Steady-State Methodology for Activated Sludge Model 1 (ASM1) State Variable Calculation in MBR
Abstract
1. Introduction
2. Materials and Methods
2.1. Biological Pathway and Variables
2.2. Operating Parameters
2.3. Methodology
2.3.1. Internal Loop Management
2.3.2. Expressions of State Variable Concentrations in the Bioreactor
3. Results
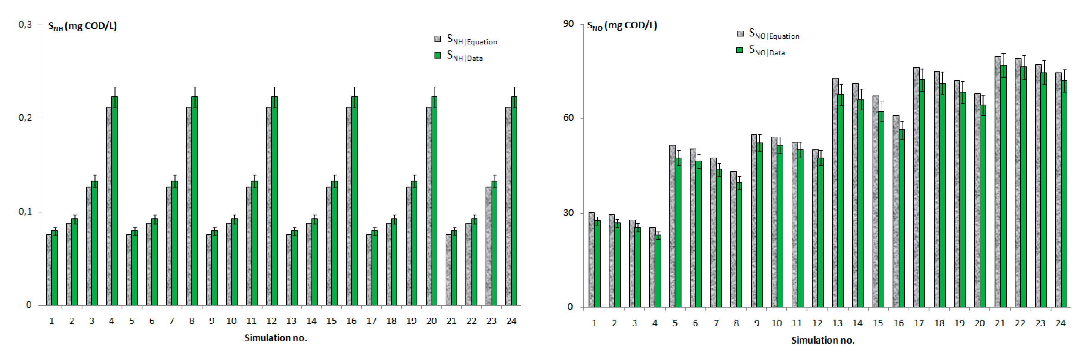
3.1. Equation Validation and Testing
3.2. Sensitivity Analysis
4. Discussion
5. Conclusions
Author Contributions
Funding
Conflicts of Interest
References
- Naessens, W.; Maere, T.; Nopens, I. Critical review of membrane bioreactor models—Part 1: Biokinetic and filtration models. Biores. Technol. 2012, 122, 95–106. [Google Scholar] [CrossRef] [PubMed]
- Hreiz, R.; Latifi, M.A.; Roche, N. Optimal design and operation of activated sludge processes: State-of-the-art. Chem. Eng. J. 2015, 281, 900–920. [Google Scholar] [CrossRef]
- Hauduc, H.; Gillot, S.; Rieger, L.; Ohtsuki, T.; Shaw, A.; Takács, I.; Winkler, S. Activated sludge modelling in practice: An international survey. Water Sci. Technol. 2009, 60, 1943–1951. [Google Scholar] [CrossRef] [PubMed]
- Henze, M.; Gujer, W.; Mino, T.; Van Loosedrecht, M. Activated Sludge Models ASM1, ASM2, ASM2d and ASM3. Water Intell. Online 2015, 5. [Google Scholar] [CrossRef]
- Queinnec, I.; Gómez-Quintero, C.-S. Reduced modeling and state observation of an activated sludge process. Biotechnol. Prog. 2009, 25, 654–666. [Google Scholar] [CrossRef] [PubMed]
- Cadet, C. Simplifications of Activated Sludge Model with preservation of its dynamic accuracy. IFAC Proc. Vol. 2014, 47, 7134–7139. [Google Scholar] [CrossRef]
- Cruz, J.A.S.; Mussati, S.; Scenna, N.J.; Gernaey, K.V.; Mussati, M.C. Reaction invariant-based reduction of the activated sludge model ASM1 for batch applications. J. Environ. Chem. Eng. 2016, 4, 3654–3664. [Google Scholar] [CrossRef]
- Anderson, J.S.; Kim, H.; Mc Avoy, J.T.; Hao, O.J. Control of an alternating aerobic-anoxic activated sludge system—Part 1: Development of a linearization-based modeling approach. Contr. Eng. Pract. 2000, 8, 271–278. [Google Scholar] [CrossRef]
- Benhalla, A.; Houssou, M.; Charif, M. Linearization of the full activated sludge model No 1 for interaction analysis. Bioprocess Biosyst. Eng. 2010, 33, 759–771. [Google Scholar] [CrossRef] [PubMed]
- Smets, I.Y.; Haegebaert, J.V.; Carrette, R.; Van Impe, J. Linearization of the activated sludge model ASM1 for fast and reliable predictions. Water Res. 2003, 37, 1831–1851. [Google Scholar] [CrossRef]
- Fenu, A.; Guglielmi, G.; Jimenez, J.; Spèrandio, M.; Saroj, D.; Lesjean, B.; Brepols, C.; Thoeye, C.; Nopens, I. Activated sludge model (ASM) based modelling of membrane bioreactor (MBR) processes: A critical review with special regard to MBR specificities. Water Res. 2010, 44, 4272–4294. [Google Scholar] [CrossRef] [PubMed]
- Brepols, C.; Comas, J.; Harmand, J.; Heran, M.; Robles, Á.; Rodriguez-Roda, I.; Ruano, M.V.; Smets, I.; Mannina, G. Position paper—Progress towards standards in integrated (aerobic) MBR modelling. Water Sci. Technol. 2020, 81, 1–9. [Google Scholar] [CrossRef] [PubMed]
- Petersen, B.; Gernaey, K.; Henze, M.; Vanrolleghem, P.A. Calibration of Activated Sludge Models: A Critical Review of Experimental Designs; Springer: Berlin, Germany, 2003; pp. 101–186. [Google Scholar]
- Diehl, S.; Zambrano, J.; Carlsson, B. Steady-state analysis of activated sludge processes with a settler model including sludge compression. Water Res. 2016, 88, 104–116. [Google Scholar] [CrossRef] [PubMed]
- Cosenza, A.; Mannina, G.; Vanrolleghem, P.A.; Neumann, M.B. Variance-based sensitivity analysis for wastewater treatment plant modelling. Sci. Total. Environ. 2014, 470, 1068–1077. [Google Scholar] [CrossRef] [PubMed]
- Heran, M.; Aryal, R.; Shon, H.K.; Vigneswaran, S.; Elmaleh, S.; Grasmick, A. Determining Criteria to optimize HF SMBR control. Water Environ. Res. 2012, 84, 115–119. [Google Scholar] [CrossRef] [PubMed]
- Mannina, G.; Ni, B.-J.; Rebouças, T.F.; Cosenza, A.; Olsson, G. Minimizing membrane bioreactor environmental footprint by multiple objective optimization. Biores. Technol. 2020, 302, 122824. [Google Scholar] [CrossRef] [PubMed]
- Demir, S.; Demir, N.M. Implementation of Activated Sludge Model No. 3 as an educational tool: BioXL3. Comput. Appl. Eng. Educ. 2020, 28, 1154–1173. [Google Scholar] [CrossRef]





| Condition | SNHi (mgN/L) | SSi (mgCOD/L) | OLR (gCOD/L/day) | COD/N (-) | SRT (day) |
|---|---|---|---|---|---|
| 1–4 | 20 | 200 | 1.2 | 11.43 | 60, 40, 20, 10 |
| 5–8 | 45 | 500 | 2.1 | 11.67 | 60, 40, 20, 10 |
| 9–12 | 45 | 200 | 1.2 | 6.67 | 60, 40, 20, 10 |
| 13–16 | 70 | 800 | 3 | 11.76 | 60, 40, 20, 10 |
| 17–20 | 70 | 500 | 2.1 | 8.24 | 60, 40, 20, 10 |
| 21–24 | 70 | 200 | 1.2 | 4.71 | 60, 40, 20, 10 |
| Parameter | Symbol | Unit | Value | |
|---|---|---|---|---|
| Stoichiometric parameters | Heterotrophic yield | YH | gCOD/gCOD | 0.67 |
| Autotrophic yield | YA | gCOD/gN | 0.24 | |
| Fraction of biomass yielding particulate products | fP | - | 0.08 | |
| Nitrogen content of the biomass | iXB | gN/gCOD | 0.086 | |
| Nitrogen content of the inert lysis products | iXP | gN/gCOD | 0.06 | |
| Kinetic parameters | Heterotrophic maximum specific growth rate | µH | 1/day | 6 |
| Heterotrophic decay rate | bH | 1/day | 0.62 | |
| Autrotrophic maximum specific growth rate | µA | 1/day | 0.8 | |
| Autrotrophic decay rate | bA | 1/day | 0.18 | |
| Half-saturation coefficient for heterotrophic biomass | KS | gCOD/m3 | 20 | |
| Maximum specific hydrolysis rate | kh | gCOD/gCOD/day | 3 | |
| Half-saturation coefficient for hydrolysis of XS | KX | gCOD/gCOD | 0.03 | |
| State Variable | Analytical Expression |
|---|---|
| Heterotrophic biomass concentration (gCOD/L) | |
| Concentration of Soluble organic compounds (gCOD/L) | |
| Concentration of particulate organic compounds (gCOD/L) | |
| Autotrophic biomass concentration (gCOD/L) | |
| Concentration of inert organic lysis products (gCOD/L) | |
| Soluble ammonia concentration (gN/L) | |
| Nitrite and nitrate concentration (gN/L) | |
| Concentration of inert particulates (g/L) | |
| Concentration of inert colloidal compounds (gCOD/L) |
| Sij Value Range | Influence Classification |
|---|---|
| Sij ≥ 2 | Extremely influential |
| 1 ≤ Sij < 2 | Very influential |
| 0.25 ≤ Sij < 1 | Influential |
| Sij < 0.25 | Not influential |
| j | SRT | HRT | SS,i | XI,i | |
|---|---|---|---|---|---|
| i | |||||
| XBH | |||||
| XS | |||||
| SS | |||||
| XI | |||||
| j | SRT | HRT | SS,i | XI,i | |
|---|---|---|---|---|---|
| i | |||||
| XBH | |||||
| XS | |||||
| SS | |||||
| XP | |||||
| XI | |||||
| Operating Parameter j | SRT (day) | HRT (h) | SS,i (mgCOD/L) | XI,i (mg/L) | ||||||||
|---|---|---|---|---|---|---|---|---|---|---|---|---|
| Nominal Value | 10 | 30 | 50 | 8 | 600 | 100 | ||||||
| Output i | Equ. | GPS-X | Equ. | GPS-X | Equ. | GPS-X | Equ. | GPS-X | Equ. | GPS-X | Equ. | GPS-X |
| XBH | 0.30 | 0.30 | 0.12 | 0.13 | 0.08 | 0.08 | 1.00 | 1.01 | 1.00 | 1.00 | 0.00 | 0.00 |
| XS | 0.30 | 0.30 | 0.12 | 0.12 | 0.08 | 0.08 | 1.00 | 1.01 | 1.00 | 1.03 | 0.00 | 0.00 |
| SS | 0.16 | 0.16 | 0.06 | 0.07 | 0.04 | 0.05 | 0.00 | 0.01 | 0.00 | 0.05 | 0.00 | 0.00 |
| XP | 1.30 | 1.30 | 1.12 | 1.12 | 1.08 | 1.08 | 1.00 | 1.01 | 1.00 | 1.00 | 0.00 | 0.00 |
| XI | 1.00 | 1.00 | 1.00 | 1.00 | 1.00 | 1.01 | 1.00 | 1.02 | 0.00 | 0.04 | 1.00 | 1.00 |
Publisher’s Note: MDPI stays neutral with regard to jurisdictional claims in published maps and institutional affiliations. |
© 2020 by the authors. Licensee MDPI, Basel, Switzerland. This article is an open access article distributed under the terms and conditions of the Creative Commons Attribution (CC BY) license (http://creativecommons.org/licenses/by/4.0/).
Share and Cite
Lahdhiri, A.; Lesage, G.; Hannachi, A.; Heran, M. Steady-State Methodology for Activated Sludge Model 1 (ASM1) State Variable Calculation in MBR. Water 2020, 12, 3220. https://doi.org/10.3390/w12113220
Lahdhiri A, Lesage G, Hannachi A, Heran M. Steady-State Methodology for Activated Sludge Model 1 (ASM1) State Variable Calculation in MBR. Water. 2020; 12(11):3220. https://doi.org/10.3390/w12113220
Chicago/Turabian StyleLahdhiri, Ameni, Geoffroy Lesage, Ahmed Hannachi, and Marc Heran. 2020. "Steady-State Methodology for Activated Sludge Model 1 (ASM1) State Variable Calculation in MBR" Water 12, no. 11: 3220. https://doi.org/10.3390/w12113220
APA StyleLahdhiri, A., Lesage, G., Hannachi, A., & Heran, M. (2020). Steady-State Methodology for Activated Sludge Model 1 (ASM1) State Variable Calculation in MBR. Water, 12(11), 3220. https://doi.org/10.3390/w12113220

