A Review of Demand Models for Water Systems in Buildings including a Bayesian Approach
Abstract
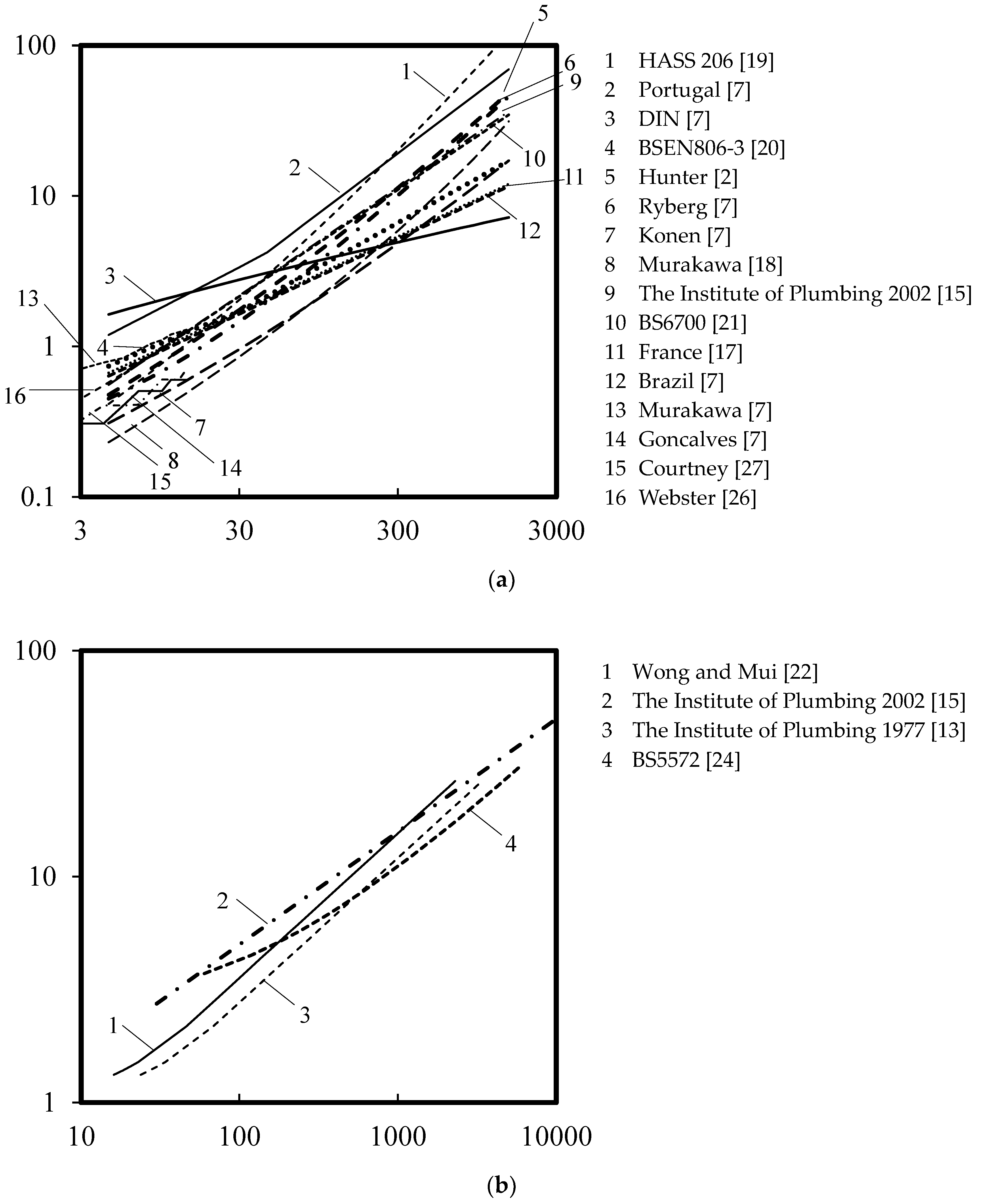
1. Introduction
2. Classification of Demand Models for Water Systems in Buildings—Deterministic, Probabilistic, and Simulation Approaches
2.1. Deterministic Approach
2.2. Probabilistic Approach
2.3. Deterministic Model Simplification
2.4. Simulation and Time Series Approach
3. Bayesian Approach
3.1. Measurement Data
3.2. Bayesian Coefficient
4. Demand Sizing, Energy Loss Minimization, and Cost Implications
5. Discussion
6. Conclusions
Author Contributions
Funding
Conflicts of Interest
Nomenclature
| B( ) | Beta-binomial distribution |
| C | Binomial coefficient |
| D | Pipe diameter |
| i, j | i, j = 1, 2, 3, … as defined |
| k | Constant |
| M | Number of fixtures |
| m, mi | Number of fixtures, number of fixtures of fixture i (given a reference flow rate qf) |
| N | Number of demands |
| N( ) | Normal distribution |
| n | Sample size |
| na | Number of appliances serving a group of users |
| np | Number of T-networks in a tree-shaped network |
| P( ) | Probability |
| p, pi, pj | Probability, probability of operating fixture i, probability of operating fixture group j |
| Q | Flow rate |
| q, qi | Flow rate, flow rate of fixture i |
| qs, qm qf | Design flow rate, measured maximum flow rate Probable maximum demand |
| t | Time |
| U, Ui | Fixture (loading) unit, fixture unit of fixture i |
| u | Uniform random number between 0 and 1 |
| x | Dummy variable as defined |
| X, Y | Dummy variable as defined |
| Greek | |
| Γ( ) | Gamma function |
| α | Bayesian constant (fractional flow rate of design value) |
| β | Ratio of measured to predicted standard deviations |
| ε | Error |
| λ | Failure rate |
| ϕ | Optimal pipe diameter ratio |
| γ | Arrival rate |
| η | Cost |
| μ | Mean |
| σ | Variance |
| τ | Time period |
| τ0, τ1, τ2 | Time period of no demand, of a demand, between two consecutive demands |
| Subscripts | |
| 0, 1, 2, … | Of conditions 0, 1, 2, … as defined |
| f | Of reference |
| i, j | Of i, j as defined |
| m | Of measured value |
| max | Of maximum |
| p | Of probability |
| s | Of design condition |
| ∞ | Of target value |
| Superscripts | |
| * | Fractional value |
| ~ | Probability density function |
References
- Wise, A.F.E.; Swaffield, J.A. Water, Sanitary and Waste Services for Buildings, 3rd ed.; Butterworth Heinemann: London, UK, 2002. [Google Scholar]
- Hunter, R.B. Methods of Estimating Loads in Plumbing Systems; Report BMS65; National Bureau of Standards: Washington, DC, USA, 1940.
- Jack, L.; Vaughan, S. Comparison of design methods for water supply pipework: A case study analysis. In Proceedings of the 41st CIBW062 International Symposium of Water Supply and Drainage Systems for Buildings, Beijing, China, 17–20 August 2015. [Google Scholar]
- Ingle, S.; King, D.C.; Southerton, R. Design and sizing of water supply systems using loading units—Time for a change? In Proceedings of the 40th CIBW062 International Symposium of Water Supply and Drainage for Buildings, SaoPaulo, Brazil, 8–10 September 2014. [Google Scholar]
- Mazumdar, A.; Jaman, H.; Das, S. Modification of Hunter’s Curve in the perspective of water conservation. J. Pipeline Syst. Eng. Pract. 2014, 5, 04013007. [Google Scholar] [CrossRef]
- Buchberger, S.; Omaghomi, T.; Wolfe, T.; Hewitt, J.; Cole, D. Peak Water Demand Study—Probability Estimates for Efficient Fixtures in Single and Multi-Family Residential Buildings (Draft Document); International Association of Plumbing Mechanical Officials: Ontario, CA, USA, 2015. [Google Scholar]
- Konen, T.P.; Goncalves, O.M. Summary of mathematical models for the design of water distribution systems with buildings. In Proceedings of the 20th CIBW062 International Symposium of Water Supply and Drainage Systems for Buildings, Porto, Portugal, 20–23 September 1993. [Google Scholar]
- Carson, W. From averages to time series. In Proceedings of the 8th CIBW062 International Symposium of Water Supply and Drainage Systems for Buildings, Paris, France, 27–28 November 1979. [Google Scholar]
- Galowin, L.S. Hunter fixture units development. In Proceedings of the 34th CIBW062 International Symposium of Water Supply and Drainage Systems for Buildings, Hong Kong, China, 8–10 September 2008. [Google Scholar]
- Wong, L.T.; Mui, K.W. Modeling water consumption and flow rates for flushing water systems in high-rise residential buildings in Hong Kong. Build. Environ. 2007, 42, 2024–2034. [Google Scholar] [CrossRef]
- Mui, K.W.; Wong, L.T. A comparison between the fixture unit approach and Monte-Carlo simulation for designing water distribution systems in high-rise buildings. Water SA 2011, 37, 109–114. [Google Scholar]
- Wong, L.T.; Liu, W.Y. Demand analysis for residential water supply systems in Hong Kong. HKIE Trans. 2013, 15, 24–28. [Google Scholar] [CrossRef]
- The Institute of Plumbing. Plumbing Services Design Guide; Hornchurch: Essex, UK, 1977. [Google Scholar]
- The Institute of Plumbing. Plumbing Services Design Guide; Hornchurch: Essex, UK, 1987. [Google Scholar]
- The Institute of Plumbing. Plumbing Services Design Guide; Hornchurch: Essex, UK, 2002. [Google Scholar]
- Malan, G.J. Measurement of the peak rates of water demand for an apartment block and the testing of two types of domestic water meter. In Proceedings of the 11th CIBW062 International Symposium of Water Supply and Drainage Systems for Buildings, Lostorf, Switzerland, 31 August–2 September 1982. [Google Scholar]
- Mambourg, J.P. Calculation and sizing of plumbing networks inside buildings. In Proceedings of the 17th CIBW062 International Symposium of Water Supply and Drainage Systems for Buildings, Gavle, Sweden, 11–13 September 1989. [Google Scholar]
- Murakawa, S. Study on the method for calculating water consumption and water uses in multi-story flats. In Proceedings of the 13th CIBW062 International Symposium of Water Supply and Drainage Systems for Buildings, Tokyo, Japan, 9–10 April 1985. [Google Scholar]
- Murakawa, S. Methods described in ‘HASS206’ and suggestion for calculation of instantaneous maximum flow rate of water in buildings. In Proceedings of the 19th CIBW062 International Symposium of Water Supply and Drainage Systems for Buildings, Washington, DC, USA, 21–24 September 1992. [Google Scholar]
- BS6700—Design, Installation, Testing and Maintenance of Services Supplying Water for Domestic Use within Buildings and Their Curtilages-Specification; British Standards Institution: London, UK, 2006.
- BSEN806-3—Specifications for Installations Inside Buildings Conveying Water for Human Consumption—Part 3: Pipe Sizing-Simplified Method; British Standards Institution: London, UK, 2006.
- Wong, L.T.; Mui, K.W. Determining the domestic drainage loads for high-rise buildings. Archit. Sci. Rev. 2004, 47, 347–354. [Google Scholar] [CrossRef]
- EN12506-2—Gravity Drainage Systems Inside Buildings—Part 2: Sanitary Pipework, Layout and Calculation; European Committee for Standardization: Brussels, Belgium, 2000.
- BS5572—Code of Practice for Sanitary Pipework; British Standards Institution: London, UK, 1994.
- Goncalves, O.M.; Alves da Graca, M.E. Design flow rates in water supply systems in buildings with large sanitary areas—A queuing theory approach. In Proceedings of the 16th CIBW062 International Symposium of Water Supply and Drainage Systems for Buildings, Edinburgh, UK, 12–14 September 1988. [Google Scholar]
- Webster, C.J.D. An investigation of the use of water outlets in multi-storey flats. In Proceedings of the 1st CIBW062 International Symposium of Water Supply and Drainage Systems for Buildings, Herts, UK, 14–26 September 1972; pp. 23–42. [Google Scholar]
- Courtney, R.G. A Monte-Carlo method to the design of domestic water services. In Proceedings of the 1st CIBW062 International Symposium of Water Supply and Drainage Systems for Buildings, Herts, UK, 14–26 September 1972. [Google Scholar]
- Courtney, R.G. A multinomial analysis of water demand. Build. Environ. 1976, 11, 203–209. [Google Scholar] [CrossRef]
- Ilha, M.S.O.; Oliveira, L.H.; Gonçalves, O.M. Design flow rate simulation of cold water supply in residential buildings by means of open probabilistic model. In Proceedings of the 34th CIBW062 International Symposium of Water Supply and Drainage Systems for Buildings, Hong Kong, China, 8–10 September 2008. [Google Scholar]
- Alitchkov, D.K. Implementation of stochastic model for simulation of the flow rates in the water supply and drainage systems for buildings. In Proceedings of the 24th CIBW062 International Symposium of Water Supply and Drainage Systems for Buildings, Rotterdam, The Netherlands, 21–23 September 1998. [Google Scholar]
- Alitchkov, D.K. Statistical method for estimation of peak water demands in water supply systems for buildings. In Proceedings of the 26th CIBW062 International Symposium of Water Supply and Drainage Systems for Buildings, Rio de Janeiro, Brazil, 18–20 September 2000. [Google Scholar]
- Wistort, R.A. A new look at determining water demands in building: ASPE direct analytic method. In Proceedings of the 14th American Society of Plumbing Engineers Convention, Kansas City, MO, USA, 23–26 October 1994; pp. 17–34. [Google Scholar]
- Omaghomi, T.; Buchberger, S. Estimating water demands in buildings. Procedia Eng. 2014, 89, 1013–1022. [Google Scholar] [CrossRef]
- Wong, L.T.; Mui, K.W. Stochastic modelling of water demand by domestic washrooms in residential tower blocks. Water Environ. J. 2008, 22, 125–130. [Google Scholar] [CrossRef]
- Wong, L.T.; Mui, K.W. Drainage demands of domestic washrooms in Hong Kong. Build. Serv. Eng. Res. Technol. 2009, 30, 121–133. [Google Scholar] [CrossRef]
- Holmberg, S. Computer dimensioning of water supply systems with use of continuous field measurements as input data. In Proceedings of the 15th CIBW062 International Symposium of Water Supply and Drainage Systems for Buildings, Sao Paulo, Brazil, 14–16 September 1987. [Google Scholar]
- Mui, K.W.; Wong, L.T. Modelling occurrence and duration of building drainage discharge loads from random and intermittent appliance flushes. Build. Serv. Eng. Res. Technol. 2012, 34, 381–392. [Google Scholar] [CrossRef]
- Holmberg, S. Real time simulation of domestic water requirements. In Proceedings of the 16th CIBW062 International Symposium of Water Supply and Drainage Systems for Buildings, Edinburgh, UK, 12–14 September 1988. [Google Scholar]
- Rathnayaka, K.; Malano, H.; Maheepala, S.; Nawarathna, B.; George, B.; Arora, M. Review of residential urban water end-use modelling. In Proceedings of the 19th International Congress on Modelling and Simulation, Perth, Australia, 12–16 December 2011. [Google Scholar]
- Duncan, H.P.; Mitchell, V.G. A stochastic demand generator for domestic water use. In Proceedings of the Water Down under 2008 Conference, Adelaide, Australia, 14–17 April 2008. [Google Scholar]
- Thyer, M.; Duncan, H.; Coombes, P.; Kuczera, G.; Micevski, T. A probabilistic behavioural approach for the dynamic modelling of indoor household water use. In Proceedings of the 32nd Hydrology and Water Resources Symposium, Newcastle, Australia, 30 November–3 December 2009; pp. 1059–1069. [Google Scholar]
- Blokker, E.J.M.; Pieterse-Quirijns, E.J.; Vreeburg, J.H.G.; van Dijk, J.C. Simulating nonresidential water demand with a stochastic end-use model. J. Water Resour. Plan. Manag. 2011, 137, 511–520. [Google Scholar] [CrossRef]
- Blokker, E.J.M.; Vreeburg, J.H.G.; van Dijk, J.C. Simulating residential water demand with a stochastic end-use model. J. Water Resour. Plan. Manag. 2010, 136, 19–26. [Google Scholar] [CrossRef]
- Wong, L.T.; Mui, K.W.; Zhou, Y. Energy efficiency evaluation for the water supply systems in tall buildings. Build. Serv. Eng. Res. Technol. 2017, 38, 400–407. [Google Scholar] [CrossRef]
- Mui, K.W.; Wong, L.T. Modelling sanitary demands for occupant loads in shopping centres of Hong Kong. Build. Serv. Eng. Res. Technol. 2009, 30, 305–318. [Google Scholar] [CrossRef]
- Oliverira, L.H.; Cheng, L.Y.; Gonçalves, O.M.; Massolino, P.M.C. Application of fuzzy logic to the assessment of design flow rate in water supply system of multifamily building. In Proceedings of the 35th CIBW062 International Symposium of Water Supply and Drainage Systems for Buildings, Dusseldorf, Germany, 7–9 September 2009. [Google Scholar]
- Asano, Y.; Asano, M.; Ichikawa, N. A study on the estimation method of the maximum load of water supply system in an office building by the neural network model. In Proceedings of the 26th CIBW062 International Symposium of Water Supply and Drainage Systems for Buildings, Rio de Janeiro, Brazil, 18–20 September 2000. [Google Scholar]
- Murakawa, S.; Takata, H.; Nishina, D. Development of the calculating method for the loads of water consumption in restaurant. In Proceedings of the 30th CIBW062 International Symposium of Water Supply and Drainage Systems for Buildings, Paris, France, 16–17 September 2004. [Google Scholar]
- Murakawa, S.; Takata, H.; Sakamoto, K. Calculation method for the loads of cold and hot water consumption in office buildings based on the simulation technique. In Proceedings of the 32th CIBW062 International Symposium of Water Supply and Drainage Systems for Buildings, Taipei, Taiwan, 18–20 September 2006. [Google Scholar]
- Pieterse-Quirijns, E.J.; van Loon, A.H.; Beverloo, H.; Blokker, E.J.M.; van der Blom, E.; Vreeburg, J.H.G. Validation of non-residential cold and hot water demand model assumptions. Procedia Eng. 2014, 70, 1334–1343. [Google Scholar] [CrossRef]
- Vrana, J.; Jaron, Z.; Kucharik, M. Peak flow rates measured in residential building. In Proceedings of the 42nd CIBW062 International Symposium of Water Supply and Drainage Systems for Buildings, Kosice, Slovakia, 29 August–1 September 2016. [Google Scholar]
- Pieterse-Quirijns, E.J.; Blokker, E.J.M.; van der Blom, E.; Vreeburg, J.H.G. Non-residential water demand model validated with extensive measurements and surveys. Drink. Water Eng. Sci. 2013, 6, 99–114. [Google Scholar] [CrossRef]
- Blokker, M.; Agudelo-Vera, C.; Moerman, A.; van Thienen, P.; Pieterse-Quirijns, I. Review of applications of SIMDEUM, a stochastic drinking water demand model with small temporal and spatial scale. Drink. Water Eng. Sci. Discuss. 2017, 4, 1–15. [Google Scholar]
- Mui, K.W.; Wong, L.T.; Yeung, M.K. Epistemic demand analysis for fresh water supply of Chinese restaurants. Build. Serv. Eng. Res. Technol. 2008, 29, 183–189. [Google Scholar] [CrossRef]
- Takata, H.; Murakawa, S.; Nishina, D.; Yamane, Y. Development of the calculating method for the loads of cold and hot water consumption in Office Building. In Proceedings of the 30th CIBW062 International Symposium of Water Supply and Drainage Systems for Buildings, Paris, France, 15–17 September 2004. [Google Scholar]
- Murakawa, S.; Sakaue, K.; Koshikawa, Y. A study on the fluctuation of flow rates and calculating method of water demand in apartment houses. In Proceedings of the 17th CIBW062 International Symposium of Water Supply and Drainage Systems for Buildings, Gavle, Sweden, 11–13 September 1989. [Google Scholar]
- Wong, L.T.; Mui, K.W.; Cheung, C.T. Bayesian thermal comfort model. Build. Environ. 2014, 82, 171–179. [Google Scholar] [CrossRef]
- Vick, S.G. Degrees of Belief: Subjective Probability and Engineering Judgment; America Society of Civil Engineers: Reston, VA, USA, 2002. [Google Scholar]
- Mui, K.W.; Wong, L.T.; Hui, K.W. Downtime of in-use water pump installations for high-rise residential buildings. Build. Serv. Eng. Res. Technol. 2012, 33, 181–190. [Google Scholar] [CrossRef]
- Wang, C.W.; Niu, Z.G.; Jia, H.; Zhang, H.W. An assessment model of water pipe condition using Bayesian inference. J. Zhejiang Univ. Sci. A 2010, 11, 495–504. [Google Scholar] [CrossRef]
- Bromley, J.; Jackson, N.A.; Clymer, O.J.; Giacomello, A.M.; Jensen, F.V. The use of Hugin® to develop Bayesian networks as an aid to integrated water resource planning. Environ. Model. Softw. 2005, 20, 231–242. [Google Scholar] [CrossRef]
- Lee, P.M. Bayesian Statistics, 3rd ed.; Hodder Arnold: London, UK, 2004. [Google Scholar]
- Wong, L.T. A cost model for plumbing and drainage systems. Facilities 2002, 20, 386–393. [Google Scholar] [CrossRef]
- Mui, K.W.; Wong, L.T.; Cheung, C.T. Energy loss optimization in basic T-shape water supply piping networks for probabilistic demands. In Proceedings of the 12th International Conference on Probabilistic Safety Assessment and Management (PSAM12), Honolulu, HI, USA, 22–27 June 2014. [Google Scholar]
- Wong, L.T.; Mui, K.W.; Cheung, C.T. Minimum pumping energy of tree-shaped water supply networks for probabilistic demands in built environment. In Proceedings of the ASME 2012 International Mechanical Engineering Congress & Exposition, Houston, TX, USA, 9–15 November 2012. [Google Scholar]











| Applicable Range | k4 ≤ ∑Miqi ≤ 20 L·s−1 | ∑Miqi > 20 L·s−1 | |||||||||
|---|---|---|---|---|---|---|---|---|---|---|---|
| qi for k Value | qi < 0.5 L·s−1 | qi ≥ 0.5 L·s−1 | All qi | ||||||||
| Occupancy | k1 | k2 | k3 | k4 | k1 | k2 | k3 | k4 | k1 | k2 | k3 |
| Residences | −0.14 | 0.682 | 0.45 | 1.0 | −0.70 | 1.7 | 0.210 | 1.0 | −0.70 | 1.7 | 0.21 |
| Offices | −0.14 | 0.682 | 0.45 | 1.0 | −0.70 | 1.7 | 0.210 | 1.0 | 0.48 | 0.4 | 0.54 |
| Hotels | −0.14 | 0.698 | 0.50 | 0.1 | 0 | 1.0 | 0.366 | 1.0 | −1.83 | 1.08 | 0.50 |
| Shopping centres | −0.12 | 0.698 | 0.50 | 0.1 | 0 | 1.0 | 0.366 | 1.0 | −6.64 | 4.3 | 0.27 |
| Hospitals | −0.12 | 0.698 | 0.52 | 0.1 | 0 | 1.0 | 0.366 | 1.0 | 1.25 | 0.25 | 0.65 |
| Schools | −3.41 | 4.400 | 0.27 | 1.5 | −3.41 | 4.4 | 0.270 | 1.5 | 11.5 | −22.5 | −0.50 |
| Reference | k1 | k2 | Correlation Coefficient |
|---|---|---|---|
| [7] | 0.5879 | 0.8683 | 0.9971 |
| [18] | 0.4819 | 0.0033 | 0.9976 |
| [19] | 1.0270 | 1.2266 | 0.9969 |
| [20] | 0.05 | 0.71 | 0.9989 |
| [21]; Miqi ≥ 30 L·s−1 | 0.2283 | 0.5906 | 0.9626 |
| [21]; Miqi < 30 L·s−1 | 0.11− 0.5qmax + 0.53 | −0.36+ 1.66qmax − 1.23 | 0.9989 |
| Reference | qs (L·s−1) | M | k0 | k1 | k2 |
|---|---|---|---|---|---|
| [22] | 0.23 | 70−157 158−6500 | 0.9 0 | 0.0061 0.073 | 1 0.64 |
| [13,14,15] | 0.34 | 70−157 158−6500 | 0.9 0 | 0.0061 0.073 | 1 0.64 |
| [13,14,15,23] | 1 | All | 0 | 0.5 | 0.5 |
| [24] | 0.6 | 100−20,000 | 2.3895 | 0.0622 | 0.6659 |
| Building Type and Location | Sample Size n | Prior Estimated Design Flow Rateqs,0 (L·s−1) | Measured (Maximum) Fraction αm | αn(Reference Design Guide) | ||
|---|---|---|---|---|---|---|
| n∞ = 50 | n∞ = 100 | n∞ = 200 | ||||
| Czech Republic | CSN75-5455 (Czech) | |||||
| Residential | 11 | 1.09–3.79 | 0.483 | 0.571 | 0.633 | 0.715 |
| British | EN806-3 (British) | |||||
| Residential | 11 | 0.95–3.80 | 0.568 | 0.666 | 0.728 | 0.801 |
| Swiss | W3 (Swiss) | |||||
| Residential | 11 | 0.80–2.34 | 0.684 | 0.796 | 0.843 | 0.895 |
| German | DIN1988-300 (German) | |||||
| Residential | 11 | 0.88–2.24 | 0.692 | 0.799 | 0.850 | 0.901 |
| Netherlands | Dutch guidelines | |||||
| Office | 2 | 1.1–4.0 | 0.579–0.755 | 0.956 | 0.976 | 0.994 |
| Hotel (cold) | 2 | 1.5–1.8 | 0.437–0.567 | 0.844 | 0.904 | 0.946 |
| Hotel (hot) | 2 | 0.71–1.17 | 0.416–0.441 | 0.725 | 0.817 | 0.891 |
| Nursing home | 2 | 1.5–3.2 | 0.385–0.571 | 0.800 | 0.874 | 0.927 |
| South Africa | W308 (German) | |||||
| Residential | 1 | 18.8 | 0.466 | 0.837 | 0.904 | 0.947 |
| Japan | Loading unit (Japanese) | |||||
| Residential | 29 | 2.9–65 | 0.522 | 0.565 | 0.602 | 0.695 |
| Office | 1 | 11.8 | 0.271 | 0.627 | 0.750 | 0.847 |
| Restaurant | 1 | 10.4 | 0.846 | 0.992 | 0.996 | 0.998 |
| System | Cost | Commercial Buildings | Residential Buildings | ||
|---|---|---|---|---|---|
| k0 | k1 | k0 | k1 | ||
| Water supply | Construction | 1 | 0.33 | 1 | 0.91 |
| Maintenance | 1 | 0.38 | 1 | 3.62 | |
| Remedy | 1 | 1.29 | 1 | 6.50 | |
| Drainage | Construction | 0.67 | 0.18 | 0.62 | 1.69 |
| Maintenance | 1 | 5.83 | 1 | 1.74 | |
| Remedy | 1 | 1.29 | 1 | 6.50 | |
© 2018 by the authors. Licensee MDPI, Basel, Switzerland. This article is an open access article distributed under the terms and conditions of the Creative Commons Attribution (CC BY) license (http://creativecommons.org/licenses/by/4.0/).
Share and Cite
Wong, L.-T.; Mui, K.-W. A Review of Demand Models for Water Systems in Buildings including a Bayesian Approach. Water 2018, 10, 1078. https://doi.org/10.3390/w10081078
Wong L-T, Mui K-W. A Review of Demand Models for Water Systems in Buildings including a Bayesian Approach. Water. 2018; 10(8):1078. https://doi.org/10.3390/w10081078
Chicago/Turabian StyleWong, Ling-Tim, and Kwok-Wai Mui. 2018. "A Review of Demand Models for Water Systems in Buildings including a Bayesian Approach" Water 10, no. 8: 1078. https://doi.org/10.3390/w10081078
APA StyleWong, L.-T., & Mui, K.-W. (2018). A Review of Demand Models for Water Systems in Buildings including a Bayesian Approach. Water, 10(8), 1078. https://doi.org/10.3390/w10081078
