Seepage, Deformation, and Stability Analysis of Sandy and Clay Slopes with Different Permeability Anisotropy Characteristics Affected by Reservoir Water Level Fluctuations
Abstract
1. Introduction
2. Methods and Theory
2.1. Theory of Unsaturated Seepage
2.2. Theory of Pore Pressure–Stress Coupling
2.3. Safety Factor for Unsaturated Soil
3. Numerical Model Framework
3.1. Numerical Model and Boundary Conditions
3.2. Unsaturated Soil Properties
3.3. Physical and Mechanics Parameters
3.4. Definition of Anisotropy and Calculation Conditions
4. Results
4.1. Effect of Permeability Anisotropy on Seepage Characteristics
4.1.1. Sandy Soil
4.1.2. Clay Soil
4.1.3. Analysis of Infiltration Line Hysteretic Elevation (ILHE)
4.2. Effect of Permeability Anisotropy on DeformationCcharacteristics
4.2.1. Sandy Soil
4.2.2. Clay Soil
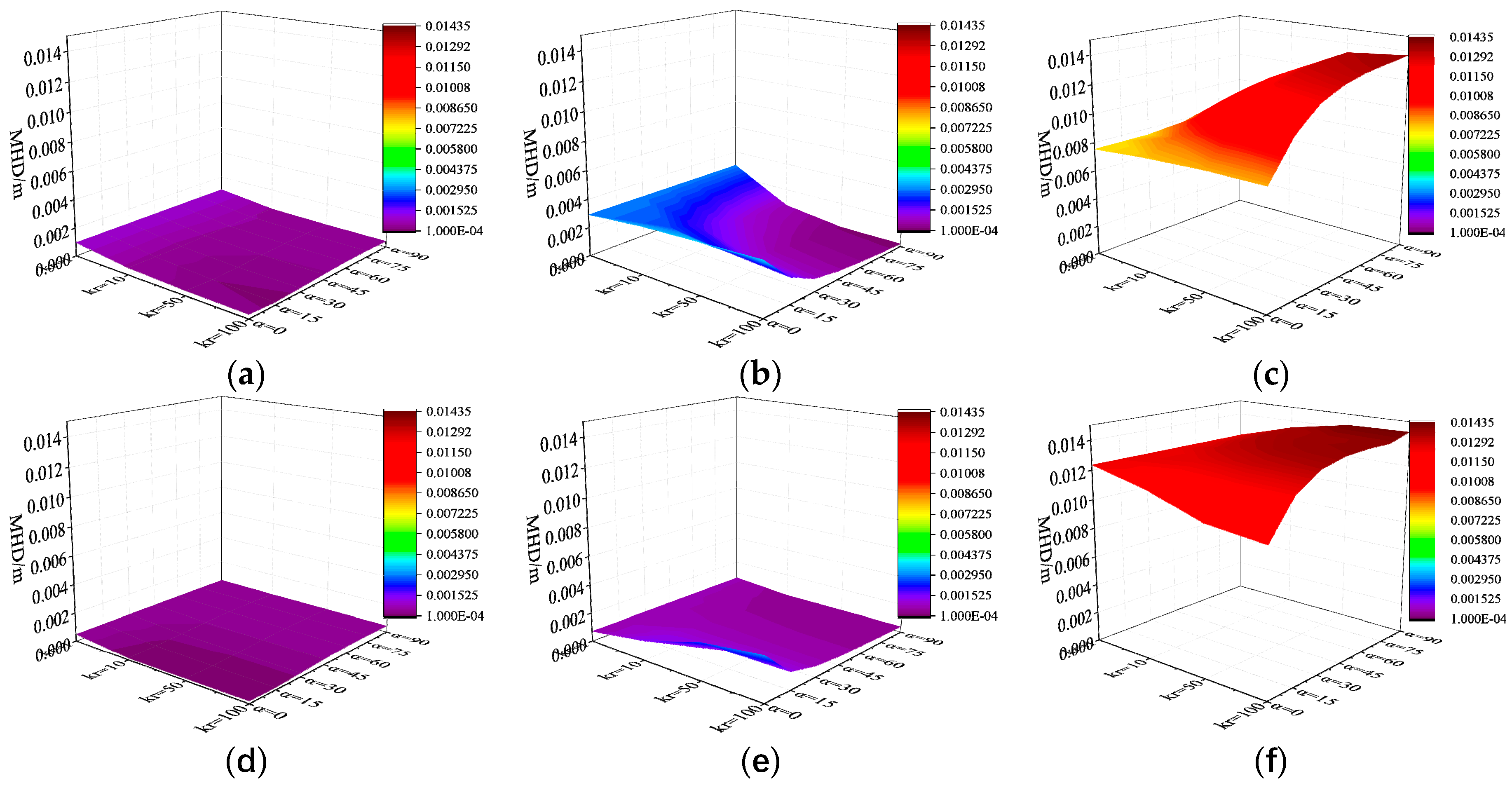
4.2.3. Analysis of Maximum Horizontal Displacement (MHD)
4.3. Effect of Permeability Anisotropy on Safety Factors
4.3.1. Sandy Soil
4.3.2. Clay Soil
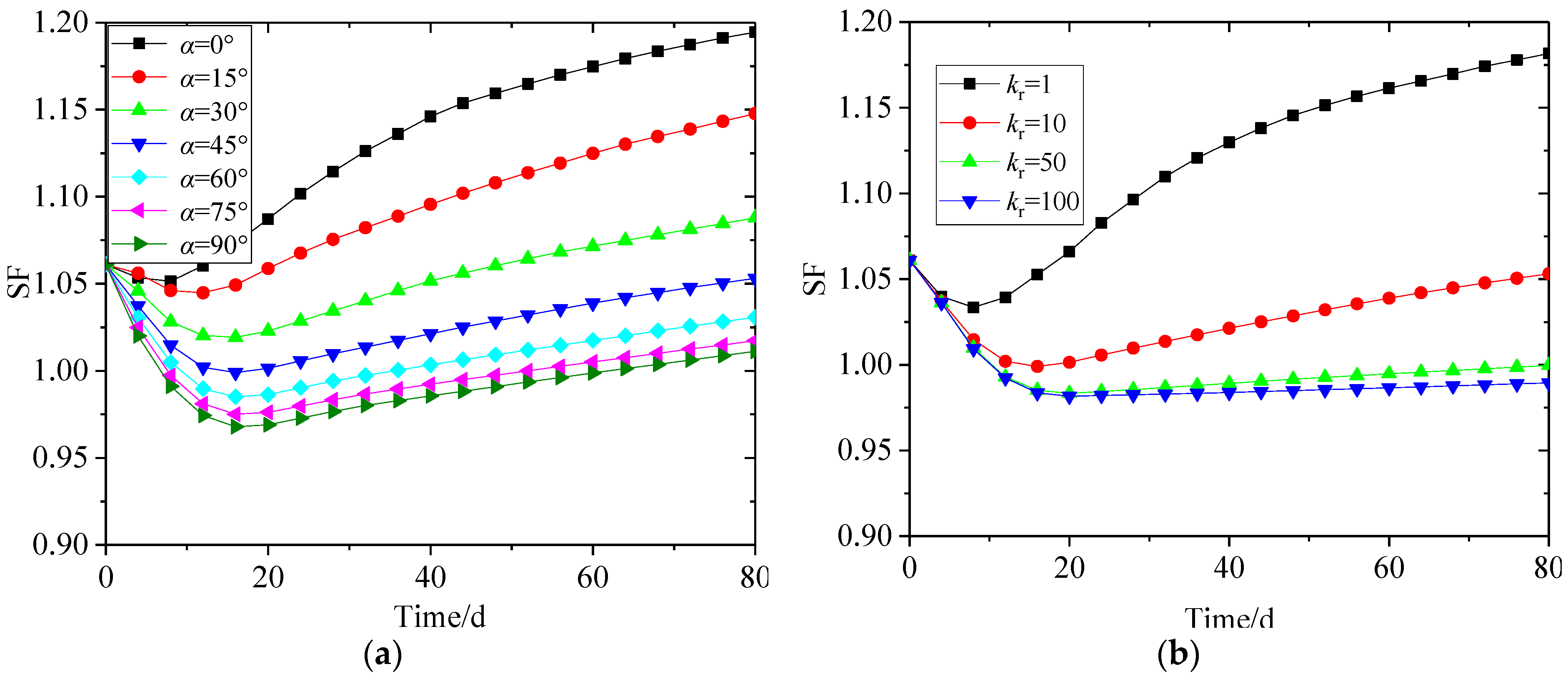
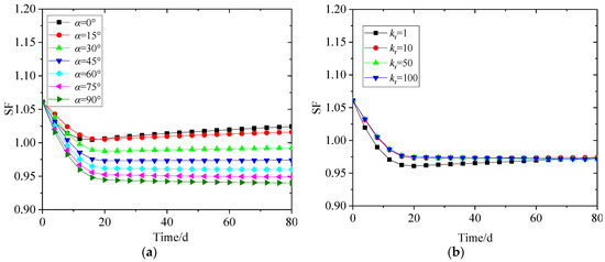
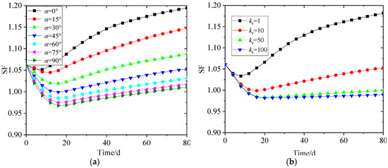
4.3.3. Analysis of Minimum Safety Factor (MSF)
5. Discussion
5.1. Effect of Reservoir Water Level Drawdown on Seepage Deformation and Stability of Slope
5.2. Effect of Permeability Anisotropy on Seepage Deformation and Stability of Slope
5.3. Advice for Future Studies
6. Conclusions
- The increase of kr and α decreases the infiltration capacity of slope soil, which increases the pore water pressure, as well as the x-displacement, and decreases the SF. The delay phenomenon occurs during the drawdown of the reservoir water level.
- The infiltration line hysteretic elevation (ILHE), the maximum horizontal displacement (MHD), and the minimum safety factor (MSF) are defined to characterize the delay phenomenon, the deformation, and the stability. The values of ILHE, MHD, and MSF increase with the increase of kr and α. The ILHE of the sandy slope is smaller than that of the clay slope, but the MHD and MSF of the sandy slope is larger than that of the clay slope.
- There are mainly three aspects of the impact of reservoir water drawdown on the slope, which include two unfavorable factors containing the delay phenomenon and the water pressure unload and one positive factor containing the increase of soil strength and effective stress. The x-displacement reaches a maximum in the slope toe, which indicates the slope toe firstly fails during the reservoir water drawdown, and it is consistent with the test results in the existing literature.
- The differences of ILHE, MHD, and MSF between only considering kr as well as both considering kr and α are statistically analyzed. For the sandy slope, the values of ILHE, MHD, and MSF are quite different under the conditions with only considering kr and with both considering kr and α, while they become relatively small for the clay slope. Therefore, we must consider kr and α for the sandy slope; however, for the clay slope, we can consider only kr to simplify computation.
- In this paper, the permeability anisotropy ratio kr and direction α are only considered in our simulation; future studies should combine the permeability anisotropy with the soil strength anisotropy in numerical analysis and develop new corresponding anisotropic material and carry out the model tests to verify the numerical simulation results.
Author Contributions
Funding
Conflicts of Interest
References
- Li, S.; Xu, Q.; Tang, M.; Iqbal, J.; Liu, J.; Zhu, X.; Liu, F.; Zhu, D. Characterizing the spatial distribution and fundamental controls of landslides in the three gorges reservoir area, China. Bull. Eng. Geol. Environ. 2019, 78, 4275–4290. [Google Scholar] [CrossRef]
- Tang, M.; Xu, Q.; Yang, H.; Li, S.; Iqbal, J.; Fu, X.; Cheng, W. Activity law and hydraulics mechanism of landslides with different sliding surface and permeability in the Three Gorges Reservoir Area, China. Eng. Geol. 2019, 260, 105212. [Google Scholar] [CrossRef]
- Ayalew, L.; Yamagishi, H. The application of GIS-based logistic regression for landslide susceptibility mapping in the Kakuda-Yahiko Mountains, Central Japan. Geomorphology 2005, 65, 15–31. [Google Scholar] [CrossRef]
- Bi, R.; Schleier, M.; Rohn, J.; Ehret, D.; Xiang, W. Landslide susceptibility analysis based on ArcGIS and Artificial Neural Network for a large catchment in Three Gorges region, China. Environ. Earth Sci. 2014, 72, 1925–1938. [Google Scholar] [CrossRef]
- Chang, F.-J.; Chang, Y.-T. Adaptive neuro-fuzzy inference system for prediction of water level in reservoir. Adv. Water Resour. 2006, 29, 1–10. [Google Scholar] [CrossRef]
- Roeloffs, E.A. Fault stability changes induced beneath a reservoir with cyclic variations in water level. J. Geophys. Res. Space Phys. 1988, 93, 2107. [Google Scholar] [CrossRef]
- Crivelli, A.J.; Grillas, P.; Lacaze, B. Responses of vegetation to a rise in water level at Kerkini Reservoir (1982–1991), a Ramsar Site in Northern Greece. Environ. Manag. 1995, 19, 417–430. [Google Scholar] [CrossRef]
- Li, S.; Knappett, J.A.; Feng, X. Centrifugal test on slope instability influenced by rise and fall of reservoir water level. Chin. J. Rock Mech. Eng. 2008, 27, 1586–1593. [Google Scholar]
- Zhou, C.; Yin, K.; Cao, Y.; Ahmed, B. Application of time series analysis and PSO–SVM model in predicting the Bazimen landslide in the Three Gorges Reservoir, China. Eng. Geol. 2016, 204, 108–120. [Google Scholar] [CrossRef]
- Huang, D.; Gu, D.-M.; Chen, Z.-Q.; Zhu, H.; Chen, C.-J. Hybrid effects of rainfall and reservoir level fluctuation on old Taping H2 landslide in Wushan County in Three Gorges Reservoir area. Chin. J. Geotech. Eng. 2017, 39, 2203–2211. [Google Scholar]
- Li, Z.; He, Y.-J.; Sheng, J.-B.; Li, H.-E.; Yang, Y. Landslide model for slope of reservoir bank under combined effects of rainfall and reservoir water level. Chin. J. Geotech. Eng. 2017, 39, 452–459. [Google Scholar]
- Wang, H.; Sun, Y.; Tan, Y.; Sui, T.; Sun, G. Deformation characteristics and stability evolution behavior of Woshaxi landslide during the initial impoundment period of the Three Gorges reservoir. Environ. Earth Sci. 2019, 78, 592. [Google Scholar] [CrossRef]
- Iqbal, J.; Tu, X.; Gao, W. The Impact of Reservoir Fluctuations on Reactivated Large Landslides: A Case Study. Geofluids 2019, 2019, 1–16. [Google Scholar] [CrossRef]
- Yan, L.; Xu, W.; Wang, H.; Wang, R.; Meng, Q.; Yu, J.; Xie, W.-C. Drainage controls on the Donglingxing landslide (China) induced by rainfall and fluctuation in reservoir water levels. Landslides 2019, 16, 1583–1593. [Google Scholar] [CrossRef]
- Luo, F.; Zhang, G. Progressive failure behavior of cohesive soil slopes under water drawdown conditions. Environ. Earth Sci. 2016, 75, 973. [Google Scholar] [CrossRef]
- Hu, X.; He, C.; Zhou, C.; Xu, C.; Zhang, H.; Wang, Q.; Wu, S. Model Test and Numerical Analysis on the Deformation and Stability of a Landslide Subjected to Reservoir Filling. Geofluids 2019, 2019, 1–15. [Google Scholar] [CrossRef]
- Yang, C.-B.; Zhu, B.; Kong, L.-G.; Han, L.-B.; Chen, Y.-M. Centrifugal model tests on failure of silty slopes induced by change of water level. Chin. J. Geotech. Eng. 2013, 35, 1261–1271. [Google Scholar]
- Hu, X.; Tang, H.; Li, C.; Sun, R. Stability of Huangtupo riverside slumping mass II# under water level fluctuation of Three Gorges Reservoir. J. Earth Sci. 2012, 23, 326–334. [Google Scholar]
- Jian, W.; Xu, Q.; Yang, H.; Wang, F. Mechanism and failure process of Qianjiangping landslide in the Three Gorges Reservoir, China. Environ. Earth Sci. 2014, 72, 2999–3013. [Google Scholar] [CrossRef]
- Song, K.; Yan, E.; Zhang, G.; Lu, S.; Yi, Q. Effect of hydraulic properties of soil and fluctuation velocity of reservoir water on landslide stability. Environ. Earth Sci. 2015, 74, 5319–5329. [Google Scholar] [CrossRef]
- Huang, F.; Luo, X.; Liu, W. Stability Analysis of Hydrodynamic Pressure Landslides with Different Permeability Coefficients Affected by Reservoir Water Level Fluctuations and Rainstorms. Water 2017, 9, 450. [Google Scholar] [CrossRef]
- Ye, C.; Li, S.; Zhang, Y.; Zhang, Q. Assessing soil heavy metal pollution in the water-level-fluctuation zone of the Three Gorges Reservoir, China. J. Hazard. Mater. 2011, 191, 366–372. [Google Scholar] [CrossRef]
- Naselli-Flores, L.; Barone, R. Importance of water-level fluctuation on population dynamics of cladocerans in a hypertrophic reservoir (Lake Arancio, south-west Sicily, Italy). Hydrobiologia 1997, 360, 223–232. [Google Scholar] [CrossRef]
- Bao, Y.; Gao, P.; He, X. The water-level fluctuation zone of Three Gorges Reservoir—A unique geomorphological unit. Earth-Sci. Rev. 2015, 150, 14–24. [Google Scholar] [CrossRef]
- William, R.J. Control of Biomphalaria Glabrata in a Small Reservoir by Fluctuation of the Water Level. Am. J. Trop. Med. Hyg. 1970, 19, 1049–1054. [Google Scholar]
- Wu, L.M.; Wang, Z.Q. Three Gorges Reservoir Water Level Fluctuation Influents on the Stability of the Slope’s Analysis. Adv. Mater. Res. 2013, 739, 283–286. [Google Scholar] [CrossRef]
- Zhang, X.; Tan, Z.; Zhou, C. Seepage and stability analysis of landslide under the change of reservoir water levels. Chin. J. Rock Mech. Eng. 2016, 35, 713–723. [Google Scholar]
- Jiao, Y.-Y.; Song, L.; Tang, H.-M.; Li, Y.-A. Material Weakening of Slip Zone Soils Induced by Water Level Fluctuation in the Ancient Landslides of Three Gorges Reservoir. Adv. Mater. Sci. Eng. 2014, 2014, 1–9. [Google Scholar] [CrossRef]
- Tan, S.D.; Wang, Y.; Zhang, Q.F. Environmental challenges and countermeasures of the water-level-fluctuation zone (WLFZ) of the Three Gorges Reservoir. Resour. Environ. Yangtze Basin 2008, 17, 101–105. [Google Scholar]
- Xiang, L.; Wang, S.; Wang, L. Response of Typical Hydrodynamic Pressure Landslide to Reservoir Water Level Fluctuation: Shuping Landslide in Three Gorges Reservoir as an Example. J. Eng. Geol. 2014, 22, 876–882. [Google Scholar]
- Hu, H.; Li, Y.; Li, H.; Hu, K.-F.; Zheng, D.-B. Analytic Solutions and Their Errors of Groundwater Phreatic Line in Bank Slope under Reservoir Water Level Fluctuation. J. Yangtze River Sci. Res. Inst. 2013, 30, 44–48. [Google Scholar]
- Song, Y.-Q.; Wu, C.; Ye, G. Permeability and anisotropy of upper Shanghai clays. Rock Soil Mech. 2018, 39, 2139–2144. [Google Scholar]
- Wang, T.-H.; Yang, T.; Lu, J. Influence of dry density and freezing-thawing cycles on anisotropic permeability of loess. Rock Soil Mech. 2016, 37, 72–78. [Google Scholar]
- Todd, D. Groundwater Hydrology; Jon Wiley & Sons Inc.: New York, NY, USA, 1980; p. 103. [Google Scholar]
- Yuan, J.-P.; Lin, Y.-L.; Ding, P.; Han, C.-L. Influence of anisotropy induced by fissures on rainfall infiltration of slopes. Chin. J. Geotech. Eng. 2016, 38, 76–82. [Google Scholar]
- Yuan, J.-P.; Lin, Y.-L.; Ding, P.; Han, C.-L. Coupling analysis of seepage-damage-fracture in fractured rock mass and engineering application. Chin. J. Geotech. Eng. 2010, 32, 24–32. [Google Scholar]
- Mahmood, K.; Ryu, J.H.; Kim, J.M. Effect of anisotropic conductivity on suction and reliability index of unsaturated slope exposed to uniform antecedent rainfall. Landslides 2013, 10, 15–22. [Google Scholar] [CrossRef]
- Dong, J.J.; Tu, C.H.; Lee, W.R.; Jheng, Y.-J. Effects of hydraulic conductivity/strength anisotropy on the stability of stratified, poorly cemented rock slopes. Comput. Geotech. 2012, 40, 147–159. [Google Scholar] [CrossRef]
- Yeh, H.F.; Tsai, Y.J. Analyzing the Effect of Soil Hydraulic Conductivity Anisotropy on Slope Stability Using a Coupled Hydromechanical Framework. Water 2018, 10, 905. [Google Scholar] [CrossRef]
- Li, X.F. Study on seepage Stability of Caipo Reservoir under combined rainfall condition. J. Water Resour. Water Eng. 2019, 30, 155–160. [Google Scholar]
- Simon, A.; Collison, A.J.C. Quantifying the mechanical and hydrologic effects of riparian vegetation on streambank stability. Earth Surf. Process. Landf. 2002, 27, 527–546. [Google Scholar] [CrossRef]
- Ni, J.J.; Leung, A.K.; Ng, C.W.W.; Shao, W. Modelling hydro-mechanical reinforcements of plants to slope stability. Comput. Geotech. 2018, 95, 99–109. [Google Scholar] [CrossRef]
- Ng, C.W.W.; Leung, A.; Ni, J. Plant–Soil Slope Interaction; CRC Press: Boca Raton, FL, USA, 2019. [Google Scholar] [CrossRef]
- GEO-SLOPE International Ltd. Seepage Modeling with SEEP/W 2007; Geo-Slope International Ltd.: Calgary, AB, Canada, 2010. [Google Scholar]
- Fredlund, D.G.; Rahardjo, H. Soil Mechanics for Unsaturated Soils; Wiley: Hoboken, NJ, USA, 1993. [Google Scholar]
- Liu, J.; Zen, L.; Fu, H.Y.; Shi, Z.N.; Zhang, Y.J. Variation law of rainfall infiltration depth and saturation zone of soil slope. J. Cent. South Univ. (Sci. Technol.) 2019, 50, 452–459. [Google Scholar]
- Tang, D.; Li, D.Q.; Zhou, C.B.; Phoon, K.-K. Slope stability analysis considering antecedent rainfall process. Rock Soil Mech. 2013, 34, 3239–3248. [Google Scholar]
- Jiang, Q.Q.; Jiao, Y.Y.; Song, L.; Wang, H.; Xie, B.T. Experimental study on reservoir landslide under rainfall and water-level fluctuation. Rock Soil Mech. 2019, 40, 4361–4370. [Google Scholar]















| Soil Type | SWCCs Parameters | Permeability Coefficient | ||||
|---|---|---|---|---|---|---|
| a (kPa) | m | n | θ (%) | kx (m/s) | kx (m/d) | |
| Sand | 10 | 1 | 1 | 45 | 10−4 | 8.64 |
| Clay | 100 | 1 | 1 | 45 | 10−6 | 0.0864 |
| Soil Type | Unit Weight (kN·m−3) | Poisson’s Ratio | Elastic Modulus (GPa) | Cohesion (kPa) | Internal Friction Angle (°) |
|---|---|---|---|---|---|
| Sand | 21.8 | 0.18 | 1.26 | 11.2 | 31.2 |
| Clay | 16.3 | 0.35 | 0.02 | 15.6 | 28.8 |
| Reservoir Water Drawdown Rate (m/s) | Soil Type | kx (m/s) | kr | α (°) |
|---|---|---|---|---|
| 1.2 | Sand | 10−4 | ||
| Clay | 10−6 |
| Analysis Content | Only Considering kr | Considering both kr and α | |
|---|---|---|---|
| ILHE | Sandy slope | 6.51% | 35.53% |
| Clay slope | 4.7% | 9.94% | |
| MHD (Slope toe) | Sandy slope | 6.9% | 45.0% |
| Clay slope | 21.4% | 32.0% | |
| MSF | Sandy slope | 2.72% | 11.58% |
| Clay slope | 9.29% | 12.31% | |
© 2020 by the authors. Licensee MDPI, Basel, Switzerland. This article is an open access article distributed under the terms and conditions of the Creative Commons Attribution (CC BY) license (http://creativecommons.org/licenses/by/4.0/).
Share and Cite
Yu, S.; Ren, X.; Zhang, J.; Wang, H.; Wang, J.; Zhu, W. Seepage, Deformation, and Stability Analysis of Sandy and Clay Slopes with Different Permeability Anisotropy Characteristics Affected by Reservoir Water Level Fluctuations. Water 2020, 12, 201. https://doi.org/10.3390/w12010201
Yu S, Ren X, Zhang J, Wang H, Wang J, Zhu W. Seepage, Deformation, and Stability Analysis of Sandy and Clay Slopes with Different Permeability Anisotropy Characteristics Affected by Reservoir Water Level Fluctuations. Water. 2020; 12(1):201. https://doi.org/10.3390/w12010201
Chicago/Turabian StyleYu, Shuyang, Xuhua Ren, Jixun Zhang, Haijun Wang, Junlei Wang, and Wenwei Zhu. 2020. "Seepage, Deformation, and Stability Analysis of Sandy and Clay Slopes with Different Permeability Anisotropy Characteristics Affected by Reservoir Water Level Fluctuations" Water 12, no. 1: 201. https://doi.org/10.3390/w12010201
APA StyleYu, S., Ren, X., Zhang, J., Wang, H., Wang, J., & Zhu, W. (2020). Seepage, Deformation, and Stability Analysis of Sandy and Clay Slopes with Different Permeability Anisotropy Characteristics Affected by Reservoir Water Level Fluctuations. Water, 12(1), 201. https://doi.org/10.3390/w12010201

