; Deng, F.; Li, J. Study on the adsorption of nitrogen and phosphorus from biogas slurry by NaCl-modified zeolite. PLoS ONE 2017, 12, e0176109. [Google Scholar] [CrossRef] [PubMed]
- Huang, H.; Liu, J.; Jiang, Y. Crystallization and precipitation of phosphate from swine wastewater by magnesium metal corrosion. Sci. Rep. 2015, 5, 16601. [Google Scholar] [CrossRef] [PubMed]
- Ouki, S.K.; Kavannagh, M. Performance of natural zeolites for the treatment of mixed metal-contaminated effluents. Waste Manag. Res. 1997, 15, 383–394. [Google Scholar] [CrossRef]
- Malamis, S.; Katsou, E. A review on zinc and nickel adsorption on natural and modified zeolite, bentonite and vermiculite: Examination of process parameters, kinetics and isotherms. J. Hazard. Mater. 2013, 252–253, 428–461. [Google Scholar] [CrossRef] [PubMed]
- Ali, A.A.; El-Bishtawi, R. Removal of Lead and Nickel Ions Using Zeolite Tuff. J. Chem. Technol. Biotechnol. 1997, 69, 27–34. [Google Scholar] [CrossRef]
- Pansini, M.; Colella, C.; De Gennaro, M. Chromium removal from water by ion exchange using zeolite. Desalination 1991, 83, 145–157. [Google Scholar] [CrossRef]
- Barrer, R.M.; Davies, J.A.; Rees, L.V.C. Thermodynamics and thermochemistry of cation exchange in chabazite. J. Inorg. Nucl. Chem. 1969, 31, 219–232. [Google Scholar] [CrossRef]






| Phase | wt% |
|---|---|
| Chabazite | 68.5 (0.9) |
| Phillipsite | 1.8 (0.4) |
| Analcime | 0.6 (0.3) |
| TZC | 70.9 |
| Mica | 5.3 (0.6) |
| K-Feldspar | 9.7 (0.7) |
| Plagioclase | - |
| Pyroxene | 2.9 (0.4) |
| Calcite | - |
| Volcanic glass | 11.2 (1.0) |
© 2020 by the authors. Licensee MDPI, Basel, Switzerland. This article is an open access article distributed under the terms and conditions of the Creative Commons Attribution (CC BY) license (http://creativecommons.org/licenses/by/4.0/).
Share and Cite
Ferretti, G.; Galamini, G.; Medoro, V.; Coltorti, M.; Di Giuseppe, D.; Faccini, B. Impact of Sequential Treatments with Natural and Na-Exchanged Chabazite Zeolite-Rich Tuff on Pig-Slurry Chemical Composition. Water 2020, 12, 310. https://doi.org/10.3390/w12020310
Ferretti G, Galamini G, Medoro V, Coltorti M, Di Giuseppe D, Faccini B. Impact of Sequential Treatments with Natural and Na-Exchanged Chabazite Zeolite-Rich Tuff on Pig-Slurry Chemical Composition. Water. 2020; 12(2):310. https://doi.org/10.3390/w12020310
Chicago/Turabian StyleFerretti, Giacomo, Giulio Galamini, Valeria Medoro, Massimo Coltorti, Dario Di Giuseppe, and Barbara Faccini. 2020. "Impact of Sequential Treatments with Natural and Na-Exchanged Chabazite Zeolite-Rich Tuff on Pig-Slurry Chemical Composition" Water 12, no. 2: 310. https://doi.org/10.3390/w12020310
APA StyleFerretti, G., Galamini, G., Medoro, V., Coltorti, M., Di Giuseppe, D., & Faccini, B. (2020). Impact of Sequential Treatments with Natural and Na-Exchanged Chabazite Zeolite-Rich Tuff on Pig-Slurry Chemical Composition. Water, 12(2), 310. https://doi.org/10.3390/w12020310

