Climate Change and Intense Irrigation Growth in Western Bahia, Brazil: The Urgent Need for Hydroclimatic Monitoring
Abstract
:1. Introduction
2. Data and Methods
2.1. Precipitation and River Flow Data
2.2. Statistical Tests
2.3. Irrigated Area
2.4. Calculations of Regional Water Demand for Irrigation
3. Results
3.1. Changes in Precipitation
3.2. Changes in River Flow
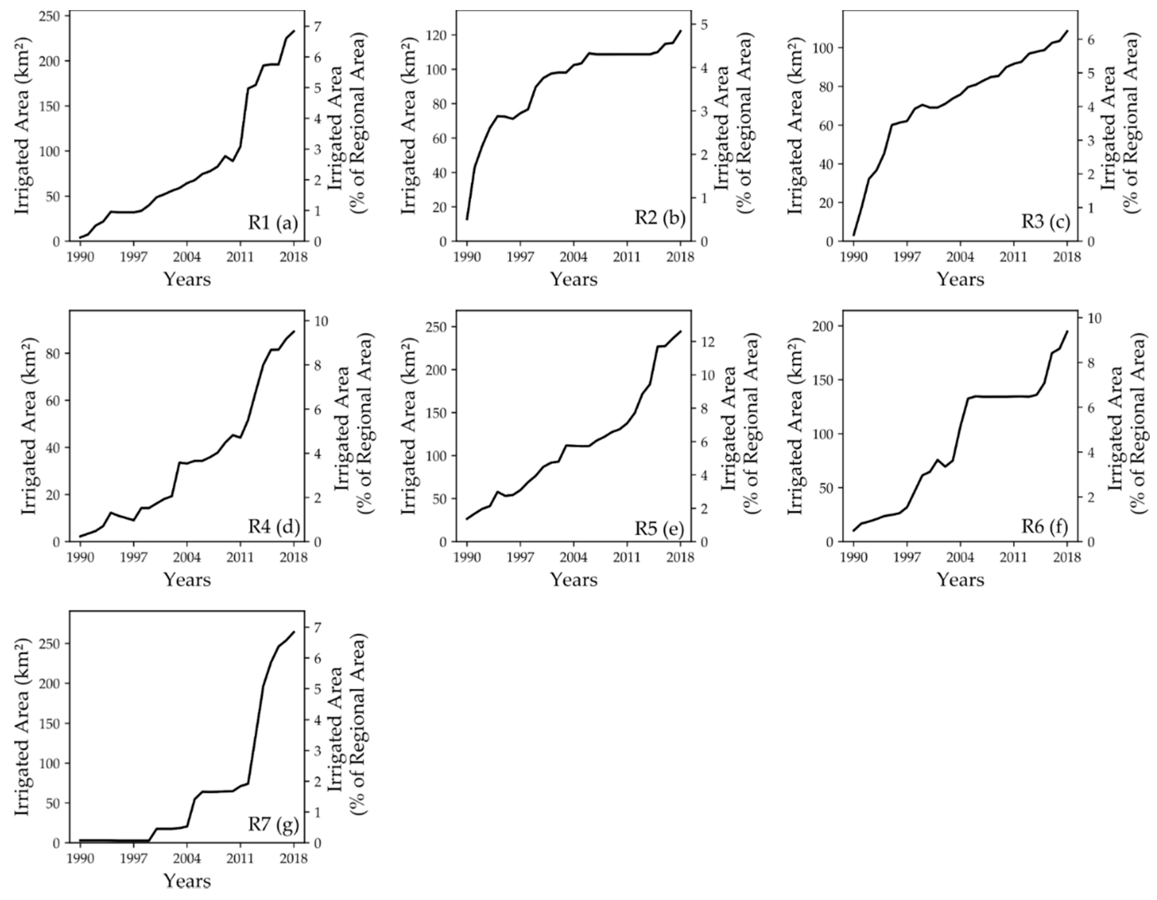
3.3. Trends in Irrigated Area and Water Uptake on the River Flows
4. Discussion and Conclusions
4.1. Climate Change and Intense Iirrigation Growth: Increasing Water Stress
4.2. Avoid Irrigation during the Low Flow Period
4.3. Halt the Installation of New Irrigation Systems
4.4. Bet on A Return to Wet Conditions
4.5. Invest in A Hydroclimatic Monitoring System
4.6. Final Remarks
Author Contributions
Funding
Conflicts of Interest
References
- Yoffe, S.; Fiske, G.; Giordano, M.; Giordano, M.; Larson, K.; Stahl, K.; Wolf, T. Geography of international water conflict and cooperation: Data sets and applications. Water Resour. Res. 2004, 40, 1–12. [Google Scholar] [CrossRef]
- Batistela, M.; Valladares, G.S. Farming expansion and land degradation in Western Bahia, Brazil. Biota Neotrop. 2009, 9, 61–76. [Google Scholar] [CrossRef]
- AIBA (Associação de Agricultores e Irrigantes da Bahia). Anuário Agropecuário Oeste da Bahia—Safra 2015/2016. Available online: http://aiba.org.br/wp-content/uploads/2018/06/anuario-16-17.pdf (accessed on 15 July 2018).
- ANA (Agência Nacional de Águas). Atlas de Irrigação—Uso da Água na Agricultura. 2017. Available online: http://arquivos.ana.gov.br/imprensa/publicacoes/AtlasIrrigacao-UsodaAguanaAgriculturaIrrigada.pdf (accessed on 17 December 2018).
- ANA (Agência Nacional de Águas). Estudos hidrogeológicos na Bacia Hidrográfica do São Francisco—Sistema Aquífero Urucuia/Areado e Sistema Aquífero Bambuí. Comitê Bacia Hidrográfica do São Francisco. 2013. Available online: http://cbhsaofrancisco.org.br (accessed on 11 November 2018).
- Web Map EPE—Sistema de Informações Geográficas do Setor Energético Brasileiro. Available online: https://gisepeprd.epe.gov.br/webmapepe/# (accessed on 17 April 2019).
- Ministério do Desenvolvimento, Indústria e Comércio Exterior. Panorama Agroeconômico do Oeste da Bahia e Safra 2016/17. Available online: http://www.mdic.gov.br/images/REPOSITORIO/czpe/Eventos/ZPE_Agroneg%C3%B3cio/Panorama_do_agroneg%C3%B3cio_baiano_Aiba__Celestino_Zanella.pdf (accessed on 17 December 2018).
- Almeida, W.A.; Moreira, M.C. Análise das outorgas da bacia do Rio Grande, Estado da Bahia. In Proceedings of the XLII Congresso Brasileiro de Engenharia Agrícola—CONBEA 2013, Campo Grande, Brazil, 27–31 July 2014. [Google Scholar]
- Deliberação CBHRC 01/2015. Available online: https://www.conjur.com.br/dl/deliberacao-comite-bacia-corrente.pdf (accessed on 17 April 2019).
- G1. Grupo invade fazendas e incendeia galpão em protesto no Oeste da Bahia. Available online: https://g1.globo.com/bahia/noticia/grupo-invade-fazendas-e-incendeia-galpao-em-protesto-no-oeste-da-bahia.ghtml (accessed on 17 April 2019).
- Correio 24 horas. Guerra pela água em Correntina se arrasta desde 2015. Available online: https://www.correio24horas.com.br/noticia/nid/guerra-pela-agua-em-correntina-se-arrasta-desde-2015/ (accessed on 17 April 2019).
- Xavier, A.C.; King, C.W.; Scanlon, B.R. Daily gridded meteorological variables in Brazil (1980–2013). Int. J. Climatol. 2016, 36, 2644–2659. [Google Scholar] [CrossRef]
- Data Gridded Meteorological Data from 1980–2013 (and updated precipitation through 2015). Available online: http://careyking.com/data-downloads/ (accessed on 10 November 2018).
- Pfafstetter, O. Classificação de Bacias Hidrográficas; Departamento Nacional de Obras de Saneamento: Rio de Janeiro, Brazil, 1989. [Google Scholar]
- Verdin, K.L.; Verdin, J.P. A topological system for delineation and codification of the Earth’s river basins. J. Hydrol. 1999, 218, 1–12. [Google Scholar] [CrossRef]
- Pettitt, A.N. A non-parametric approach to the change-point problem. Appl. Stat. 1979, 2, 126–135. [Google Scholar] [CrossRef]
- Verstraeten, G.; Poesen, J.; Demarée, G.; Salles, C. Long-term (105 years) variability in rain erosivity as derived from 10-min rainfall depth data for Ukkel (Brussels, Belgium): Implications for assessing soil erosion rates. J. Geophys. Res. 2006, 111, 1–11. [Google Scholar] [CrossRef]
- Rybski, D.; Bunde, A.; Havlin, S.; von Stoch, H. Long-term persistence in climate and the detection problem. Geophys. Res. Lett. 2006, 33, 1–4. [Google Scholar] [CrossRef]
- Mitchell, J.M., Jr.; Dzerdzeevskii, B.; Flohn, H.; Hofmeyr, W.L.; Lamb, H.H.; Rao, K.N.; Wallén, C.C. Climatic Change; WMO Technical Note No. 79; World Meteorological Organization: Geneva, Switzerland, 1966. [Google Scholar]
- Landau, E.C.; Guimarães, D.P.; Souza, D.L. Concentração de áreas irrigadas por pivôs no Oeste da Bahia. In Proceedings of the Anais do Simpósio Regional de Geoprocessamento e Sensoriamento Remoto—GEONORDESTE 2014, Aracajú, Brazil, 18–21 November 2014. [Google Scholar]
- Marengo, J.A.; Torres, R.R.; Alves, L.M. Drought in Northeast Brazil—Past, Present, and Future. Theor. Appl. Climatol. 2017, 129, 1189–1200. [Google Scholar] [CrossRef]
- Kane, R.P. Prediction of Droughts in North-East Brazil: Role of ENSO and Use of Periodicities. Int. J. Climatol. 1997, 17, 655–665. [Google Scholar] [CrossRef]
- Ambrizzi, T.; Souza, E.B.; Pulwarty, R.S. The Hadley and Walker Regional Circulations and Associated ENSO Impacts on the South American Seasonal Rainfall. In The Hadley Circulation: Present, Past and Future; Diaz, H.F., Bradley, R.S., Eds.; Kluwer Academic: Dordrecht, The Netherlands, 2004; Volume 21, pp. 203–235. [Google Scholar]
- Marques, E.A.G.; Silva Júnior, G.C.; Illambwetsi, A.M.; Eger, G.Z.S.; Pousa, R.; Generoso, T.N.; Oliveira, J. Analysis of Groundwater Table and River Stage Fluctuations and their Relation to Rainfall and Water Use on Alto Grande Watershed, Northeastern Brazil. Unpublished work. 2018. [Google Scholar]
- Bayazit, M. Nonstationary of hydrological records and recent trends in trend analysis: A state-of-the-art review. Environ. Process. 2015, 2, 247–542. [Google Scholar]
- Serinaldi, F.; Kilsby, C.G. Stationarity is undead: Uncertainty dominates the distribution of extremes. Adv. Water Res. 2005, 77, 17–36. [Google Scholar] [CrossRef]
- Ministério de Minas e Energia. Empresa de Pesquisa Energética, Brazilian Energy Balance. Available online: http://epe.gov.br/en/publications/publications/brazilian-energy-balance (accessed on 17 April 2019).
- Oliveira, J.R.S.; Ribeiro, R.B.; Sousa, J.R.C.; Serrano, L.O.; Ramos, M.C.A.R.; Generoso, T.N.; Pruski, F.F. Hydrological Information System to quantify water availability (SIHBA). Unpublished work. 2019. [Google Scholar]
- Pruski, F.F.; Rodriguez, R.D.G.; Nunes, A.A.; Pruski, P.L.; Singh, V.P. Low-flow estimates in regions of extrapolation of the regionalization equations: A new concept. Eng. Agríc. 2015, 35, 808–816. [Google Scholar] [CrossRef]
- Richards, P.; Pellegrina, H.; VanWey, L.; Spera, S. Soybean development: The impact of a decade of agricultural change on urban and economic growth in Mato Grosso, Brazil. PLoS ONE 2015, 10, e0122510. [Google Scholar] [CrossRef] [PubMed]
- Kirtman, B.; Power, S.B.; Adedoyin, J.A.; Boer, G.J.; Bojariu, R.; Camilloni, I.; Doblas-Reyes, F.J.; Fiore, A.M.; Kimoto, M.; Meehl, G.A.; et al. Near-term Climate Change: Projections and Predictability. In Climate Change 2013: The Physical Science Basis. Contribution of Working Group I to the Fifth Assessment Report of the Intergovernmental Panel on Climate Change; Stocker, T.F., Qin, D., Plattner, G.-K., Tignor, M., Allen, S.K., Boschung, J., Nauels, A., Xia, Y., Bex, V., Midgley, P.M., Eds.; Cambridge University Press: Cambridge, UK; New York, NY, USA, 2013; pp. 953–1028. [Google Scholar]
- Magrin, G.O.; Marengo, J.A.; Boulanger, J.-P.; Buckeridge, M.S.; Castellanos, E.; Poveda, G.; Scarano, F.R.; Vicuña, S. Central and South America. In Climate Change 2014: Impacts, Adaptation, and Vulnerability. Part B: Regional Aspects. Contribution of Working Group II to the Fifth Assessment Report of the Intergovernmental Panel on Climate Change; Barros, V.R., Field, C.B., Dokken, D.J., Mastrandrea, M.D., Mach, K.J., Bilir, T.E., Chatterjee, M., Ebi, K.L., Estrada, Y.O., Genova, R.C., et al., Eds.; Cambridge University Press: Cambridge, UK; New York, NY, USA, 2014; pp. 1499–1566. [Google Scholar]
- United Nations Educational, Scientific and Cultural Organization (UNESCO); World Water Assessment Programme. Water, a Shared Responsibility; The United Nations World Water Report 2; Berghahn Books: Paris, France; New York, NY, USA, 2006; pp. 43–86. [Google Scholar]
- Rogers, P.; Hall, A.W. Effective Water Governance; Global Water Partnership Technical Committee Background Papers No. 7; Global Water Partnership: Stockholm, Sweden, 2003. [Google Scholar]











| ANA Station Code | River | Station Name | Municipality | Drainage Area (km2) | Station Coordinates | |
|---|---|---|---|---|---|---|
| A | 46543000 | Rio de Ondas | Fazenda Redenção | Barreiras | 5383.758 | 12°08′ S, 45°06′ W |
| B | 46570000 | Rio de Janeiro | Ponte Serafim | Barreiras | 2522.118 | 11°54′ S, 45°36′ W |
| C | 46415000 | Rio Grande | Sítio Grande | São Desidério | 4943.866 | 12°25′ S, 45°05′ W |
| D | 45840000 | Rio Formoso | Gatos | Jaborandi | 7132.696 | 13°42′ S, 44°38′ W |
| E | 45910001 | Rio Corrente | Santa Maria da Vitória | Santana | 29,643.660 | 13°24′ S, 44°12′ W |
| F | 46790000 | Rio Preto | Formosa do Rio Preto | Formosa do Rio Preto | 14,326.870 | 11°03′ S, 45°12′ W |
| Region (Ri) | ANA Ottobasin Code | River | Total Area (km2) | Irrigated Area in 2018 | |||
|---|---|---|---|---|---|---|---|
| Ottobasin | Region | Ottobasin (km2) | Region (km2) | % of Total Area | |||
| R1 | 76243 | Rio Branco | 3403.5 | 232.9 | 232.9 | 6.8% | |
| R2 | 46570000 * | Rio de Janeiro | 2522.1 | 122.2 | 4.8% | ||
| R3 | 762641 | Rio Cabeceira de Pedras | 1739.6 | 108.6 | 6.2% | ||
| R4 | 762691 | Rio Borá | 938.3 | 89.2 | 9.5% | ||
| R5 | 7626711 | Rio de Ondas | 778.64 | 1939.2 | 121.1 | 244.2 | 12.6% |
| 762661 | Rio de Ondas mouth | 222.33 | 33.9 | ||||
| 762691 | Rio Borá (upstream) | 938.3 | |||||
| R6 | 762891 | Rio Grande | 197.10 | 2075.2 | 42.0 | 194.7 | 9.4% |
| 76489 | Rio Guará | 295.04 | 11.1 | ||||
| 762871 | Rio Grande | 361.45 | 42.1 | ||||
| 76285 | Rio Grande | 789.94 | 37.2 | ||||
| 76282 | Vereda Passaginha | 431.66 | 62.3 | ||||
| R7 | 764271 | Rio Pratudão | 662.35 | 3865.0 | 14.3 | 264.2 | 6.8% |
| 76426 | Riacho do Váu | 702.94 | 115.0 | ||||
| 764241 | Rio Formoso | 2499.73 | 134.9 | ||||
© 2019 by the authors. Licensee MDPI, Basel, Switzerland. This article is an open access article distributed under the terms and conditions of the Creative Commons Attribution (CC BY) license (http://creativecommons.org/licenses/by/4.0/).
Share and Cite
Pousa, R.; Costa, M.H.; Pimenta, F.M.; Fontes, V.C.; Brito, V.F.A.d.; Castro, M. Climate Change and Intense Irrigation Growth in Western Bahia, Brazil: The Urgent Need for Hydroclimatic Monitoring. Water 2019, 11, 933. https://doi.org/10.3390/w11050933
Pousa R, Costa MH, Pimenta FM, Fontes VC, Brito VFAd, Castro M. Climate Change and Intense Irrigation Growth in Western Bahia, Brazil: The Urgent Need for Hydroclimatic Monitoring. Water. 2019; 11(5):933. https://doi.org/10.3390/w11050933
Chicago/Turabian StylePousa, Raphael, Marcos Heil Costa, Fernando Martins Pimenta, Vitor Cunha Fontes, Vinícius Fonseca Anício de Brito, and Marina Castro. 2019. "Climate Change and Intense Irrigation Growth in Western Bahia, Brazil: The Urgent Need for Hydroclimatic Monitoring" Water 11, no. 5: 933. https://doi.org/10.3390/w11050933
APA StylePousa, R., Costa, M. H., Pimenta, F. M., Fontes, V. C., Brito, V. F. A. d., & Castro, M. (2019). Climate Change and Intense Irrigation Growth in Western Bahia, Brazil: The Urgent Need for Hydroclimatic Monitoring. Water, 11(5), 933. https://doi.org/10.3390/w11050933

