Multi-Objective Optimal Operation of the Inter-Basin Water Transfer Project Considering the Unknown Shapes of Pareto Fronts
Abstract
1. Introduction
2. Research Area and Data
3. Multi-Objective Optimization Model
3.1. Objective Functions
3.1.1. Water Supply
3.1.2. Ecological Flow Guarantee
3.1.3. Net Power Generation
3.2. Constraints
4. Search Methods
- (1)
- Multi-objective evolutionary algorithm based on Pareto’s solution dominance level. According to the dominance of the solution set, the corresponding population strategy is selected to perform the population selection operation. Representative algorithms include NSGA-II, SPEA2, and PESA-II, etc. [22,23,24,25,26].
- (2)
- (3)
- Multi-objective evolutionary algorithm based on performance indicators. Its idea is selecting individuals with high evaluation level and obtained Pareto solution set by setting evaluation indicators as the environment selection strategy in the process of population evolution. Representative algorithms include GDE-MOEA, IBEA, etc. [30,31].
4.1. AR-MOEA
4.2. Evaluation Index
- (1)
- In theory, the nondominated solution must be an optimal feasible solution, however, due to the constraint problem of the objective setting, the total amount of water transfer may appear greater than, equal to, or less than the planned situation. In the game of water shortage index, ecological water supply and net power generation, the more Pareto solutions that meet the total water demand, the more beneficial to the decision-making of engineering management. Therefore, this paper sets the water supply guarantee rate to calculate the ratio of the number of Pareto solutions that meet the total water transfer requirement to the total number of Pareto solutions. The larger the value, the better.
- (2)
- As the theoretical Pareto fronts are still unknown, the calculation process of the index HV does not require the front surface to be known, and the higher the degree of recognition, the larger the value and the better the convergence and distribution of the Pareto solution. This paper normalizes the three objective values and calculates HV due to the different dimension.
- (3)
- HV is defined as the super volume of the area surrounded by the points in the population P and the points in the reference point set R. The larger the super volume, the better the convergence and distribution of P.
4.3. Parameter Set
- (1)
- The number of solving objectives of the four algorithms is 3, the water pumping flow of Huangjinxia pumping station is the decision variable, the decision variable number is 672, the population size is 2000, the evolutionary algebra is 10,000, and the crossover probability is 0.2, the probability of variation is 0.3, and the distribution index is 30.
- (2)
- The aggregation function in MOEA/D is the Tchebycheff function, the neighborhood range is 200, the neighborhood selection probability is 0.8, and the maximum number of solutions in the child replacement population is 20.
- (3)
- The fitness scale factor in the IBEA is 0.08.
- (4)
- In the performance evaluation, the multi-objective scheduling model established in Section 3 is the fitness function, the number of simulation calculations is 30. The maximum value, the minimum value, the average value, and the standard deviation were used to evaluate the performance of the algorithm.
5. Results and Discussion
5.1. Algorithm Applicability Analysis
- (1)
- Fluctuations: in the calculation process of 30 times, the results of the four algorithms all showed some fluctuations. Among them, the fluctuations of the calculation time, the number of Pareto solutions, and the water supply guarantee rate are relatively small, and the fluctuation of the HV is large. Because evolutionary algorithms are the randomness and initial populations are different, therefore, model is optimized by different starting points and directions.
- (2)
- Evaluation index comparison: among the four algorithms, NSGA-II has the shortest calculation time, followed by AR-MOEA (red solid line), and other algorithms take longer to calculate. AR-MOEA is in a leading position in the number of Pareto solutions and the water supply guarantee, which means the conversion rate and optimization effect of non-dominated solutions in the whole population are relatively the best, followed by NSGA-II and MOEA/D. The HV indexes of the four algorithms vary greatly. The numbers of the HV value of 0 of the AR-MOEA, NSGA-II, MOEA/D, and IBEA were 2, 1, 3, and 2, respectively. It indicates that there is no convergence in this calculation. The reason is that the limit of the number of iterations causes the loop to end, but the overall convergence of the four algorithms is better.
- (1)
- NSGA-II has the smallest average calculation time and the smallest standard deviation, which indicates that the calculation stability is better, and AR-MOEA is second.
- (2)
- Compared with 1000 populations, the number of Pareto solutions of the four algorithms is relatively small. Among them, AR-MOEA has the largest number of Pareto solutions, followed by IBEA, which indicates that the conversion effect of the AR-MOEA is best. The reason is that the nonlinearity and discontinuity of the reservoir operation model will increase the difficulty of obtaining non-dominated solutions.
- (3)
- In the limited Pareto solution, AR-MOEA has the highest water supply guarantee rate, which indicates that in the case of optimizing the ecological objective and the net electricity objective, AR-MOEA obtains the most solutions with multi-year average water transfer equal to or greater than 1.5 billion m3, and the solution effect is better, followed by NSGA-II.
- (4)
- The HV value of AR-MOEA is the largest among the four algorithms, which indicates that the convergence and distribution of the AR-MOEA solution are better, followed by NSGA-II.
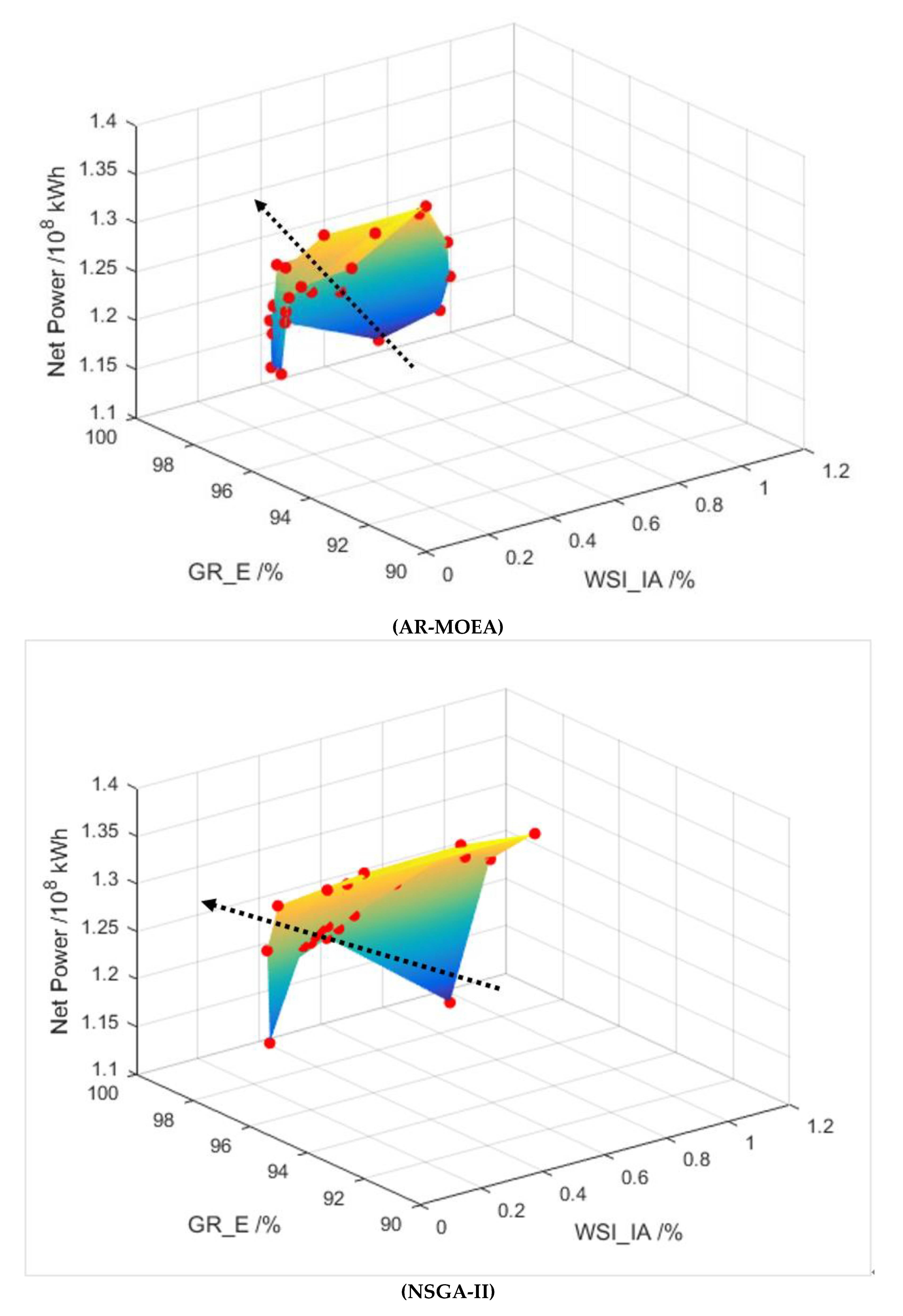
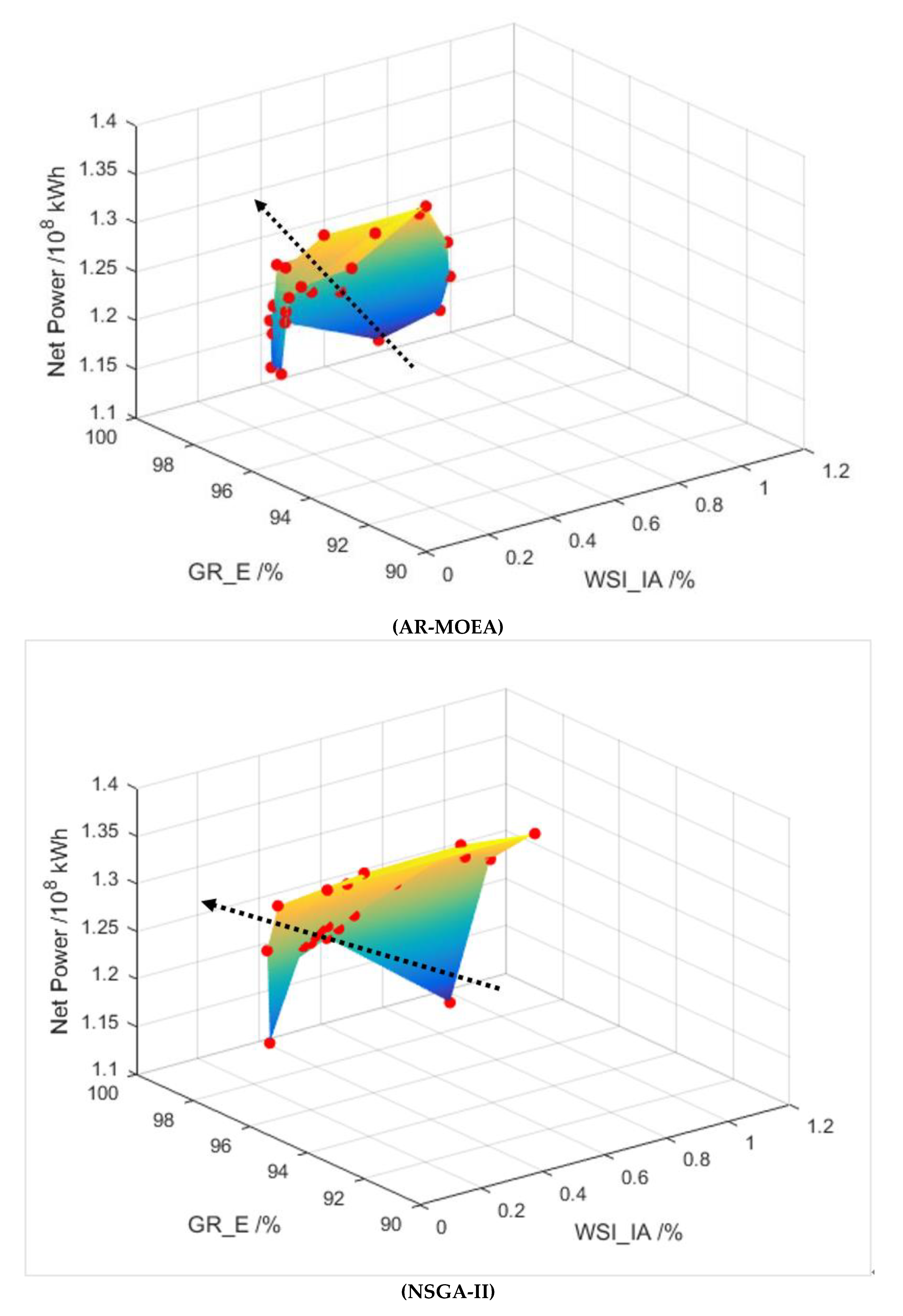
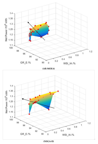
5.2. Multi-Objective Operation Rules
5.3. Coping with the Running Strategy of Continuous Dry Years
- (1)
- Water shortages occurred in the continuous dry years of 1991–2002, which indicated that the stability and continuity of the water supply of the Hanjiang to Wei River Water Diversion Project were destroyed in this situation, and the maximum water shortage occurred in 1995, and the maximum water shortage was 267 million m3. The proportion of water supply indicates that the water supply of Huangjinxia reservoir is the main source for the entire project compared to the water supply of Sanhekou reservoir.
- (2)
- The water shortage showed a trend of increasing first and then decreasing during 1991–2002, the reason being that the storage water in Sanhekou reservoir can be used for water supply in the early stage of a continuous dry year, and as the dry time continues, the water shortage of the whole project is gradually exaggerated, but with the increase of runoff in the later period, the water shortage of the whole project is gradually reduced.
- (1)
- Overall, the water supply during the flood season (July–October) is much larger than the dry season (November–March (next year)) and the normal season (April–June). Further calculations show that the water supply in the flood season, dry season, and normal period accounted for 50%, 16%, and 34% of the total water supply, respectively.
- (2)
- The water supply of Huangjinxia reservoir and Sanhekou reservoir showed significant seasonality. The water supply of the Huangjinxia reservoir is significantly better than the Sanhekou reservoir from June to November, and the water supply of the Sanhekou reservoir is significantly larger than the Huangjinxia reservoir in December to March (next year). The reason is that the regulation ability of the Huangjinxia reservoir and the Sanhekou reservoir are daily regulation ability and multi-year regulation ability, respectively, which means that in the dry season, the former’s water supply can only rely on natural runoff, while the latter can use its own regulation capacity to supply water.
6. Conclusions
- (1)
- The applicability of AR-MOEA was compared to the other methods (NSGA-II, MOEA/D, and IBEA) for an example case from the Hanjiang to Wei River Water Diversion Project, and the results demonstrate that the AR-MOEA can achieve a better comprehensive performance in calculation accuracy, convergence, and distribution.
- (2)
- Multi-objective operation rules based on the Pareto extreme point, the evolutionary direction of the Pareto solution, and the Pareto fronts indicate that the AR-MOEA has better performance and is more capable of searching and screening for non-dominated solutions when the Pareto front surface is unknown.
- (3)
- The water supply in the flood season and the Huangjinxia reservoir are the main water supply factors of the Hanjiang to Wei River Water Diversion Project, but the regulation ability of the Sanhekou reservoir is the key factor to increase the water supply in response to the possible continuous dry years, especially during the dry season.
Author Contributions
Funding
Acknowledgments
Conflicts of Interest
References
- Fu, Z.H.; Zhao, H.J.; Wang, H.; Lu, W.T.; Wang, J.; Guo, H.C. Integrated planning for regional development planning and water resources management under uncertainty: A case study of Xining, China. J. Hydrol. 2017, 554, 623–634. [Google Scholar] [CrossRef]
- Piao, S.; Ciais, P.; Huang, Y.; Shen, Z.; Peng, S.; Li, J. The impacts of climate change on water resources and agriculture in China. Nature 2010, 467, 43–51. [Google Scholar] [CrossRef] [PubMed]
- Guo, Y.; Shen, Y. Quantifying water and energy budgets and the impacts of climatic and human factors in the haihe river basin, china: 2. trends and implications to water resources. J. Hydrol. 2015, 527, 251–261. [Google Scholar] [CrossRef]
- Guo, X.; Hu, T.; Zhang, T.; Lv, Y.B. Bilevel model for multi-reservoir operating policy in inter-basin water transfer-supply project. J. Hydrol. 2012, 424, 252–263. [Google Scholar] [CrossRef]
- Li, Y.; Tang, C.; Wang, C. Assessing and modeling impacts of different inter-basin water transfer routes on Lake Taihu and the Yangtze River, China. Ecol. Eng. 2013, 60, 399–413. [Google Scholar] [CrossRef]
- Jichuan, S.; Michael, W. Using incentives to coordinate responses to a system of payments for watershed services: The middle route of south–north water transfer project, china. Ecosyst. Serv. 2018, 32, 1–8. [Google Scholar]
- Wu, L.; Bai, T.; Huang, Q.; Wei, J.; Liu, X. Multi-Objective Optimal Operations Based on Improved NSGA-II for Hanjiang to Wei River Water Diversion Project, China. Water 2019, 11, 1159. [Google Scholar] [CrossRef]
- Zhou, Y.L.; Guo, S.L.; Hong, X.J.; Chang, F.J. Systematic impact assessment on inter-basin water transfer projects of the Hanjiang River Basin in China. J. Hydrol. 2017, 553, 584–595. [Google Scholar] [CrossRef]
- Zenng, X.; Hu, T.S.; Guo, X.N.; Li, X.J. Triggering mechanism for inter-basin water transfer-supply in multi-reservoir system. J. Hydraul. Eng. 2017, 44, 253–261. [Google Scholar]
- Guo, X.N.; Lei, X.H.; Li, Y.L.; Li, J.Q. Study on coupling of optimal water transfer and supply process for inter-basin water-transfer multi-reservoir system. J. Hydraul. Eng. 2016, 47, 949–958. [Google Scholar]
- Wan, F.; Zhou, J.; Yuan, W.L. Scheduling rules of multi-reservoir optimal operation in large-scale inter-basin water supply reservoirs. Adv. Water Sci. 2016, 27, 448–457. [Google Scholar]
- Coello, A. An Updated Survey of Evolutionary Multiobjective Optimization Techniques: State of the Art and Future Trends. In Proceedings of the 1999 Congress on Evolutionary Computation-CEC99 (Cat. No. 99TH8406), Washington, DC, USA, 6–9 July 1999. [Google Scholar]
- Reddy, M.J.; Nagesh, K.D. Multi-objective particle swarm optimization for generating optimal trade-offs in reservoir operation. Hydrol. Process. 2007, 21, 2897–2909. [Google Scholar] [CrossRef]
- Yu, Y.; Wang, C.; Wang, P.; Hou, J.; Qian, J. Assessment of multi-objective reservoir operation in the middle and lower yangtze river based on a flow regime influenced by the three gorges project. Ecol. Inform. 2017, 38, 115–125. [Google Scholar] [CrossRef]
- Uen, T.S.; Chang, F.J.; Zhou, Y.L.; Tsai, W.P. Exploring synergistic benefits of Water-Food-Energy Nexus through multi-objective reservoir optimization schemes. Sci. Total Environ. 2018, 633, 341–351. [Google Scholar] [CrossRef]
- Niu, W.J.; Feng, Z.K.; Cheng, C.T.; Wu, X.Y. A parallel multi-objective particle swarm optimization for cascade hydropower reservoir operation in southwest China. Appl. Soft Comput. 2018, 70, 562–575. [Google Scholar] [CrossRef]
- Qi, Y.; Bao, L.; Ma, X.; Miao, Q.; Li, X. Self-adaptive multi-objective evolutionary algorithm based on decomposition for large-scale problems: A case study on reservoir flood control operation. Inf. Sci. 2016, 367–368, 529–549. [Google Scholar] [CrossRef]
- Bai, T.; Wei, J.; Chang, J.; Yang, W.; Huang, Q. Optimize multi-objective transformation rules of water-sediment regulation for cascade reservoirs in the Upper Yellow River of China. J. Hydrol. 2019, 577, 123–134. [Google Scholar] [CrossRef]
- Ishibuchi, H.; Setoguchi, Y.; Masuda, H. Performance of Decomposition-Based Many-Objective Algorithms Strongly Depends on Pareto Front Shapes. IEEE Trans. Evol. Comput. 2017, 21, 169–190. [Google Scholar] [CrossRef]
- Tian, Y.; Cheng, R.; Zhang, X. An Indicator-Based Multiobjective Evolutionary Algorithm with Reference Point Adaptation for Better Versatility. IEEE Trans. Evol. Comput. 2018, 22, 609–622. [Google Scholar] [CrossRef]
- Zhou, Y.; Guo, S. Incorporating ecological requirement into multipurpose reservoir operating rule curves for adaptation to climate change. J. Hydrol. 2013, 498, 153–164. [Google Scholar] [CrossRef]
- Zhou, Y.; Chang, L.C.; Uen, T.S.; Guo, S.; Xu, C.Y.; Chang, F.J. Prospect for small hydropower installation settled upon optimal water allocation: An action to stimulate synergies of water-food-energy nexus. Appl. Energy 2019, 238, 668–682. [Google Scholar] [CrossRef]
- Deb, K.; Pratap, A.; Agarwal, S. A fast and elitist multiobjective genetic algorithm: NSGA-II. IEEE Trans. Evol. Comput. 2002, 6, 182–197. [Google Scholar] [CrossRef]
- Arunkumar, R.; Jothiprakash, V. Optimal crop plans for a multi-reservoir system having intra-basin water transfer using multi-objective evolutionary algorithms coupled with chaos. Comput. Electron. Agric. 2017, 140, 34–47. [Google Scholar] [CrossRef]
- Gadhvi, B.; Savsani, V.; Patel, V. Multi-objective optimization of vehicle passive suspension system using NSGA-II, SPEA2 and PESA-II. Procedia Technol. 2016, 23, 361–368. [Google Scholar] [CrossRef]
- Zhou, Y.; Guo, S.; Chang, F.J.; Pan, L.; Chen, A.B. Methodology that improves water utilization and hydropower generation without increasing flood risk in mega cascade reservoirs. Energy 2018, 143, 85–796. [Google Scholar] [CrossRef]
- Zhang, Q.; Hui, L. MOEA/D: A Multio-bjective Evolutionary Algorithm Based on Decomposition. IEEE Trans. Evol. Comput. 2007, 11, 712–731. [Google Scholar] [CrossRef]
- Qi, Y.; Yu, J.; Li, X.; Wei, Y.; Miao, Q. Reservoir flood control operation using multi-objective evolutionary algorithm with decomposition and preferences. Appl. Soft Comput. 2017, 50, 21–33. [Google Scholar] [CrossRef]
- Zhang, J.; Tang, Q.; Li, P.; Deng, D.; Chen, Y. A modified MOEA/D approach to the solution of multi-objective optimal power flow problem. Appl. Soft Comput. 2016, 7, 494–514. [Google Scholar] [CrossRef]
- Zitzler, E.; Künzli, S. Indicator-Based Selection in Multi-Objective Search; Springer: Heidelberg/Berlin, Germany, 2004; pp. 832–842. [Google Scholar]
- Strickler, A.; Castro, O.; Pozo, A.; Santana, R. An investigation of the selection strategies impact on moedas: Cma-es and umda. Appl. Soft Comput. 2017, 62, 963–973. [Google Scholar] [CrossRef]
- Knowles, J.D.; Corne, D. Properties of an adaptive archiving algorithm for storing non-dominated vectors. IEEE Trans. Evol. Comput. 2003, 7, 100–116. [Google Scholar] [CrossRef]








| Characteristic Parameters | Huangjinxia | Sanhekou |
|---|---|---|
| Regulation ability | Daily | Multi-year |
| Total storage (108 m3) | 2.29 | 7.1 |
| Regulating storage (108 m3) | 0.92 | 6.49 |
| Normal water level (m) | 450 | 643 |
| Water level for flood control (m) | 482 | 644 |
| Dead water level (m) | 440 | 558 |
| Installed capacity (MW) | 135 | 64 |
| Firm capacity (MW) | 8.6 | - |
| Pump station installed capacity (MW) | 135 | 24 |
| Pumping station pumping flow (m3/s) | 70 | 18 |
| Ecological flow (m3/s) | 25 | 2.71 |
| Algorithm | Time (s) | Number of Pareto Solutions | ||||||
| Maximum value | Minimum value | Average value | Standard deviation | Maximum value | Minimum value | Average value | Standard deviation | |
| AR-MOEA | 79.47 | 65.09 | 72.62 | 4.37 | 63 | 42 | 52.63 | 7.40 |
| NSGA-II | 74.31 | 62.25 | 68.20 | 4.03 | 61 | 33 | 43.73 | 8.38 |
| MOEA/D | 87.25 | 71.48 | 79.43 | 4.97 | 56 | 27 | 40.77 | 9.10 |
| IBEA | 86.11 | 70.44 | 77.76 | 5.40 | 54 | 25 | 39.63 | 9.45 |
| Algorithm | Water Supply Guarantee Rate | HV | ||||||
| Maximum value | Minimum value | Average value | Standard deviation | Maximum value | Minimum value | Average value | Standard deviation | |
| AR-MOEA | 89.95% | 60.11% | 76.84% | 0.10 | 0.99 | 0 | 0.52 | 0.31 |
| NSGA-II | 81.07% | 54.27% | 67.62% | 0.08 | 0.96 | 0 | 0.45 | 0.30 |
| MOEA/D | 74.54% | 46.98% | 61.57% | 0.09 | 0.89 | 0 | 0.39 | 0.27 |
| IBEA | 71.82% | 42.26% | 57.17% | 0.09 | 0.85 | 0 | 0.40 | 0.28 |
| Algorithm | AR-MOEA | NSGA-II | ||||||
| WSI_IA | GR_E | P_net | Water Transfer (108 m3) | WSI_IA | GR_E | P_net | Water Transfer (108 m3) | |
| WSI_IA (Min) | 0.008% | 94.799% | 1.294 | 15.010 | 0.000% | 95.394% | 1.293 | 15.014 |
| GR_E (Max) | 0.429% | 96.285% | 1.193 | 14.931 | 0.662% | 96.137% | 1.170 | 14.902 |
| P_net (Max) | 0.428% | 94.651% | 1.353 | 14.925 | 0.787% | 94.502% | 1.359 | 14.837 |
| Algorithm | MOEA/D | IBEA | ||||||
| WSI_IA | GR_E | P_net | Water Transfer (108 m3) | WSI_IA | GR_E | P_net | Water Transfer (108 m3) | |
| WSI_IA (Min) | 0.004% | 95.394% | 1.296 | 15.012 | 0.002% | 95.988% | 1.261 | 15.013 |
| GR_E (Max) | 0.204% | 96.137% | 1.238 | 14.963 | 0.518% | 96.285% | 1.249 | 14.933 |
| P_net (Max) | 0.132% | 95.097% | 1.348 | 14.986 | 0.518% | 94.502% | 1.357 | 14.936 |
© 2019 by the authors. Licensee MDPI, Basel, Switzerland. This article is an open access article distributed under the terms and conditions of the Creative Commons Attribution (CC BY) license (http://creativecommons.org/licenses/by/4.0/).
Share and Cite
Xu, J.; Bai, D. Multi-Objective Optimal Operation of the Inter-Basin Water Transfer Project Considering the Unknown Shapes of Pareto Fronts. Water 2019, 11, 2644. https://doi.org/10.3390/w11122644
Xu J, Bai D. Multi-Objective Optimal Operation of the Inter-Basin Water Transfer Project Considering the Unknown Shapes of Pareto Fronts. Water. 2019; 11(12):2644. https://doi.org/10.3390/w11122644
Chicago/Turabian StyleXu, Jianjian, and Dan Bai. 2019. "Multi-Objective Optimal Operation of the Inter-Basin Water Transfer Project Considering the Unknown Shapes of Pareto Fronts" Water 11, no. 12: 2644. https://doi.org/10.3390/w11122644
APA StyleXu, J., & Bai, D. (2019). Multi-Objective Optimal Operation of the Inter-Basin Water Transfer Project Considering the Unknown Shapes of Pareto Fronts. Water, 11(12), 2644. https://doi.org/10.3390/w11122644
