Simulation of Water-Use Efficiency of Crops under Different Irrigation Strategies
Abstract
1. Introduction
2. Methodology
2.1. Water-Use Efficiency
2.2. Irrigation Management
2.3. A Proxy for Economic Performance
2.4. Application to Representative Conditions in Central Chile
2.5. Model Inputs
3. Results and Discussion
3.1. Dry Yield as a Function of Water Use
3.1.1. Dry Yield as a Function of Water Use for Maize
3.1.2. Dry Yield as a Function of Water Use for Sugar Beet
3.1.3. Dry Yield as a Function of Water Use for Wheat
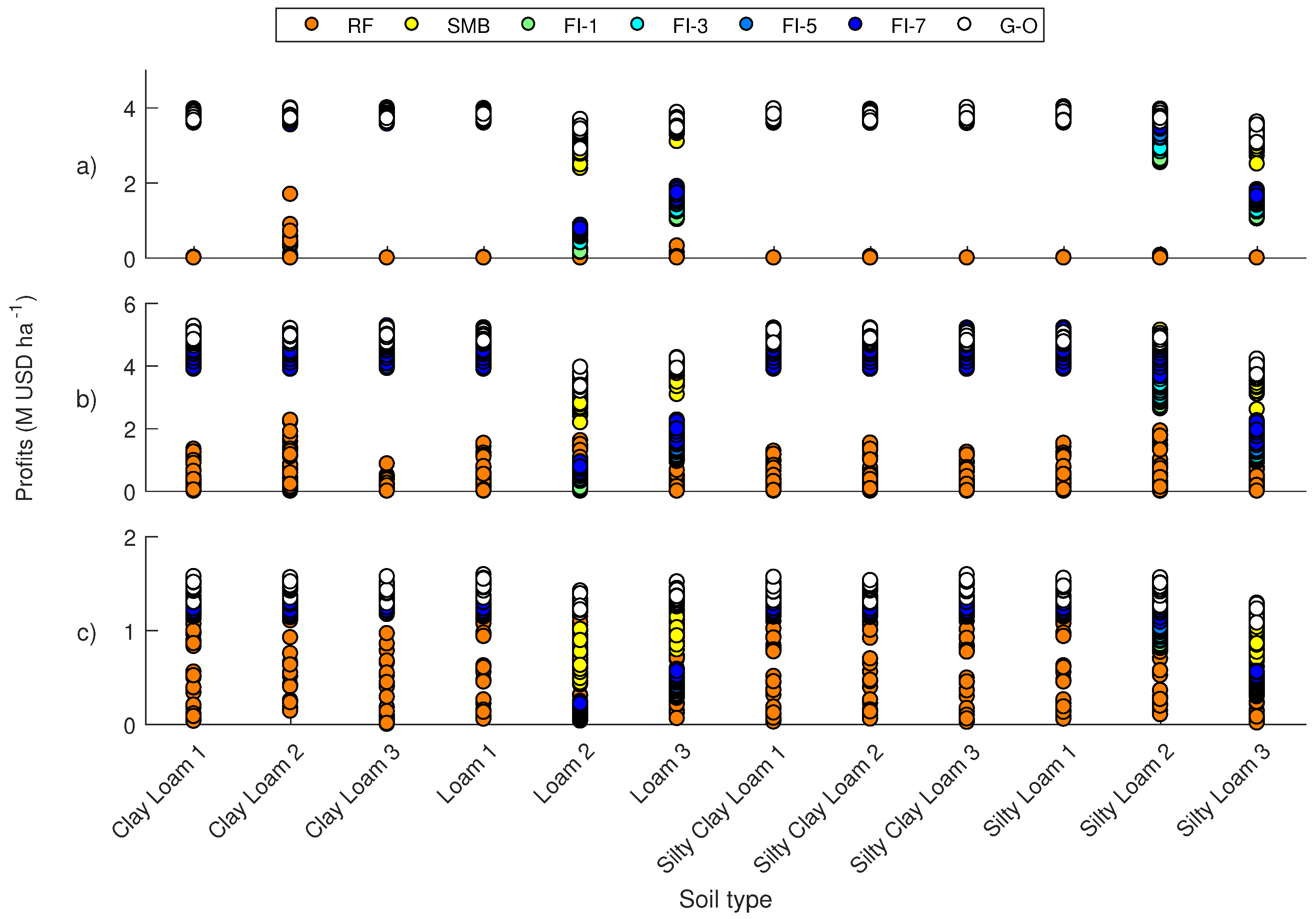
3.2. Economic Analysis
3.3. Water Use Efficiency
4. Conclusions
Author Contributions
Funding
Acknowledgments
Conflicts of Interest
Appendix A
| Soil | RF | SMB | FI-1 | FI-3 | FI-5 | FI-7 | G-O |
|---|---|---|---|---|---|---|---|
| CL1 | 0 ± 0.01 | 15.4 ± 0.27 | 15.45 ± 0.27 | 15.45 ± 0.27 | 15.41 ± 0.28 | 15.34 ± 0.28 | 14.9 ± 0.27 |
| (0 ± 0) | (867 ± 76) | (1034 ± 55) | (1006 ± 60) | (960 ± 58) | (924 ± 59) | (549 ± 81) | |
| CL2 | 0.48 ± 1.16 | 15.38 ± 0.27 | 15.38 ± 0.29 | 15.45 ± 0.27 | 15.43 ± 0.27 | 15.39 ± 0.28 | 14.94 ± 0.32 |
| (0 ± 0) | (900 ± 74) | (1136 ± 56) | (1128 ± 60) | (1098 ± 59) | (1064 ± 59) | (503 ± 85) | |
| CL3 | 0 ± 0 | 15.44 ± 0.27 | 15.45 ± 0.27 | 15.44 ± 0.27 | 15.35 ± 0.28 | 15.2 ± 0.3 | 14.95 ± 0.28 |
| (0 ± 0) | (836 ± 71) | (930 ± 56) | (884 ± 58) | (835 ± 56) | (798 ± 58) | (610 ± 80) | |
| L1 | 0 ± 0.01 | 15.39 ± 0.27 | 15.45 ± 0.27 | 15.45 ± 0.27 | 15.42 ± 0.27 | 15.35 ± 0.28 | 14.91 ± 0.3 |
| (0 ± 0) | (859 ± 74) | (1038 ± 59) | (1011 ± 64) | (966 ± 62) | (930 ± 64) | (527 ± 82) | |
| L2 | 0 ± 0.02 | 11.87 ± 0.66 | 1.4 ± 0.12 | 2.24 ± 0.08 | 2.87 ± 0.13 | 3.54 ± 0.25 | 12.73 ± 0.87 |
| (0 ± 0) | (828 ± 94) | (573 ± 31) | (511 ± 37) | (500 ± 49) | (505 ± 58) | (408 ± 82) | |
| L3 | 0.04 ± 0.18 | 14.13 ± 0.42 | 4.92 ± 0.16 | 5.72 ± 0.15 | 6.66 ± 0.19 | 7.57 ± 0.28 | 14.05 ± 0.45 |
| (0 ± 0) | (832 ± 79) | (648 ± 49) | (684 ± 58) | (697 ± 60) | (707 ± 64) | (452 ± 87) | |
| SCL1 | 0 ± 0 | 15.4 ± 0.27 | 15.45 ± 0.27 | 15.45 ± 0.27 | 15.41 ± 0.28 | 15.33 ± 0.28 | 14.9 ± 0.34 |
| (0 ± 0) | (862 ± 79) | (1023 ± 54) | (994 ± 60) | (948 ± 59) | (911 ± 60) | (561 ± 91) | |
| SCL2 | 0 ± 0.02 | 15.39 ± 0.27 | 15.45 ± 0.27 | 15.45 ± 0.27 | 15.42 ± 0.27 | 15.36 ± 0.28 | 14.9 ± 0.29 |
| (0 ± 0) | (882 ± 69) | (1075 ± 55) | (1052 ± 60) | (1012 ± 59) | (975 ± 59) | (540 ± 80) | |
| SCL3 | 0 ± 0 | 15.4 ± 0.27 | 15.45 ± 0.27 | 15.45 ± 0.27 | 15.4 ± 0.28 | 15.32 ± 0.28 | 14.93 ± 0.32 |
| (0 ± 0) | (876 ± 76) | (1025 ± 54) | (998 ± 59) | (954 ± 59) | (917 ± 60) | (565 ± 87) | |
| SL1 | 0 ± 0.01 | 15.39 ± 0.27 | 15.45 ± 0.27 | 15.45 ± 0.27 | 15.42 ± 0.27 | 15.35 ± 0.28 | 14.89 ± 0.33 |
| (0 ± 0) | (859 ± 74) | (1038 ± 59) | (1011 ± 64) | (966 ± 62) | (930 ± 64) | (535 ± 83) | |
| SL2 | 0.01 ± 0.04 | 15.34 ± 0.28 | 11.21 ± 0.27 | 12.36 ± 0.26 | 13.79 ± 0.37 | 14.62 ± 0.29 | 14.84 ± 0.33 |
| (0 ± 0) | (890 ± 78) | (920 ± 57) | (958 ± 63) | (987 ± 65) | (990 ± 68) | (515 ± 97) | |
| SL3 | 0 ± 0 | 12.31 ± 0.52 | 4.91 ± 0.16 | 5.61 ± 0.15 | 6.39 ± 0.19 | 7.16 ± 0.28 | 12.98 ± 0.58 |
| (0 ± 0) | (778 ± 76) | (582 ± 43) | (605 ± 56) | (611 ± 58) | (616 ± 63) | (454 ± 89) |
| Soil | RF | SMB | FI-1 | FI-3 | FI-5 | FI-7 | G-O |
|---|---|---|---|---|---|---|---|
| CL1 | 0.9 ± 1.19 | 14.31 ± 0.76 | 14.28 ± 0.76 | 14.28 ± 0.76 | 14.29 ± 0.76 | 14.31 ± 0.76 | 14.41 ± 2.93 |
| (0 ± 0) | (823 ± 77) | (1038 ± 52) | (981 ± 58) | (936 ± 61) | (906 ± 64) | (654 ± 161) | |
| CL2 | 1.58 ± 1.76 | 14.31 ± 0.76 | 14.28 ± 0.76 | 14.28 ± 0.76 | 14.28 ± 0.76 | 14.28 ± 0.76 | 14.36 ± 2.91 |
| (0 ± 0) | (849 ± 89) | (1043 ± 62) | (1016 ± 68) | (986 ± 72) | (963 ± 76) | (585 ± 152) | |
| CL3 | 0.25 ± 0.5 | 14.32 ± 0.76 | 14.28 ± 0.76 | 14.29 ± 0.76 | 14.35 ± 0.76 | 14.53 ± 0.76 | 14.55 ± 2.95 |
| (0 ± 0) | (822 ± 60) | (954 ± 55) | (912 ± 59) | (863 ± 58) | (835 ± 61) | (737 ± 184) | |
| L1 | 1.16 ± 1.41 | 14.31 ± 0.76 | 14.28 ± 0.76 | 14.28 ± 0.76 | 14.28 ± 0.76 | 14.3 ± 0.76 | 14.36 ± 2.91 |
| (0 ± 0) | (809 ± 78) | (1038 ± 52) | (981 ± 59) | (936 ± 62) | (906 ± 64) | (632 ± 162) | |
| L2 | 1.17 ± 1.49 | 9.39 ± 0.86 | 0.83 ± 0.1 | 1.59 ± 0.11 | 2.18 ± 0.14 | 2.74 ± 0.2 | 10.49 ± 0.49 |
| (0 ± 0) | (619 ± 91) | (565 ± 38) | (497 ± 44) | (463 ± 50) | (447 ± 51) | (354 ± 70) | |
| L3 | 1.52 ± 1.71 | 11.89 ± 0.8 | 3.84 ± 0.25 | 4.58 ± 0.28 | 5.42 ± 0.33 | 6.36 ± 0.42 | 12.41 ± 0.35 |
| (0 ± 0) | (726 ± 88) | (585 ± 44) | (571 ± 53) | (589 ± 60) | (609 ± 61) | (441 ± 83) | |
| SCL1 | 0.76 ± 1.04 | 14.31 ± 0.76 | 14.28 ± 0.76 | 14.28 ± 0.76 | 14.29 ± 0.76 | 14.31 ± 0.76 | 14.86 ± 0.58 |
| (0 ± 0) | (827 ± 74) | (1039 ± 51) | (979 ± 57) | (933 ± 60) | (902 ± 63) | (678 ± 110) | |
| SCL2 | 1.12 ± 1.42 | 14.31 ± 0.76 | 14.28 ± 0.76 | 14.28 ± 0.76 | 14.28 ± 0.76 | 14.29 ± 0.76 | 14.83 ± 0.66 |
| (0 ± 0) | (826 ± 89) | (1060 ± 54) | (1001 ± 61) | (960 ± 65) | (931 ± 67) | (644 ± 108) | |
| SCL3 | 0.7 ± 1 | 14.31 ± 0.76 | 14.28 ± 0.76 | 14.28 ± 0.76 | 14.29 ± 0.76 | 14.31 ± 0.76 | 14.88 ± 0.55 |
| (0 ± 0) | (831 ± 79) | (1046 ± 51) | (983 ± 57) | (938 ± 60) | (908 ± 63) | (689 ± 100) | |
| SL1 | 1.16 ± 1.41 | 14.31 ± 0.76 | 14.28 ± 0.76 | 14.28 ± 0.76 | 14.28 ± 0.76 | 14.3 ± 0.76 | 14.83 ± 0.54 |
| (0 ± 0) | (809 ± 78) | (1038 ± 52) | (981 ± 59) | (936 ± 62) | (906 ± 64) | (656 ± 107) | |
| SL2 | 1.42 ± 1.74 | 14.02 ± 0.77 | 9.68 ± 0.55 | 10.96 ± 0.61 | 13.47 ± 0.76 | 13.68 ± 0.79 | 14.72 ± 0.54 |
| (0 ± 0) | (819 ± 92) | (804 ± 53) | (849 ± 60) | (934 ± 70) | (919 ± 75) | (614 ± 106) | |
| SL3 | 0.72 ± 1.09 | 11.02 ± 0.82 | 3.8 ± 0.24 | 4.51 ± 0.28 | 5.32 ± 0.33 | 6.23 ± 0.42 | 11.96 ± 0.36 |
| (0 ± 0) | (690 ± 75) | (536 ± 39) | (527 ± 47) | (546 ± 54) | (569 ± 55) | (468 ± 85) |
| Soil | RF | SMB | FI-1 | FI-3 | FI-5 | FI-7 | G-O |
|---|---|---|---|---|---|---|---|
| CL1 | 2.79 ± 1.95 | 8.01 ± 0.47 | 8.01 ± 0.47 | 8.01 ± 0.47 | 8.01 ± 0.47 | 8.01 ± 0.47 | 3.8 ± 4.15 |
| (0 ± 0) | (525 ± 90) | (715 ± 55) | (664 ± 61) | (637 ± 68) | (617 ± 67) | (170 ± 208) | |
| CL2 | 4.01 ± 2.14 | 8.01 ± 0.47 | 8 ± 0.47 | 8 ± 0.47 | 8 ± 0.47 | 8 ± 0.47 | 3.78 ± 4.12 |
| (0 ± 0) | (545 ± 104) | (727 ± 75) | (706 ± 80) | (688 ± 85) | (673 ± 85) | (135 ± 174) | |
| CL3 | 1.3 ± 1.43 | 8.01 ± 0.47 | 8.01 ± 0.47 | 8.01 ± 0.47 | 8.01 ± 0.47 | 8.01 ± 0.47 | 3.96 ± 4.16 |
| (0 ± 0) | (519 ± 71) | (633 ± 55) | (604 ± 59) | (582 ± 63) | (564 ± 63) | (229 ± 257) | |
| L1 | 3.19 ± 2.02 | 8.01 ± 0.47 | 8.01 ± 0.47 | 8.01 ± 0.47 | 8.01 ± 0.47 | 8.01 ± 0.47 | 3.99 ± 4.18 |
| (0 ± 0) | (513 ± 84) | (715 ± 55) | (663 ± 60) | (636 ± 67) | (616 ± 67) | (167 ± 196) | |
| L2 | 3.05 ± 1.7 | 4.89 ± 1.14 | 0.81 ± 0.07 | 1.07 ± 0.09 | 1.28 ± 0.11 | 1.5 ± 0.16 | 4.69 ± 3.31 |
| (0 ± 0) | (372 ± 133) | (319 ± 32) | (286 ± 35) | (270 ± 41) | (263 ± 40) | (156 ± 137) | |
| L3 | 3.67 ± 1.95 | 6.49 ± 0.9 | 2.45 ± 0.19 | 2.74 ± 0.21 | 3.04 ± 0.25 | 3.33 ± 0.3 | 5.96 ± 3.12 |
| (0 ± 0) | (436 ± 114) | (376 ± 41) | (361 ± 48) | (377 ± 57) | (377 ± 60) | (209 ± 152) | |
| SCL1 | 2.6 ± 1.88 | 8.01 ± 0.47 | 8.01 ± 0.47 | 8.01 ± 0.47 | 8.01 ± 0.47 | 8.01 ± 0.47 | 6.29 ± 3.31 |
| (0 ± 0) | (515 ± 84) | (716 ± 54) | (662 ± 58) | (634 ± 66) | (613 ± 65) | (264 ± 196) | |
| SCL2 | 3.26 ± 2.08 | 8.01 ± 0.47 | 8.01 ± 0.47 | 8.01 ± 0.47 | 8.01 ± 0.47 | 8.01 ± 0.47 | 6.19 ± 2.95 |
| (0 ± 0) | (536 ± 101) | (735 ± 60) | (683 ± 66) | (657 ± 73) | (637 ± 72) | (238 ± 168) | |
| SCL3 | 2.57 ± 1.89 | 8.01 ± 0.47 | 8.01 ± 0.47 | 8.01 ± 0.47 | 8.01 ± 0.47 | 8.01 ± 0.47 | 6.3 ± 3.31 |
| (0 ± 0) | (522 ± 83) | (722 ± 54) | (665 ± 58) | (637 ± 66) | (615 ± 65) | (252 ± 177) | |
| SL1 | 3.19 ± 2.02 | 8.01 ± 0.47 | 8.01 ± 0.47 | 8.01 ± 0.47 | 8.01 ± 0.47 | 8.01 ± 0.47 | 6.26 ± 3.29 |
| (0 ± 0) | (513 ± 84) | (715 ± 55) | (663 ± 60) | (636 ± 67) | (616 ± 67) | (242 ± 181) | |
| SL2 | 3.88 ± 2.19 | 7.94 ± 0.48 | 5.73 ± 0.38 | 6.24 ± 0.44 | 7.07 ± 0.56 | 7.56 ± 0.55 | 6.27 ± 3.29 |
| (0 ± 0) | (517 ± 103) | (557 ± 59) | (568 ± 68) | (596 ± 81) | (606 ± 84) | (222 ± 180) | |
| SL3 | 2.55 ± 1.72 | 5.67 ± 0.68 | 2.42 ± 0.19 | 2.68 ± 0.21 | 2.97 ± 0.23 | 3.23 ± 0.28 | 5.45 ± 2.53 |
| (0 ± 0) | (385 ± 91) | (341 ± 35) | (328 ± 39) | (342 ± 47) | (341 ± 48) | (197 ± 127) |
References
- Wichelns, D.; Oster, J.D. Sustainable irrigation is necessary and achievable, but direct costs and environmental impacts can be substantial. Agric. Water Manag. 2006, 86, 114–127. [Google Scholar] [CrossRef]
- FAO. AQUASTAT website. In FAO’s Information System on Water and Agriculture; Food and Agriculture Organization of the United Nations: Rome, Italy, 2016. [Google Scholar]
- Hubick, K.T.; Farquhar, G.D.; Shorter, R. Correlation between water use efficiency and carbon isotope discrimination in diverse peanut (Arachis) germplasm. Aust. J. Plant Physiol. 1986, 13, 803–816. [Google Scholar] [CrossRef]
- Saccon, P. Water for agriculture, irrigation management. Appl. Soil Ecol. 2017. [Google Scholar] [CrossRef]
- Malik, A.; Shakir, A.; Ajmal, M.; Khan, M.; Khan, T. Assessment of AquaCrop model in simulating sugar beet canopy cover, biomass and root yield under different irrigation and field management practices in semi-arid regions of Pakistan. Water Resour. Manag. 2017, 31, 4275–4292. [Google Scholar] [CrossRef]
- Steduto, P.; Hsiao, T.; Raes, D.; Fereres, E. AquaCrop—The FAO crop model to simulate yield response to water: I. Concepts and underlying principles. Agron. J. 2009, 101, 426–437. [Google Scholar] [CrossRef]
- Paredes, P.; de Melo-Abreu, J.; Alves, I.; Pereira, L.S. Assessing the performance of the FAO AquaCrop model to estimate maize yields and water use under full and deficit irrigation with focus on model parameterization. Agric. Water Manag. 2014, 144, 81–97. [Google Scholar] [CrossRef]
- Nyakudya, I.W.; Stroosnijder, L. Effect of rooting depth, plant density and planting date on maize (Zea mays L.) yield and water use efficiency in semi-arid Zimbabwe: Modeling with AquaCrop. Agric. Water Manag. 2014, 146, 280–296. [Google Scholar] [CrossRef]
- Heng, L.K.; Hsiao, T.; Evett, S.; Howell, T.; Steduto, P. Validating the FAO AquaCrop model for irrigated and water deficient field maize. Agron. J. 2009, 101, 488–498. [Google Scholar] [CrossRef]
- Toumi, J.; Er-Raki, S.; Ezzahar, J.; Khabba, S.; Jarlan, L.; Chehbouni, A. Performance assessment of AquaCrop model for estimating evapotranspiration, soil water content and grain yield of winter wheat in Tensift Al Haouz (Morocco): Application to irrigation management. Agric. Water Manag. 2016, 163, 219–235. [Google Scholar] [CrossRef]
- Mkhabela, M.S.; Paul, R.B. Performance of the FAO AquaCrop model for wheat grain yield and soil moisture simulation in Western Canada. Agric. Water Manag. 2012, 110, 16–24. [Google Scholar] [CrossRef]
- Andarzian, B.; Bannayan, M.; Steduto, P.; Mazraeh, H.; Barati, M.E.; Barati, M.A.; Rahnama, A. Validation and testing of the AquaCrop model under full and deficit irrigated wheat production in Iran. Agric. Water Manag. 2011, 100, 1–8. [Google Scholar] [CrossRef]
- Alishiri, R.; Paknejad, F.; Aghayari, F. Simulation of sugarbeet growth under different water regimes and nitrogen levels by AquaCrop. Int. J. Biosci. 2014, 4, 1–9. [Google Scholar]
- Stricevic, R.; Cosic, M.; Djurovic, N.; Pejic, B.; Maksimovic, L. Assessment of the FAO AquaCrop model in the simulation of rainfed and supplementally irrigated maize, sugar beet and sunflower. Agric. Water Manag. 2011, 98, 1615–1621. [Google Scholar] [CrossRef]
- Montoya, F.; Camargo, D.; Ortega, J.; Córcoles, J.; Domínguez, A. Evaluation of AquaCrop model for a potato crop under different irrigation conditions. Agric. Water Manag. 2016, 164, 267–280. [Google Scholar] [CrossRef]
- Garcia-Vila, M.; Fereres, E. Combining the simulation crop model AquaCrop with an economic model for the optimization of irrigation management at farm level. Eur. J. Agron. 2012, 36, 21–31. [Google Scholar] [CrossRef]
- Araya, A.; Habtu, S.; Hagdu, K.M.; Kebede, A.; Dejene, T. Test of AquaCrop model in simulating biomass and yield of water deficient and irrigated barley (Hordeum vulgare). Agric. Water Manag. 2010, 97, 1838–1846. [Google Scholar] [CrossRef]
- Geerts, S.; Raes, D.; Garcia, M.; Miranda, R.; Cusicanqui, J.A.; Taboada, C.; Mendoza, J.; Huanca, R.; Mamani, A.; Condori, O.; et al. Simulating yield response of quinoa to water availability with AquaCrop. Agron. J. 2009, 101, 499–508. [Google Scholar] [CrossRef]
- Maniruzzaman, M.; Talukder, M.S.U.; Khan, M.H.; Biswas, J.C.; Nemes, A. Validation of the AquaCrop model for irrigated rice production under varied water regimes in Bangladesh. Agric. Water Manag. 2015, 159, 331–340. [Google Scholar] [CrossRef]
- Foster, T.; Brozovic, N.; Butler, A.; Neale, C.; Raes, D.; Steduto, P.; Fereres, E.; Hsiao, T. AquaCrop-OS: An open source version of FAO’s crop water productivity model. Agric. Water Manag. 2017, 181, 18–22. [Google Scholar] [CrossRef]
- Viets, F., Jr. Increasing water use efficiency by soil management. In Plant Environment and Efficient Water Use; Pierre, W., Kirkham, D., Pesek, J., Shaw, R., Eds.; American Society of Agronomy: Madison, WI, USA, 1966; pp. 259–274. 295p. [Google Scholar]
- Greaves, G.; Wang, Y.M. Assessment of FAO AquaCrop model for simulating maize growth and productivity under deficit irrigation in a tropical environment. Water 2016, 8, 557. [Google Scholar] [CrossRef]
- Irmak, S. Interannual variation in Long-Term Center Pivot–irrigated maize evapotranspiration and various water productivity response indices. II: Irrigation water use efficiency, crop WUE, evapotranspiration WUE, irrigation-evapotranspiration use efficiency, and pr. J. Irrig. Drain. Eng. 2014, 141, 04014069. [Google Scholar] [CrossRef]
- Haghverdi, A.; Yonts, C.; Reichert, D.; Irmak, S. Impact of irrigation, surface residue cover and plant population on sugarbeet growth and yield, irrigation water use efficiency and soil water dynamics. Agric. Water Manag. 2017, 180, 1–12. [Google Scholar] [CrossRef]
- Hassanli, A.; Ahmadirad, S.; Beecham, S. Evaluation of the influence of irrigation methods and water quality on sugar beet yield and water use efficiency. Agric. Water Manag. 2010, 97, 357–362. [Google Scholar] [CrossRef]
- Xiangxiang, W.; Quanjiu, W.; Jun, F.; Qiuping, F. Evaluation of the AquaCrop model for simulating the impact of water deficits and different irrigation regimes on the biomass and yield of winter wheat grown on China’s Loess Plateau. Agric. Water Manag. 2013, 129, 95–104. [Google Scholar] [CrossRef]
- Schütze, N.; de Paly, M.; Shamir, U. Novel simulation-based algorithms for optimal open-loop and closed-loop scheduling of deficit irrigation systems. J. Hydroinform. 2012, 14, 136–151. [Google Scholar] [CrossRef]
- Steduto, P.; Hsiao, T.C.; Fereres, E.; Raes, D. Crop yield response to water. In FAO Irrigation and Drainage Paper 66; Food and Agriculture Organization of the United Nations: Rome, Italy, 2012; p. 503. [Google Scholar]
- Kuschel-Otárola, M.; Schütze, N.; Holzapfel, E.; Godoy-Faúndez, A.; Mialyk, O.; Rivera, D. Estimation of yield response factor for each growth stage under local conditions using AquaCrop-OS. Water 2020, 12, 1080. [Google Scholar] [CrossRef]
- DGA. Diagnóstico y Clasificación de los Cursos y Cuerpos de Agua Según Objetivo y Calidad: Cuenca del río Itata; Dirección General de Aguas: Santiago, Chile, 2004; pp. 1–127. [Google Scholar]
- ODEPA. Región del Biobío: Información Regional 2018; Oficina de Estudios y Políticas Agrarias: Santiago, Chile, 2018; pp. 1–16.
- Rivera, D.; Granda, S.; Arumí, J.L.; Sandoval, M.; Billib, M. A methodology to identify representative configurations of sensors for monitoring soil moisture. Environ. Monit. Assess. 2011, 184, 6563–6574. [Google Scholar] [CrossRef] [PubMed]
- Granda, S.; Rivera, D.; Arumí, J.L.; Sandoval, M. Monitoreo continuo de humedad con fines hidrológicos. Tecnol. Cienc. Agua 2013, 4, 189–197. [Google Scholar]
- Rivera, D.; Sandoval, M.; Godoy, A. Exploring soil databases: A self-organizing map approach. Soil Use Manag. 2015, 31, 121–131. [Google Scholar] [CrossRef]
- Faiguenbaum, H. Labranza, Siembra y Producción de Los Principales Cultivos de Chile; Vivaldi y Asociados: Santiago, Chile, 2003; p. 760. [Google Scholar]
- Walter, I.A.; Allen, R.G.; Elliott, R.; Itenfisu, D.; Brown, P.; Jensen, M.E.; Mecham, B.; Howell, T.A.; Snyder, R.; Eching, S.; et al. Task Committee on Standardization of Reference Evapotranspiration; ASCE: Reston, VA, USA, 2005. [Google Scholar]
- Kuschel-Otárola, M.; Rivera, D.; Holzapfel, E.; Palma, C.D.; Godoy-Faúndez, A. Multiperiod optimisation of irrigated crops under different conditions of water availability. Water 2018, 10, 1434. [Google Scholar] [CrossRef]
- Van Genuchten, M.T.; Leij, F.J.; Yates, S.R. The RETC Code for Quantifying the Hydraulic Functions of Unsaturated Soils. In EPA/600/2-91/065; U.S. Environmental Protection Agency: Washington, DC, USA, 1991; p. 85. [Google Scholar]
- Kuschel-Otárola, M. Estimación de Flujos de Agua en un Andisol Usando Datos de Humedad. Bachelor’s Thesis, Universidad de Concepción, Chillán, Chile, 2014. [Google Scholar]
- Osorio, A. Determinación de la Huella del Agua y Estrategias de Manejo de Recursos Hídricos; Technical Report; Instituto de Investigaciones Agropecuarias (INIA): La Serena, Chile, 2013. [Google Scholar]
- Donoso, G.; Franco, G. La Huella hídrica Agrícola de Chile; Technical Report; Pontificia Universidad Católica de Chile, Facultad de Agronomía e Ingeniería: Santiago, Chile, 2013. [Google Scholar]
- ODEPA. Boletin de Cereales; Oficina de Estudios y Políticas Agrarias: Santiago, Chile, 2020; pp. 1–65.
- Raes, D.; Steduto, P.; Hsiao, T.C.; Fereres, E. Reference Manual: AquaCrop Plug-in Program (Version 4.0); Technical report; FAO: Rome, Italy, 2012. [Google Scholar]
- Koech, R.K.; Smith, R.J.; Gillies, M.H. A real-time optimisation system for automation of furrow irrigation. Irrig. Sci. 2014, 32, 319–327. [Google Scholar] [CrossRef]
- Uddin, J.; Smith, R.J.; Gillies, M.H.; Moller, P.; Robson, D. Smart Automated Furrow Irrigation of Cotton. J. Irrig. Drain. Eng. ASCE 2018, 144, 04018005. [Google Scholar] [CrossRef]
- Valdivia-Cea, W.; Holzapfel, E.; Rivera, D.; Paredes, J. Assessment of methods to determine soil characteristics for management and design of irrigation systems. J. Soil Sci. Plant Nutr. 2017, 17, 735–750. [Google Scholar] [CrossRef]
- Holzapfel, E.A.; Pannunzio, A.; Lorite, I.; de Oliveira, A.S.; Farkas, I. Design and Management of Irrigation Systems. Chil. J. Agric. Res. 2009. [Google Scholar] [CrossRef]
- Holzapfel, E.; Pannunzio, A.; Lorite, I. Design and Management of Irrigation Systems. In Research Advances in Sustainable Microirrigation Principle and Practices; Goyal, M., Ed.; Apple Academic Press Inc.: Waretown, NJ, USA, 2014. [Google Scholar]
- Jara, J.; Holzapfel, E.A.; Billib, M.; Arumi, J.L.; Lagos, O.; Rivera, D. Effect of water application on wine quality and yield in ‘Carménère’ under the presence of a shallow water table in central Chile. Chil. J. Agric. Res. 2017, 77, 171–179. [Google Scholar] [CrossRef]
- Fernández, F.J.; Ponce, R.D.; Blanco, M.; Rivera, D.; Vásquez, F. Water Variability and the Economic Impacts on Small-Scale Farmers. A Farm Risk-Based Integrated Modelling Approach. Water Resour. Manag. 2016, 30, 1357–1373. [Google Scholar] [CrossRef]
- Katerji, N.; Mastrorilli, M.; Rana, G. Water Use Efficiency of Crops Cultivated in the Mediterranean Region: Review and Analysis. Eur. J. Agron. 2008. [Google Scholar] [CrossRef]








| Irrigation Strategy | Acronym | Criteria |
|---|---|---|
| Rainfed | RF | Crop water demands are satisfied only by rainfall. |
| Soil moisture-based | SMB | Crop is irrigated to field capacity (FC) when soil water content (SWC) reaches a threshold. |
| Fixed interval every 1 day | FI-1 | Crop is always irrigated every day to FC. SWC target does not necessarily reach a threshold. |
| Fixed interval every 3 days | FI-3 | Crop is always irrigated every 3 days to FC. SWC target does not necessarily reach threshold. |
| Fixed interval every 5 days | FI-5 | Crop is always irrigated every 5 days to FC. SWC target does not necessarily reach threshold. |
| Fixed interval every 7 days | FI-7 | Crop is always irrigated every 7 days to FC. SWC target does not necessarily reach threshold. |
| GET-OPTIS | G-O | Crop is irrigated following an optimal schedule. i.e., date and an irrigation depth (not necessarily to FC). |
| Parameter | Crop | ||
|---|---|---|---|
| Maize | Sugar Beet | Wheat | |
| Conservative (generally applicable) | |||
| Base temperature (C) | 8.00 | 5.00 | 0.00 |
| Cut-off temperature (C) | 30.00 | 30.00 | 26.00 |
| Canopy cover per seedling at 90% emergence (CCo) | 6.50 | 1.00 | 1.50 |
| Canopy growth coefficient (CGC) | 1.25 | 1.05 | 0.50 |
| Maximum canopy cover (CCx) | 96.00 | 98.00 | 96.00 |
| Crop coefficient for transpiration at CC = 100% | 1.05 | 1.10 | 1.10 |
| Decline in crop coef. after reaching CCx | 0.30 | 0.15 | 0.15 |
| Canopy decline coefficient (CDC) at senescence | 1.00 | 0.39 | 0.40 |
| Water productivity, normalized to year 2000 (WP) | 33.70 | 17.00 | 15.00 |
| Leaf growth threshold (Pupper) | 0.14 | 0.20 | 0.20 |
| Leaf growth threshold (Plower) | 0.72 | 0.60 | 0.65 |
| Leaf growth stress coefficient curve shape | 2.90 | 3.00 | 5.00 |
| Stomatal conductance threshold (Pupper) | 0.69 | 0.65 | 0.65 |
| Stomata stress coefficient curve shape | 6.00 | 3.00 | 2.50 |
| Senescence stress coefficient (Pupper) | 0.69 | 0.75 | 0.70 |
| Senescence stress coefficient curve shape | 2.70 | 3.00 | 2.50 |
| Considered to be conservative but can or may be cultivar specific | |||
| Reference harvest index (HIo) | 48 | 70 | 48 |
| GDD from 90% emergence to start of anthesis | 800 | 842 | 1100 |
| Duration of anthesis, in GDD | 180 | 0 | 200 |
| Coefficient, inhibition of leaf growth on HI | 7 | 4 | 10 |
| Coefficient, inhibition of stomata on HI | 3 | - | 7 |
| Maximum yield (t ha−1) (more details in Kuschel-Otárola et al. [37]) | 15 | 100 | 7 |
| Sand | Silt | Clay | ||||||
|---|---|---|---|---|---|---|---|---|
| Soil | (%) | (g cm−3) | (m3m−3) | (mm day−1) | ||||
| ClayLoam 1 | 22 | 48 | 30 | 0.72 | 0.73 | 0.45 | 0.30 | 3415.9 |
| ClayLoam 2 | 35 | 38 | 27 | 0.97 | 0.64 | 0.57 | 0.33 | 269.1 |
| ClayLoam 3 | 39 | 28 | 33 | 1.39 | 0.47 | 0.34 | 0.26 | 132.4 |
| Loam 1 | 34 | 42 | 24 | 0.71 | 0.73 | 0.44 | 0.28 | 3517.8 |
| Loam 2 | 31 | 46 | 23 | 1.07 | 0.60 | 0.59 | 0.40 | 69.5 |
| Loam 3 | 41 | 37 | 22 | 1.13 | 0.57 | 0.55 | 0.34 | 110.3 |
| SiltyClayLoam 1 | 10 | 52 | 38 | 0.78 | 0.70 | 0.46 | 0.32 | 2382.0 |
| SiltyClayLoam 2 | 11 | 52 | 37 | 0.81 | 0.69 | 0.50 | 0.32 | 1903.3 |
| SiltyClayLoam 3 | 15 | 49 | 36 | 0.86 | 0.68 | 0.50 | 0.36 | 1534.2 |
| SiltyLoam 1 | 27 | 50 | 23 | 0.71 | 0.73 | 0.44 | 0.28 | 3571.7 |
| SiltyLoam 2 | 22 | 51 | 27 | 0.98 | 0.63 | 0.59 | 0.38 | 183.9 |
| SiltyLoam 3 | 24 | 51 | 25 | 1.03 | 0.61 | 0.59 | 0.44 | 76.3 |
Publisher’s Note: MDPI stays neutral with regard to jurisdictional claims in published maps and institutional affiliations. |
© 2020 by the authors. Licensee MDPI, Basel, Switzerland. This article is an open access article distributed under the terms and conditions of the Creative Commons Attribution (CC BY) license (http://creativecommons.org/licenses/by/4.0/).
Share and Cite
Kuschel-Otárola, M.; Rivera, D.; Holzapfel, E.; Schütze, N.; Neumann, P.; Godoy-Faúndez, A. Simulation of Water-Use Efficiency of Crops under Different Irrigation Strategies. Water 2020, 12, 2930. https://doi.org/10.3390/w12102930
Kuschel-Otárola M, Rivera D, Holzapfel E, Schütze N, Neumann P, Godoy-Faúndez A. Simulation of Water-Use Efficiency of Crops under Different Irrigation Strategies. Water. 2020; 12(10):2930. https://doi.org/10.3390/w12102930
Chicago/Turabian StyleKuschel-Otárola, Mathias, Diego Rivera, Eduardo Holzapfel, Niels Schütze, Patricio Neumann, and Alex Godoy-Faúndez. 2020. "Simulation of Water-Use Efficiency of Crops under Different Irrigation Strategies" Water 12, no. 10: 2930. https://doi.org/10.3390/w12102930
APA StyleKuschel-Otárola, M., Rivera, D., Holzapfel, E., Schütze, N., Neumann, P., & Godoy-Faúndez, A. (2020). Simulation of Water-Use Efficiency of Crops under Different Irrigation Strategies. Water, 12(10), 2930. https://doi.org/10.3390/w12102930

