The Use of Various Rainfall Simulators in the Determination of the Driving Forces of Changes in Sediment Concentration and Clay Enrichment
Abstract
1. Introduction
2. Material and Methods
2.1. Study Area and Soil Properties
2.2. Rainfall Simulators Used in the Study
2.3. Experimental Design
2.4. Runoff and Soil Loss Characterization
2.5. Statistical Analyses
3. Results
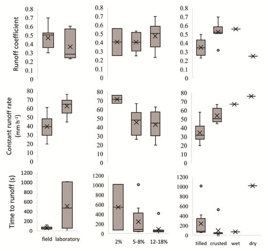
3.1. Variations in Ponding and Runoff Related Properties
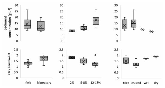
3.2. Variations in Sediment Concentration and Composition
3.3. Regulating Properties of SC for Various Rainfall Simulations
4. Discussion
5. Conclusions
Author Contributions
Funding
Acknowledgments
Conflicts of Interest
Appendix A
| Drop Diameter (mm) | <0.5 | 0.5–1.0 | 1.0–2.0 | 2.0–3.0 | 3.0–4.0 | 4.0–5.0 | >5.0 | Total |
|---|---|---|---|---|---|---|---|---|
| No. of drops | 641 | 504 | 224 | 116 | 50 | 19 | 8 | 1562 |
| Kinetic energy (J m−2 mm−1) | 0.006 | 0.101 | 1.396 | 5.124 | 6.918 | 6.328 | 5.102 | 24.975 |
| Experiment ID | Fitted Equation | Coefficient of Determination | Number of Points |
|---|---|---|---|
| FG1 | y = 26.448x − 3.7086 | 0.998 | 6 |
| FG2 | y = 52.78x − 2.6902 | 0.993 | 7 |
| FG3 | y = 33.021x − 2.1606 | 0.999 | 7 |
| FG4 | y = 48.244x − 1.4549 | 0.999 | 6 |
| FG5 | y = 30.171x − 2.831 | 0.998 | 6 |
| FG6 | y = 48.066x − 2.4828 | 0.999 | 5 |
| FS1 | y = 33.761x − 3.1841 | 0.999 | 5 |
| FS2 | y = 60.976x − 1.4915 | 0.999 | 7 |
| FS3 | y = 29.21x − 1.2405 | 0.999 | 6 |
| FS4 | y = 46.646x − 0.8294 | 0.999 | 7 |
| FS5 | y = 19.737x − 1.2286 | 0.997 | 7 |
| FS6 | y = 44.645x − 1.2834 | 0.999 | 6 |
| LG1 | y = 58.022x − 20.557 | 0.998 | 30 |
| LG2 | y = 66.651x − 12.452 | 0.999 | 16 |
| LS1 | y = 44.694x − 11.695 | 0.994 | 9 |
| LS2 | y = 62.804x − 0.7752 | 0.999 | 12 |
| LP1 | y = 66.917x − 2.1461 | 0.999 | 9 |
| LP2 | y = 75.973x − 25.359 | 0.999 | 10 |
| Experiment ID | Location | Measured Rainfall Intensity (mm h−1) | Slope Steepness (%) | Amount of Rain (mm) | Time to Ponding (s) | Ponding Duration (s) | Time to Runoff (s) | Runoff Duration (s) | Runoff after the Rain (s) | Runoff Ratio (%) | Infiltration Ratio (%) | Sediment Concentration (g L−1) | Total Soil Loss (g) | Runoff Coefficient | Final Constant Runoff (mm h−1) | Clay Enrichment in Soil Loss |
|---|---|---|---|---|---|---|---|---|---|---|---|---|---|---|---|---|
| FG1 | field | 56.24 | 7 | 16.81 | 77 | 42 | 119 | 957 | 85 | 47 | 53 | 10.6 | 270.6 | 0.30 | 26.4 | 1.60 |
| FG2 | field | 84.68 | 7 | 10.63 | 18 | 36 | 54 | 398 | 611 | 62 | 38 | 12.6 | 306.2 | 0.53 | 52.8 | 1.30 |
| FG3 | field | 70.19 | 8 | 13.53 | 20 | 57 | 77 | 618 | 246 | 47 | 53 | 9.0 | 222.9 | 0.35 | 33.0 | 1.35 |
| FG4 | field | 86.12 | 8 | 10.41 | 11 | 27 | 38 | 397 | 319 | 56 | 44 | 11.3 | 294.6 | 0.52 | 48.2 | 1.17 |
| FG5 | field | 56.92 | 8 | 15.19 | 16 | 73 | 89 | 872 | 877 | 53 | 47 | 10.0 | 318.1 | 0.45 | 30.2 | 1.43 |
| FG6 | field | 80.44 | 8 | 12.40 | 24 | 12 | 36 | 519 | 661 | 60 | 40 | 14.1 | 418.7 | 0.51 | 48.1 | 1.30 |
| FS1 | field | 66.78 | 18 | 16.49 | 48 | 28 | 76 | 813 | 208 | 51 | 49 | 10.9 | 339.4 | 0.34 | 33.8 | 1.28 |
| FS2 | field | 103.48 | 18 | 11.67 | 16 | 33 | 49 | 357 | 559 | 59 | 41 | 17.9 | 582.5 | 0.53 | 61.0 | 1.32 |
| FS3 | field | 49.89 | 17 | 10.53 | 25 | 31 | 56 | 704 | 112 | 59 | 41 | 19.2 | 555.4 | 0.50 | 29.2 | 1.28 |
| FS4 | field | 63.16 | 17 | 8.05 | 10 | 26 | 36 | 423 | 120 | 74 | 26 | 26.2 | 812.1 | 0.70 | 46.6 | 0.94 |
| FS5 | field | 44.5 | 17 | 13.86 | 3 | 57 | 60 | 1061 | 170 | 44 | 56 | 13.4 | 407.1 | 0.38 | 19.7 | 1.33 |
| FS6 | field | 76.69 | 17 | 11.18 | 25 | 9 | 34 | 491 | 210 | 58 | 42 | 17.1 | 537.6 | 0.51 | 44.6 | 1.10 |
| LG1 | laboratory | 118 | 5 | 93.68 | 925 | 85 | 1010 | 1694 | 154 | 49 | 51 | 11.2 | 138.5 | 0.25 | 58.0 | 1.84 |
| LG2 | laboratory | 141 | 5 | 78.65 | 441 | 84 | 525 | 1483 | 0 | 47 | 53 | 9.6 | 111.0 | 0.32 | 66.6 | 1.71 |
| LS1 | laboratory | 109 | 12 | 63.40 | 399 | 18 | 417 | 1677 | 83 | 41 | 59 | 19.8 | 189.7 | 0.23 | 44.7 | 2.01 |
| LS2 | laboratory | 102 | 12 | 23.89 | 0 | 1 | 1 | 842 | 0 | 62 | 38 | 15.5 | 65.9 | 0.60 | 62.8 | 1.10 |
| LF1 | laboratory | 108 | 2 | 35.70 | 0 | 72 | 72 | 1118 | 327 | 62 | 38 | 9.4 | 92.6 | 0.56 | 66.9 | 1.70 |
| LF2 | laboratory | 134 | 2 | 79.80 | 34 | 982 | 1016 | 1128 | 0 | 57 | 43 | 7.8 | 55.4 | 0.25 | 76.0 | 1.88 |
References
- García-Ruiz, J.M.; Beguería, S.; Nadal-Romero, E.; González-Hidalgo, J.C.; Lana-Renault, N.; Sanjuán, Y. A meta-analysis of soil erosion rates across the world. Geomorphology 2015, 239, 160–173. [Google Scholar] [CrossRef]
- Balacco, G. The interrill erosion for a sandy loam soil. Int. J. Sediment Res. 2013, 28, 329–337. [Google Scholar] [CrossRef]
- Vahabi, J.; Nikkami, D. Assessing dominant factors affecting soil erosion using a portable rainfall simulator. Int. J. Sediment Res. 2008, 23, 376–386. [Google Scholar] [CrossRef]
- Assouline, S.; Ben-Hur, M. Effects of rainfall intensity and slope gradient on the dynamics of interrill erosion during soil surface sealing. Catena 2006, 66, 211–220. [Google Scholar] [CrossRef]
- Koiter, A.J.; Owens, P.N.; Petticrew, E.L.; Lobb, D.A. The role of soil surface properties on the particle size and carbon selectivity of interrill erosion in agricultural landscapes. Catena 2017, 153, 194–206. [Google Scholar] [CrossRef]
- Bagarello, V.; Di Stefano, C.; Ferro, V.; Kinnell, P.I.A.; Pampalone, V.; Porto, P.; Todisco, F. Predicting soil loss on moderate slopes using an empirical model for sediment concentration. J. Hydrol. 2011, 400, 267–273. [Google Scholar] [CrossRef]
- Jin, K.; Cornelis, W.M.; Gabriels, D.; Schiettecatte, W.; De Neve, S.; Lu, J.; Buysse, T.; Wu, H.; Cai, D.; Jin, J.; et al. Soil management effects on runoff and soil loss from field rainfall simulation. Catena 2008, 75, 191–199. [Google Scholar] [CrossRef]
- Shi, P.; Van Oost, K.; Schulin, R. Dynamics of soil fragment size distribution under successive rainfalls and its implication to size-selective sediment transport and deposition. Geoderma 2017, 308, 104–111. [Google Scholar] [CrossRef]
- Warrington, D.N.; Mamedov, A.I.; Bhardwaj, A.K.; Levy, G.J. Primary particle size distribution of eroded material affected by degree of aggregate slaking and seal development. Eur. J. Soil Sci. 2009, 60, 84–93. [Google Scholar] [CrossRef]
- Asadi, H.; Moussavi, A.; Ghadiri, H.; Rose, C.W. Flow-driven soil erosion processes and the size selectivity of sediment. J. Hydrol. 2011, 406, 73–81. [Google Scholar] [CrossRef]
- Ding, W.; Huang, C. Effects of soil surface roughness on interrill erosion processes and sediment particle size distribution. Geomorphology 2017, 295, 801–810. [Google Scholar] [CrossRef]
- Kuhn, N.J.; Armstrong, E.K.; Ling, A.C.; Connolly, K.L.; Heckrath, G. Interrill erosion of carbon and phosphorus from conventionally and organically farmed Devon silt soils. Catena 2012, 91, 94–103. [Google Scholar] [CrossRef]
- Ouyang, W.; Xu, X.; Hao, Z.; Gao, X. Effects of soil moisture content on upland nitrogen loss. J. Hydrol. 2017, 546, 71–80. [Google Scholar] [CrossRef]
- Stroosnijder, L. Measurement of erosion: Is it possible? Catena 2005, 64, 162–173. [Google Scholar] [CrossRef]
- Poesen, J. Soil erosion hazard and mitigation in the Euro-Mediterranean region: Do we need more research? Hung. Geogr. Bull. 2015, 64, 293–299. [Google Scholar] [CrossRef]
- Iserloh, T.; Ries, J.B.; Arnáez, J.; Boix-Fayos, C.; Butzen, V.; Cerdà, A.; Echeverría, M.T.; Fernández-Gálvez, J.; Fister, W.; Geißler, C.; et al. European small portable rainfall simulators: A comparison of rainfall characteristics. Catena 2013, 110, 100–112. [Google Scholar] [CrossRef]
- Defersha, M.B.; Melesse, A.M. Effect of rainfall intensity, slope and antecedent moisture content on sediment concentration and sediment enrichment ratio. Catena 2012, 90, 47–52. [Google Scholar] [CrossRef]
- Aksoy, H.; Unal, N.E.; Cokgor, S.; Gedikli, A.; Yoon, J.; Koca, K.; Inci, S.B.; Eris, E. A rainfall simulator for laboratory-scale assessment of rainfall-runoff-sediment transport processes over a two-dimensional flume. Catena 2012, 98, 63–72. [Google Scholar] [CrossRef]
- Jakab, G.; Kiss, K.; Szalai, Z.; Zboray, N.; Németh, T.; Madarász, B. Soil Organic Carbon Redistribution by Erosion on Arable Fields. In Soil Carbon; Hartemnik, A.E., McSweeney, K., Eds.; Springer International Publishing: Cham, Switzerland, 2014; pp. 289–296. [Google Scholar] [CrossRef]
- Rodrigo Comino, J.; Iserloh, T.; Lassu, T.; Cerdà, A.; Keesstra, S.D.; Prosdocimi, M.; Brings, C.; Marzen, M.; Ramos, M.C.; Senciales, J.M.; et al. Quantitative comparison of initial soil erosion processes and runoff generation in Spanish and German vineyards. Sci. Total Environ. 2016, 565, 1165–1174. [Google Scholar] [CrossRef]
- Bryan, R.B.; De-Ploey, J. Comparability of soil erosion measurements with different laboratory rainfall simulators; Comparabilité des mesures d’érosion du sol avec différents simulateurs de pluie de laboratoire. Catena Suppl. 1983, 4, 33–56. [Google Scholar]
- Iserloh, T.; Ries, J.B.; Cerdà, A.; Echeverría, M.T.; Fister, W.; Geißler, C.; Kuhn, N.J.; León, F.J.; Peters, P.; Schindewolf, M.; et al. Comparative measurements with seven rainfall simulators on uniform bare fallow land. Z. Geomorphol. Suppl. Issues 2013, 57, 11–26. [Google Scholar] [CrossRef]
- Mayerhofer, C.; Meißl, G.; Klebinder, K.; Kohl, B.; Markart, G. Comparison of the results of a small-plot and a large-plot rainfall simulator—Effects of land use and land cover on surface runoff in Alpine catchments. Catena 2017, 156, 184–196. [Google Scholar] [CrossRef]
- Sadeghi, S.H.; Harchegani, M.K.; Asadi, H. Variability of particle size distributions of upward/downward splashed materials in different rainfall intensities and Slopes. Geoderma 2017, 290, 100–106. [Google Scholar] [CrossRef]
- Chaplot, V.; Le Bissonnais, Y. Field measurements of interrill erosion under different slopes and plot sizes. Earth Surf. Process. Landf. 2000, 25, 145–153. [Google Scholar] [CrossRef]
- Birkás, M.; Dekemati, I.; Kende, Z.; Pósa, B. Review of soil tillage history and new challenges in Hungary. Hung. Geogr. Bull. 2017, 66, 55–64. [Google Scholar] [CrossRef]
- Szabó, B.; Centeri, C.; Szalai, Z.; Jakab, G.; Szabó, J. Comparison of soil erosion dynamics under extensive and intensive cultivation based on basic soil parameters. Növénytermelés 2015, 64, 23–26. [Google Scholar]
- Dövényi, Z. (Ed.) Inventory of Micro Regions in Hungary; MTA Geographical Research Institute: Budapest, Hungary, 2010. [Google Scholar]
- Keller, B.; Szabó, J.; Centeri, C.; Jakab, G.; Szalai, Z. Different land-use intensities and their susceptibility to soil erosion. Agrokémia Talajt. Agrokem 2019, 68, 14–23. [Google Scholar] [CrossRef]
- Jakab, G.; Madarász, B.; Szabó, J.A.; Tóth, A.; Zacháry, D.; Szalai, Z.; Kertész, Á.; Dyson, J. Infiltration and soil loss changes during the growing season under ploughing and conservation tillage. Sustainability 2017, 9, 1726. [Google Scholar] [CrossRef]
- Loch, R.J.; Robotham, B.G.; Zeller, L.; Masterman, N.; Orange, D.N.; Bridge, B.J.; Sheridan, G.; Bourke, J.J. A multi-purpose rainfall simulator for field infiltration and erosion studies. Soil Res. 2001, 39, 599–610. [Google Scholar] [CrossRef]
- Zemke, J.J. Set-up and calibration of a portable small scale rainfall simulator for assessing soil erosion processes at interrill scale. Cuad. Investig. Geográfica 2017, 43, 63. [Google Scholar] [CrossRef]
- Szabó, J.; Jakab, G.; Szabó, B. Spatial and temporal heterogeneity of runoff and soil loss dynamics under simulated rainfall. Hung. Geogr. Bull. 2015, 64. [Google Scholar] [CrossRef]
- Szabó, J.A.; Király, C.; Karlik, M.; Tóth, A.; Szalai, Z.; Jakab, G. Rare earth oxide tracking coupled with 3D soil surface modelling: An opportunity to study small-scale soil redistribution. J. Soils Sediments 2020. [Google Scholar] [CrossRef]
- Strauss, P.; Cornejo, J.; Strauss, P.; Pitty, J.; Pfeffer, M.; Mentler, A. Rainfall Simulation for Outdoor Experiments. In Current Research Methods to Assess the Environmental Fate of Pesticides; Jamet, P., Cornejo, J., Eds.; INRA Editions: Versailles, France, 2000; pp. 329–333. [Google Scholar]
- Thomaz, E.L.; Pereira, A.A. Misrepresentation of hydro-erosional processes in rainfall simulations using disturbed soil samples. Geomorphology 2017, 286, 27–33. [Google Scholar] [CrossRef]
- Wang, Y.; You, W.; Fan, J.; Jin, M.; Wei, X.; Wang, Q. Catena Effects of subsequent rainfall events with di ff erent intensities on runo ff and erosion in a coarse soil. Catena 2018, 170, 100–107. [Google Scholar] [CrossRef]
- Zhao, X.; Huang, J.; Gao, X.; Wu, P.; Wang, J. Runoff features of pasture and crop slopes at different rainfall intensities, antecedent moisture contents and gradients on the Chinese Loess Plateau: A solution of rainfall simulation experiments. Catena 2014, 119, 90–96. [Google Scholar] [CrossRef]
- Özer, M.; Orhan, M.; Işik, N.S. Effect of particle optical properties on size distribution of soils obtained by laser diffraction. Environ. Eng. Geosci. 2010, 16, 163–173. [Google Scholar] [CrossRef]
- Konert, M.; Vandenberghe, J. Comparison of laser grain size analysis with pipette and sieve analysis: A solution fo rthe underestimation of the clay fraction. Sedimentology 1997, 44, 523–535. [Google Scholar] [CrossRef]
- Mann, H.; Whitney, D. On a Test of Whether one of Two Random Variables is Stochastically Larger than the Other. Ann. Math. Stat. 1947, 18, 50–60. [Google Scholar] [CrossRef]
- Kruskal, W.H.; Wallis, W.A. Use of Ranks in One-Criterion Variance Analysis. J. Am. Stat. Assoc. 1952, 47, 583–621. [Google Scholar] [CrossRef]
- Chaplot, V.; Poesen, J. Sediment, soil organic carbon and runoff delivery at various spatial scales. Catena 2012, 88, 46–56. [Google Scholar] [CrossRef]
- Cerdan, O.; Le Bissonais, Y.; Souchère, V.; Martin, P.; Lecomte, V. Sediment concentration in interill flow: Interactions between soil surface conditions, vegetation and rainfall. Earth Surf. Process. 2002, 205, 193–205. [Google Scholar] [CrossRef]
- Maïga-Yaleu, S.; Guiguemde, I.; Yacouba, H.; Karambiri, H.; Ribolzi, O.; Bary, A.; Ouedraogo, R.; Chaplot, V. Soil crusting impact on soil organic carbon losses by water erosion. Catena 2013, 107, 26–34. [Google Scholar] [CrossRef]
- Tabachnick, B.G.; Fidell, L.S. Using Multivariate Statistics, 3rd ed.; Harper-Collins: New York, NY, USA, 1996. [Google Scholar]
- Bartlett, M.S. The Effect of Standardization on a χ2 Approximation in Factor Analysis. Biometrika 1951, 38, 337–344. [Google Scholar] [CrossRef]
- Hatvani, I.G.; Kovács, J.; Márkus, L.; Clement, A.; Hoffmann, R.; Korponai, J. Assessing the relationship of background factors governing the water quality of an agricultural watershed with changes in catchment property (W-Hungary). J. Hydrol. 2015, 521, 460–469. [Google Scholar] [CrossRef]
- Hatvani, I.G.; de Barros, V.D.; Tanos, P.; Kovács, J.; Székely Kovács, I.; Clement, A. Spatiotemporal changes and drivers of trophic status over three decades in the largest shallow lake in Central Europe, Lake Balaton. Ecol. Eng. 2020, 151, 105861. [Google Scholar] [CrossRef]
- Cattell, R.B. The Scree Test For The Number Of Factors. Multivar. Behav. Res. 1966, 1, 245–276. [Google Scholar] [CrossRef] [PubMed]
- Kaiser, H.F. The Application of Electronic Computers to Factor Analysis. Educ. Psychol. Meas. 1960, 20, 141–151. [Google Scholar] [CrossRef]
- Langhans, C.; Diels, J.; Clymans, W.; Van den Putte, A.; Govers, G. Scale effects of runoff generation under reduced and conventional tillage. Catena 2019, 176, 1–13. [Google Scholar] [CrossRef]
- Römkens, M.J.M.; Helming, K.; Prasad, S.N. Soil erosion under different rainfall intensities, surface roughness, and soil water regimes. Catena 2002, 46, 103–123. [Google Scholar] [CrossRef]
- Di Prima, S.; Concialdi, P.; Lassabatere, L.; Angulo-Jaramillo, R.; Pirastru, M.; Cerdà, A.; Keesstra, S. Laboratory testing of Beerkan infiltration experiments for assessing the role of soil sealing on water infiltration. Catena 2018, 167, 373–384. [Google Scholar] [CrossRef]
- Gómez, J.A.; Nearing, M.A. Runoff and sediment losses from rough and smooth soil surfaces in a laboratory experiment. Catena 2005, 59, 253–266. [Google Scholar] [CrossRef]
- Antoine, M.; Javaux, M.; Bielders, C. What indicators can capture runoff-relevant connectivity properties of the micro-topography at the plot scale? Adv. Water Resour. 2009, 32, 1297–1310. [Google Scholar] [CrossRef]
- Zemke, J.J. Runoff and soil erosion assessment on forest roads using a small scale rainfall simulator. Hydrology 2016, 3, 25. [Google Scholar] [CrossRef]
- Jakab, G.; Németh, T.; Csepinszky, B.; Madarász, B.; Szalai, Z.; Kertész, A. The influence of short term soil sealing and crusting on hydrology and erosion at balaton uplands, hungary. Carpathian J. Earth Environ. Sci. 2013, 8, 147–155. [Google Scholar]
Publisher’s Note: MDPI stays neutral with regard to jurisdictional claims in published maps and institutional affiliations. |





| pHdw | pHKCl | CaCO3 (%) | SOC * (%) | Particle Size Distribution (%) | |||
|---|---|---|---|---|---|---|---|
| Clay (<8 µ) | Silt (8–50 µ) | Sand (>50 µ) | |||||
| Regosol | 8.10 | 7.40 | 5.70 | 1.20 | 28.93 | 52.81 | 18.27 |
| Experiment ID | Location | Rainfall Intensity (mm h−1) | Slope Steepness (%) | Amount of Rain (mm) | Rainfall Duration (s) | No. of Sub-Samples |
|---|---|---|---|---|---|---|
| FG1 | field plot 1 | 56 | 6.7 | 16.81 | 1076 | 10 |
| FG2 | field plot 1 | 84 | 6.7 | 10.63 | 452 | 10 |
| FG3 | field plot 2 | 70 | 8 | 13.53 | 695 | 9 |
| FG4 | field plot 2 | 86 | 8 | 10.41 | 435 | 10 |
| FG5 | field plot 3 | 56 | 7.7 | 15.19 | 961 | 10 |
| FG6 | field plot 3 | 80 | 7.7 | 12.40 | 555 | 10 |
| FS1 | field plot 4 | 66 | 18.3 | 16.49 | 889 | 10 |
| FS2 | field plot 4 | 103 | 18.3 | 11.67 | 406 | 10 |
| FS3 | field plot 5 | 49 | 17.2 | 10.53 | 760 | 10 |
| FS4 | field plot 5 | 63 | 17.2 | 8.05 | 459 | 10 |
| FS5 | field plot 6 | 44 | 17.6 | 13.86 | 1121 | 10 |
| FS6 | field plot 6 | 76 | 17.6 | 11.18 | 525 | 10 |
| LG1 | laboratory | 118 | 5 | 93.68 | 2704 | 8 |
| LG2 | laboratory | 141 | 5 | 78.65 | 2008 | 14 |
| LS1 | laboratory | 109 | 12 | 63.40 | 2094 | 16 |
| LS2 | laboratory | 102 | 12 | 23.89 | 843 | 16 |
| LP1 | laboratory | 108 | 2 | 35.70 | 1190 | 13 |
| LP2 | laboratory | 134 | 2 | 79.80 | 2144 | 13 |
| Slope | Gentle | Steep |
|---|---|---|
| Sediment concentration (g L−1) | ||
| Field tilled | 9.93 ± 0.8 | 14.30 ± 4.2 |
| Field crusted | 11.01 ± 1.4 | 19.69 ± 5.0 |
| (a) | Principal Component/Response Variables | Field | Laboratory | ||
| 1st PC (50.49%) | 2nd PC (27.23%) | 1st PC (49.55%) | 2nd PC (32.55%) | ||
| Slope gradient (%) | 0.351 | 0.694 | 0.879 | −0.063 | |
| Constant runoff/infiltration (%) | 0.796 | 0.290 | −0.111 | 0.965 | |
| Particle size median (µm) | 0.748 | 0.567 | 0.502 | 0.746 | |
| Rain intensity (mm h−1) | 0.643 | −0.706 | −0.788 | −0.384 | |
| Ponding period (s) | −0.760 | 0.031 | −0.810 | 0.079 | |
| Constant runoff rate (mm h−1) | 0.849 | −0.496 | −0.812 | 0.555 | |
| (b) | Correlation Coefficient/Explanatory Variable | ||||
| Sediment concentration (SC) | 0.71 * | 0.57 * | 0.89 * | −0.27 | |
© 2020 by the authors. Licensee MDPI, Basel, Switzerland. This article is an open access article distributed under the terms and conditions of the Creative Commons Attribution (CC BY) license (http://creativecommons.org/licenses/by/4.0/).
Share and Cite
Szabó, J.A.; Centeri, C.; Keller, B.; Hatvani, I.G.; Szalai, Z.; Dobos, E.; Jakab, G. The Use of Various Rainfall Simulators in the Determination of the Driving Forces of Changes in Sediment Concentration and Clay Enrichment. Water 2020, 12, 2856. https://doi.org/10.3390/w12102856
Szabó JA, Centeri C, Keller B, Hatvani IG, Szalai Z, Dobos E, Jakab G. The Use of Various Rainfall Simulators in the Determination of the Driving Forces of Changes in Sediment Concentration and Clay Enrichment. Water. 2020; 12(10):2856. https://doi.org/10.3390/w12102856
Chicago/Turabian StyleSzabó, Judit Alexandra, Csaba Centeri, Boglárka Keller, István Gábor Hatvani, Zoltán Szalai, Endre Dobos, and Gergely Jakab. 2020. "The Use of Various Rainfall Simulators in the Determination of the Driving Forces of Changes in Sediment Concentration and Clay Enrichment" Water 12, no. 10: 2856. https://doi.org/10.3390/w12102856
APA StyleSzabó, J. A., Centeri, C., Keller, B., Hatvani, I. G., Szalai, Z., Dobos, E., & Jakab, G. (2020). The Use of Various Rainfall Simulators in the Determination of the Driving Forces of Changes in Sediment Concentration and Clay Enrichment. Water, 12(10), 2856. https://doi.org/10.3390/w12102856

