Sensibility Analysis of the Hydraulic Conductivity Anisotropy on Seepage and Stability of Sandy and Clayey Slope
Abstract
1. Introduction
2. Methods and Theory
2.1. Theory of Unsaturated Seepage
2.2. Effect of Negative Pore-Water Pressures
2.3. Safety Factor for Unsaturated Soil
3. Numerical Model Framework
3.1. Numerical Model and Boundary Conditions
3.2. Unsaturated Soil Properties
3.3. Definition of Anisotropy and Calculation Conditions
4. Results and Discussions
4.1. Initial Conditions
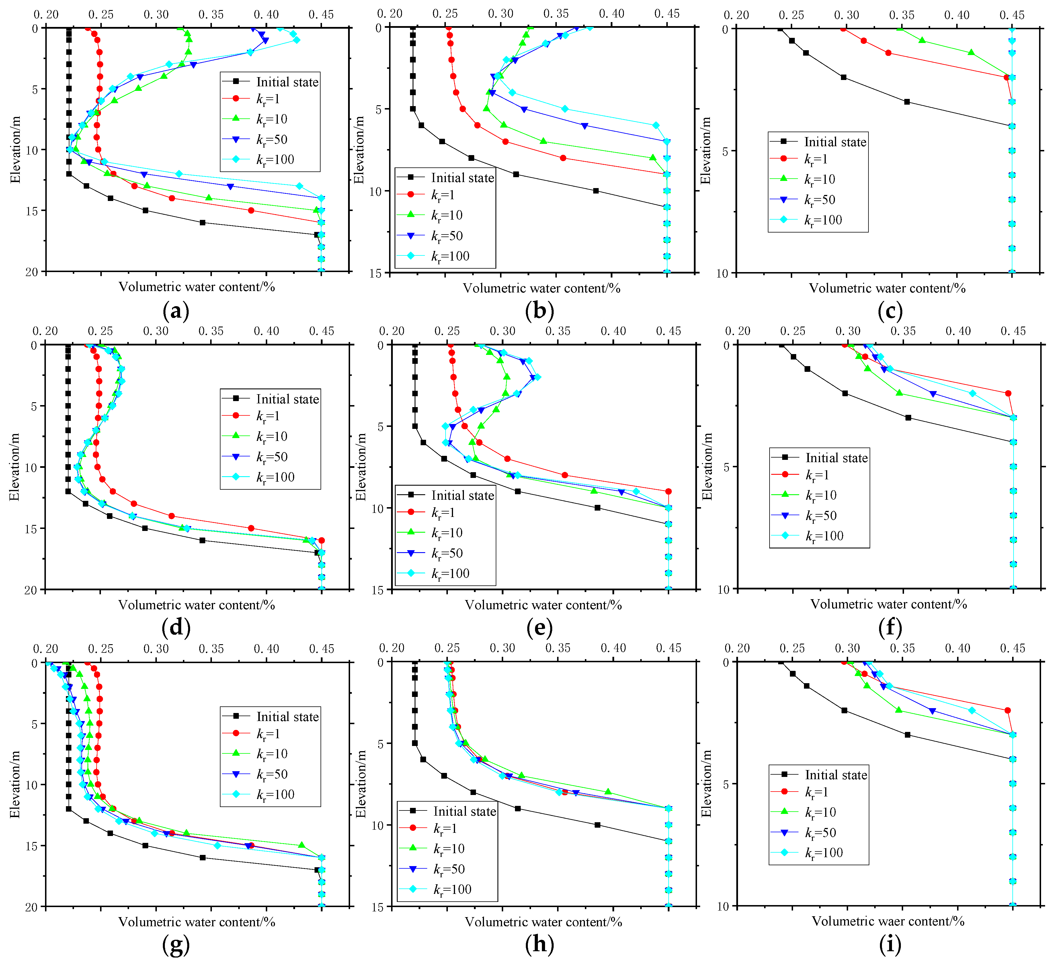
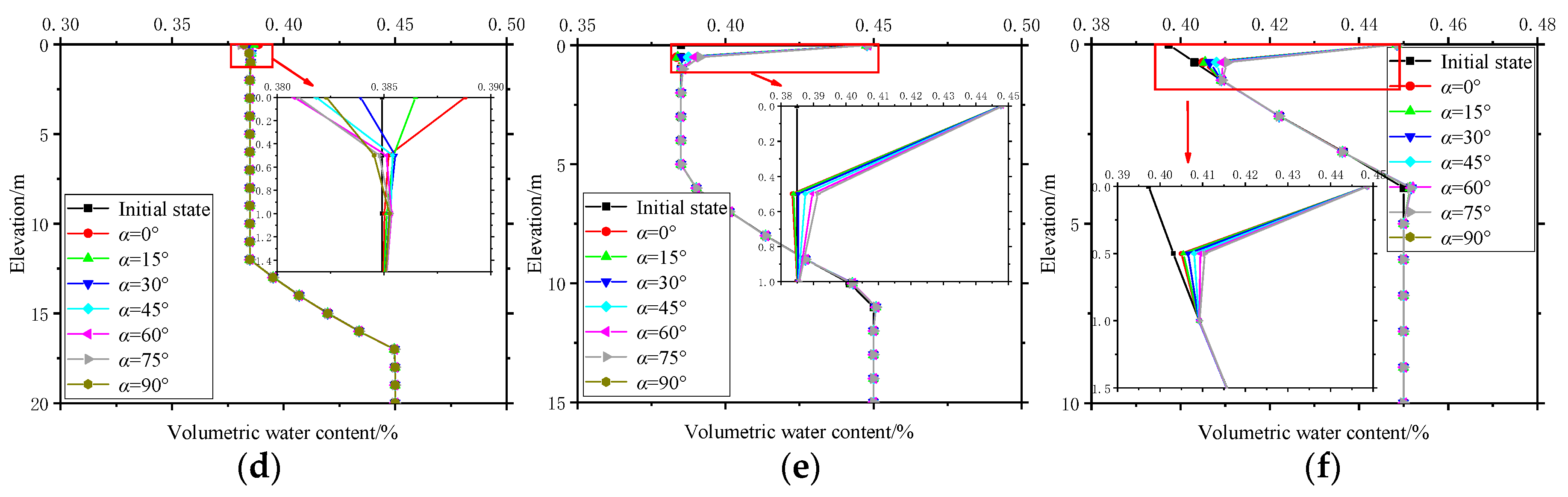
4.2. Variation of Volumetric Water Content
4.2.1. Sandy Soil
4.2.2. Clayey Soil
4.3. Analysis of Rainfall Infiltration Depth, Rising Height of Groundwater, and Maximum Water Content of the Surface
4.4. Safety Factors
5. Conclusions
- (1)
- The initial conditions are important for the subsequent calculation of unsaturated seepage. In this paper, the initial maximum suction of sand and clayey soil of −45 kPa was selected for numerical simulation, which was consistent with the actual situation.
- (2)
- For sandy soil slope, the seepage characteristics and slope stability were greatly affected by the hydraulic conductivity anisotropy ratio kr and direction α. The increase of kr promoted the rainfall infiltration, which made the groundwater level and the surface water content rise. The decrease of α prevented rainfall infiltration, which made the rainfall hard to infiltrate. For clayey soil, the variations of kr and α had little impact on the distribution of volumetric water content.
- (3)
- The RID, RHG, and MWCS were defined to characterize the seepage response under rainfall. For sandy soil slope, the MWCS increased with the increase of kr and α, and the RHG was −3–4 m. For clayey soil slope, the MWCS varied little and was higher than sandy soil slope, and the RID was 0.5–1 m.
- (4)
- The minimum SF happened when kr = 100 and α = 0°, and varied dramatically with kr and α for sandy soil slope. The SF for sandy soil slope was 1.3–1.7, while the SF for clayey soil slope was higher than that of sandy soil slope, and remained about 1.7.
- (5)
- In actual engineering, it is necessary to consider the effect of the hydraulic conductivity anisotropy ratio kr and direction α for sandy soil slope. However, for clayey soil slope, it can be treated as isotropic medium without considering its anisotropy for the purpose of simplifying the calculation.
Author Contributions
Funding
Conflicts of Interest
References
- Luo, G.C.; He, Z.M.; Luo, X.; Hu, Q.G. Numerical Simulation of Slope Excavation in Highway Renovation and Expansion Project. Appl. Mech. Mater. 2014, 580, 827–830. [Google Scholar] [CrossRef]
- Duong, T.T.; Do, D.M.; Yasuhara, K. Assessing the Effects of Rainfall Intensity and Hydraulic Conductivity on Riverbank Stability. Water 2019, 11, 741. [Google Scholar] [CrossRef]
- Liu, C.; Hao, W.; Wang, J.; Bai, W.; Qin, Z.; Li, Z. Effect of Connectivity Rate of Dominant Joints Extending Outward of the Slope on High Slope Stability. J. Yangtze River Sci. Res. Inst. 2014, 31, 74–77. [Google Scholar]
- Jotisankasa, A.; Mahannopkul, K.; Sawangsuriya, A. Slope Stability and Pore-Water Pressure Regime in Response to Rainfall: A Case Study of Granitic Fill Slope in Northern Thailand. Geotech. Eng. 2015, 46, 45–54. [Google Scholar]
- Yufei, K. Infinite Slope Stability under Transient Rainfall Infiltration Conditions. Appl. Mech. Mater. 2014, 501, 395–398. [Google Scholar]
- Oh, S.; Lu, N. Slope Stability Analysis under Unsaturated Conditions: Case Studies of Rainfall-induced Failure of Cut Slopes. Eng. Geol. 2014, 184, 96–103. [Google Scholar] [CrossRef]
- Zhang, Y.; Zhu, S.; Zhang, W.; Liu, H. Analysis of deformation characteristics and stability mechanisms of typical landslide mass based on the field monitoring in the Three Gorges Reservoir, China. J. Earth Syst. Sci. 2019, 128, 9. [Google Scholar] [CrossRef]
- Wu, L.; Wang, Z. Three Gorges Reservoir Water Level Fluctuation Influents on the Stability of the Slope’s Analysis. Adv. Mater. Res. 2013, 739, 283–286. [Google Scholar] [CrossRef]
- Zhang, M.; Dong, Y.; Sun, P. Impact of reservoir impoundment-caused groundwater level changes on regional slope stability: A case study in the Loess Plateau of Western China. Environ. Earth Sci. 2012, 66, 1715–1725. [Google Scholar] [CrossRef]
- Chen, C.; Chen, H.; Wei, L.; Lin, G.; Iida, T.; Yamada, R. Evaluating the susceptibility of landslide landforms in Japan using slope stability analysis: A case study of the 2016 Kumamoto earthquake. Landslides 2017, 14, 1793–1801. [Google Scholar] [CrossRef]
- Wensong, W.; Guangzhi, Y.; Zuoan, W.; Qiangui, Z.; Guansen, C.; Xiaofei, J. Study of the dynamic stability of tailings dam based on time-history analysis method. J. China Univ. Min. Technol. 2018, 47, 271–279. [Google Scholar]
- Efremidis, G.; Avlonitis, M.; Konstantinidis, A.; Aifantis, E.C. A statistical study of precursor activity in earthquake-induced landslides. Comput. Geotech. 2017, 81, 137–142. [Google Scholar] [CrossRef]
- Duggan, A.R.; McCabe, B.A.; Goggins, J.; Clifford, E. An embodied carbon and embodied energy appraisal of a section of Irish motorway constructed in peatlands. Constr. Build. Mater. 2015, 79, 402–419. [Google Scholar] [CrossRef]
- Yu, S. Numerical Analysis of the Seepage Characteristics of Slopes with Weak Interlayers under Different Rainfall Levels. Appl. Ecol. Environ. Res. 2019, 17, 12465–12478. [Google Scholar] [CrossRef]
- Pande, R.K.; Uniyal, A. The fury of nature in Uttaranchal: Uttarkashi landslide of the year 2003. Disaster Prev. Manag. 2007, 16, 562–575. [Google Scholar] [CrossRef]
- Mo, P.-Q.; Yu, H.-S. Drained cavity expansion analysis with a unified state parameter model for clay and sand. Can. Geotech. J. 2017, 55, 1029–1040. [Google Scholar] [CrossRef]
- Fernando, P.; Yipei, W.; Xu, L. Acid rock drainage passive remediation using alkaline clay: Hydro-geochemical study and impacts of vegetation and sand on remediation. Sci. Total Environ. 2018, 637, 1262–1278. [Google Scholar]
- Amaral, L.F.; Vieira, C.M.F.; Delaqua, G.; Nicolite, M. Evaluation of Phyllite and Sand in the Heavy Clay Body Composition. Mater. Sci. Forum 2018, 912, 55–59. [Google Scholar] [CrossRef]
- Tan, Z.; Cai, M. Multi-factor sensitivity analysis of shallow unsaturated clay slope stability. Int. J. Miner. Metall. Mater. 2005, 12, 193–202. [Google Scholar]
- Qi, S.; Vanapalli, S.K. Influence of swelling behavior on the stability of an infinite unsaturated expansive soil slope. Comput. Geotech. 2016, 76, 154–169. [Google Scholar] [CrossRef]
- Loretta, B.; Carastoian, A. Slope Stability Analysis Using the Unsaturated Stress Analysis. Case Study. Procedia Eng. 2016, 143, 284–291. [Google Scholar]
- Frank, G.; Martin, F.; Albert, B. Effects of vegetation on the angle of internal friction of a moraine. For. Snow Landsc. Res. 2009, 82, 61–77. [Google Scholar]
- Wu, X.Z. Probabilistic slope stability analysis by a copula-based sampling method. Comput. Geosci. 2013, 17, 739–755. [Google Scholar] [CrossRef]
- Zhang, Y.; Chen, G.; Wang, B.; Li, L. An analytical method to evaluate the effect of a turning corner on 3D slope stability. Comput. Geotech. 2013, 53, 40–45. [Google Scholar] [CrossRef]
- Shi, Z.; Shen, D.; Peng, M.; Zhang, L.; Wang, F.; Zhene, X. Slope stability analysis by considering rainfall infiltration in multi-layered unsaturated soils. J. Hydraul. Eng. 2016, 47, 977–985. [Google Scholar]
- Weizao, W.; Qiang, X.; Guang, Z. Centrifugal model tests on sliding failure of gentle debris slope under rainfall. Rock Soil Mech. 2016, 37, 87–95. [Google Scholar]
- Liu, J.; Zhang, J.; Feng, J. Green-Ampt Model for Layered Soils with Nonuniform Initial Water Content under Unsteady Infiltration. Soil Sci. Soc. Am. J. 2008, 72, 1041–1047. [Google Scholar] [CrossRef]
- Mein, R.G.; Larson, C.L. Modeling infiltration during a steady rain. Water Resour. Res 1973, 9, 384–394. [Google Scholar] [CrossRef]
- Chu, S.T. Infiltration during an unsteady rain. Water Resour. Res. 1978, 14, 461–466. [Google Scholar] [CrossRef]
- Chen, L.; Young, M.H. Green-Ampt infiltration model for sloping surfaces. Water Resour. Res. 2006, 42, 887–896. [Google Scholar] [CrossRef]
- Wu, C.P.; Luo, Y.S.; Chen, W. Indoor Model Experiment for Rainfall Effects on Bare Loess Slope Shape. Bull. Soil Water Conserv. 2013, 01, 121–125. [Google Scholar]
- Li, L.; Luo, S.; Wang, Y.; Wei, W.; Li, C. Model tests for mechanical response of bedding rock slope UNDER different rainfall conditions. Chin. J. Rock Mech. Eng. 2014, 33, 755–762. [Google Scholar]
- Zhang, Y. Study on Stability of Xiaokou Landslide under Different Rainfall Conditions. Ph.D. Thesis, SouthWest JiaoTong University, Chengdu, China, 2007. [Google Scholar]
- Wang, H.; Chen, Z.X.; Zhang, D.M. Rock Slope Stability Analysis Based on FLAC3D Numerical Simulation. Appl. Mech. Mater. 2012, 170, 375–379. [Google Scholar]
- Wang, X.; Li, Q.; Yu, Y. Simulation of the failure process of landslides based on extended finite element method. Rock Soil Mech. 2019, 40, 2435–2442. [Google Scholar]
- Dou, H.; Han, T.; Gong, X. Reliability analysis of slope stability considering variability of soil saturated hydraulic conductivity under rainfall infiltration. Rock Soil Mech. 2016, 37, 1144–1152. [Google Scholar]
- Song, Y.; Wu, Z.; Ye, G. Permeability and anisotropy of upper Shanghai clays. Rock Soil Mech. 2018, 39, 2139–2144. [Google Scholar]
- Wang, T.; Yang, T.; Lu, J. Influence of dry density and freezing-thawing cycles on anisotropic permeability of loess. Rock Soil Mech. 2016, 37, 72–78. [Google Scholar]
- Todd, D. Groundwater Hydrology; Jon Wiley & Sons Inc.: New York, NY, USA, 1980. [Google Scholar]
- Yuan, J.-P.; Lin, Y.-L.; Ding, P.; Han, C.-L. Influence of anisotropy induced by fissures on rainfall infiltration of slopes. Chin. J. Geotech. Eng. 2016, 38, 76–82. [Google Scholar]
- Zhao, Y.; Wang, W.; Huang, Y. Coupling analysis of seepage-damage-fracture in fractured rock mass and engineering application. Chin. J. Geotech. Eng. 2010, 32, 24–32. [Google Scholar]
- Mahmood, K.; Ryu, J.; Kim, J.M. Effect of anisotropic conductivity on suction and reliability index of unsaturated slope exposed to uniform antecedent rainfall. Landslides 2013, 10, 15–22. [Google Scholar] [CrossRef]
- Dong, J.J.; Tu, C.H.; Lee, W.R. Effects of hydraulic conductivity/strength anisotropy on the stability of stratified, poorly cemented rock slopes. Comput. Geotech. 2012, 40, 147–159. [Google Scholar] [CrossRef]
- Yeh, H.F.; Tsai, Y.J. Analyzing the Effect of Soil Hydraulic Conductivity Anisotropy on Slope Stability Using a Coupled Hydromechanical Framework. Water 2018, 10, 905. [Google Scholar] [CrossRef]
- Yizhao, W.; Yaohua, S. Influence of Rainfall Infiltration on Slope Stability at Shallow Layer. J. Yangtze River Sci. Res. Inst. 2017, 34, 122–125. [Google Scholar]
- Zefeng, J.; Dayong, Z. Critical slip field of slope with tension crack under intensive rainfall. Rock Soil Mech. 2016, 10, 25–34. [Google Scholar]
- Al-Juboori, M.; Datta, B. Performance evaluation of a genetic algorithm-based linked simulation-optimization model for optimal hydraulic seepage-related design of concrete gravity dams. J. Appl. Water Eng. Res. 2019, 7, 173–197. [Google Scholar] [CrossRef]
- Al-Juboori, M.; Datta, B. Improved optimal design of concrete gravity dams founded on anisotropic soils utilizing simulation-optimization model and hybrid genetic algorithm. ISH J. Hydraul. Eng. 2019, 36, 1–18. [Google Scholar] [CrossRef]
- Al-Juboori, M.; Datta, B. Reliability-based optimum design of hydraulic water retaining structure constructed on heterogeneous porous media: Utilizing stochastic ensemble surrogate model-based linked simulation optimization model. Life Cycle Reliab. Saf. Eng. 2019, 8, 65–84. [Google Scholar] [CrossRef]
- GEO-SLOPE International Ltd. Seepage Modeling with SEEP/W 2007; Geo-Slope International Ltd.: Calgary, AB, Canada, 2010. [Google Scholar]
- Fredlund, D.G.; Morgenstern, N.R.; Widger, R.A. The shear strength of unsaturated soils. Can. Geotech. J. 1978, 15, 313–321. [Google Scholar] [CrossRef]
- Fredlund, D.G.; Rahardjo, H. Soil Mechanics for Unsaturated Soils; Wiley: New York, NY, USA, 1993. [Google Scholar]
- Liu, J.; Zeng, L.; Fu, H. Variation law of rainfall infiltration depth and saturation zone of soil slope. J. Cent. South Univ. (Sci. Technol.) 2019, 50, 208–215. [Google Scholar]
- Tang, D.; Li, D.; Zhou, C. Slope stability analysis considering antecedent rainfall process. Rock Soil Mech. 2013, 34, 3239–3248. [Google Scholar]













| Soil Type | SWCC Parameters | Permeability Coefficient | ||||
|---|---|---|---|---|---|---|
| a/kPa | m | n | θ/% | kx/(m/s) | kx/(m/day) | |
| Sand | 10 | 1 | 1 | 45 | 10−4 | 8.64 |
| Clay | 100 | 1 | 1 | 45 | 10−6 | 0.0864 |
| Rainfall Intensity (m/s) | Soil Type | kx(m/s) | kr | α/° |
|---|---|---|---|---|
| 10−6 | Sand | 10−4 | ||
| Clay | 10−6 |
© 2020 by the authors. Licensee MDPI, Basel, Switzerland. This article is an open access article distributed under the terms and conditions of the Creative Commons Attribution (CC BY) license (http://creativecommons.org/licenses/by/4.0/).
Share and Cite
Yu, S.; Ren, X.; Zhang, J.; Wang, H.; Zhang, Z. Sensibility Analysis of the Hydraulic Conductivity Anisotropy on Seepage and Stability of Sandy and Clayey Slope. Water 2020, 12, 277. https://doi.org/10.3390/w12010277
Yu S, Ren X, Zhang J, Wang H, Zhang Z. Sensibility Analysis of the Hydraulic Conductivity Anisotropy on Seepage and Stability of Sandy and Clayey Slope. Water. 2020; 12(1):277. https://doi.org/10.3390/w12010277
Chicago/Turabian StyleYu, Shuyang, Xuhua Ren, Jixun Zhang, Haijun Wang, and Zhitao Zhang. 2020. "Sensibility Analysis of the Hydraulic Conductivity Anisotropy on Seepage and Stability of Sandy and Clayey Slope" Water 12, no. 1: 277. https://doi.org/10.3390/w12010277
APA StyleYu, S., Ren, X., Zhang, J., Wang, H., & Zhang, Z. (2020). Sensibility Analysis of the Hydraulic Conductivity Anisotropy on Seepage and Stability of Sandy and Clayey Slope. Water, 12(1), 277. https://doi.org/10.3390/w12010277

