Modeling the Spatial and Seasonal Variations of Groundwater Head in an Urbanized Area under Low Impact Development
Abstract
1. Introduction
2. Materials and Methods
2.1. Study Area
2.2. Urban Storm Water Model
2.3. Distributed Groundwater Model
2.4. Model Coupling
2.5. Model Verification
2.5.1. Verification Methods
2.5.2. Verification Results
2.6. LID Scenarios
- Base case: The land use remains unchanged and no LID practices will be implemented in the area.
- Scenario 1: The runoff from 7.5% of impervious area in each subcatchment will be treated respectively by bioretention basins (2.5%), permeable pavements (2.5%), and green roofs (2.5%). The bioretention is designed to have the capacity to treat the runoff from the impervious area that is 10 times its own size according to the Technical Guidance for Sponge City Construction—Low Impact Development Rainwater System Construction [34]. For example, Figure 7 shows the LID implementation intensity of each subcatchment under Scenario 1.
- Scenario 2: The runoff from 15% of impervious area in each subcatchment will be treated respectively by bioretention basins (5%), permeable pavements (5%), and green roofs (5%).
3. Results and Discussion
3.1. The Effect of LID on Hydrological Balance
3.2. The Effect of LID on Spatial Variation of Groundwater Processes
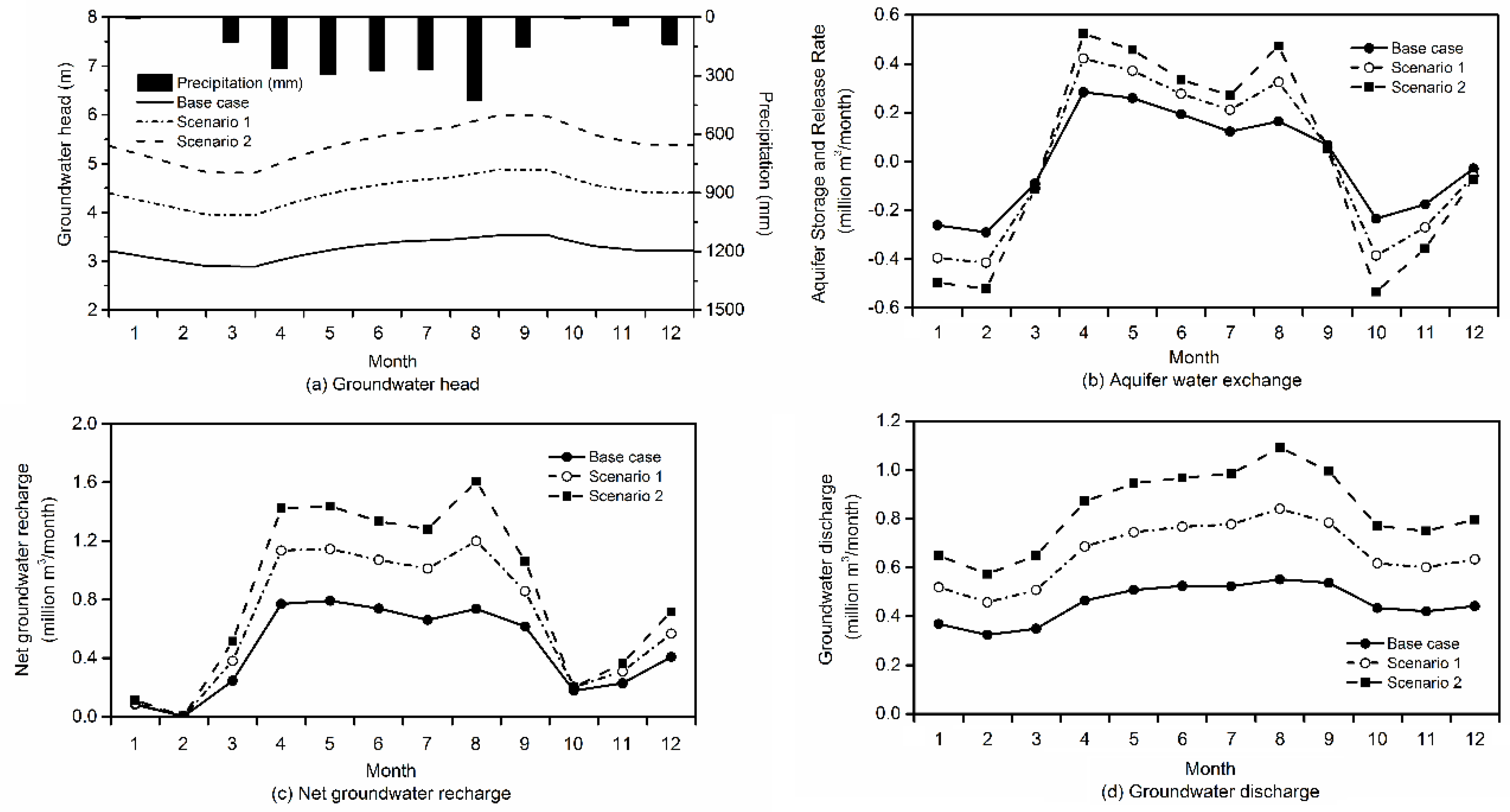
3.3. The Effect of LID on Seasonal Variation of Groundwater Processes
3.4. The Impacts of Increasing Groundwater
3.5. Model Limitations
4. Conclusions
Author Contributions
Funding
Acknowledgments
Conflicts of Interest
References
- Lerner, D.N. Identifying and quantifying urban recharge: A review. Hydrogeol. J. 2002, 10, 143–152. [Google Scholar] [CrossRef]
- Eckart, K.; McPhee, Z.; Bolisetti, T. Performance and implementation of low impact development—A review. Sci. Total Environ. 2017, 607–608, 413–432. [Google Scholar] [CrossRef] [PubMed]
- Bhaskar, A.S.; Beesley, L.; Burns, M.J.; Fletcher, T.D.; Hamel, P.; Oldham, C.E.; Roy, A.H. Will it rise or will it fall? Managing the complex effects of urbanization on base flow. Freshw. Sci. 2016, 35, 293–310. [Google Scholar] [CrossRef]
- Zhu, Z.; Chen, X. Evaluating the Effects of Low Impact Development Practices on Urban Flooding under Different Rainfall Intensities. Water 2017, 9, 548. [Google Scholar] [CrossRef]
- Ahiablame, L.M.; Engel, B.A.; Chaubey, I. Effectiveness of low impact development practices: Literature review and suggestions for future research. Water Air Soil Pollut. 2012, 223, 4253–4273. [Google Scholar] [CrossRef]
- Newcomer, M.E.; Gurdak, J.J.; Sklar, L.S.; Nanus, L. Urban recharge beneath low impact development and effects of climate variability and change. Water Resour. Res. 2014, 50, 1716–1734. [Google Scholar] [CrossRef]
- Barron, O.V.; Barr, A.D.; Donn, M.J. Effect of urbanisation on the water balance of a catchment with shallow groundwater. J. Hydrol. 2013, 485, 162–176. [Google Scholar] [CrossRef]
- Göbel, P.; Stubbe, H.; Weinert, M.; Zimmermann, J.; Fach, S.; Dierkes, C.; Kories, H.; Messer, J.; Mertsch, V.; Geiger, W.F.; et al. Near-natural stormwater management and its effects on the water budget and groundwater surface in urban areas taking account of the hydrogeological conditions. J. Hydrol. 2004, 299, 267–283. [Google Scholar] [CrossRef]
- Thomas, B.F.; Vogel, R.M. Impact of Storm Water Recharge Practices on Boston Groundwater Elevations. J. Hydrol. Eng. 2012, 17, 923–932. [Google Scholar] [CrossRef]
- Thompson, A.; Nimmer, M.; Misra, D. Effects of variations in hydrogeological parameters on water-table mounding in sandy loam and loamy sand soils beneath stormwater infiltration basins. Hydrogeol. J. 2010, 18, 501–508. [Google Scholar] [CrossRef]
- Locatelli, L.; Mark, O.; Mikkelsen, P.S.; Arnbjerg-Nielsen, K.; Wong, T.; Binning, P.J. Determining the extent of groundwater interference on the performance of infiltration trenches. J. Hydrol. 2015, 529, 1360–1372. [Google Scholar] [CrossRef]
- Machusick, M.; Welker, A.; Traver, R. Groundwater Mounding at a Storm-Water Infiltration BMP. J. Irrig. Drain. Eng. 2011, 137, 154–160. [Google Scholar] [CrossRef]
- Endreny, T.; Collins, V. Implications of bioretention basin spatial arrangements on stormwater recharge and groundwater mounding. Ecol. Eng. 2009, 35, 670–677. [Google Scholar] [CrossRef]
- Locatelli, L.; Mark, O.; Mikkelsen, P.S.; Arnbjerg-Nielsen, K.; Deletic, A.; Roldin, M.; Binning, P.J. Hydrologic impact of urbanization with extensive stormwater infiltration. J. Hydrol. 2017, 544, 524–537. [Google Scholar] [CrossRef]
- Hamel, P.; Daly, E.; Fletcher, T.D. Source-control stormwater management for mitigating the impacts of urbanisation on baseflow: A review. J. Hydrol. 2013, 485, 201–211. [Google Scholar] [CrossRef]
- Kidmose, J.; Troldborg, L.; Refsgaard, J.C.; Bischoff, N. Coupling of a distributed hydrological model with an urban storm water model for impact analysis of forced infiltration. J. Hydrol. 2015, 525, 506–520. [Google Scholar] [CrossRef]
- Maimone, M.; Wre, D.; Rourke, D.E.O.; Knighton, J.O.; Thomas, C.P. Potential impacts of extensive stormwater infiltration in Philadelphia. Environ. Eng. Appl. Res. Pract. 2014, 14, 2–12. [Google Scholar]
- Chen, K.P.; Jiao, J.J. Seawater intrusion and aquifer freshening near reclaimed coastal area of Shenzhen. Water Sci. Technol. Water Supply 2007, 7, 137–145. [Google Scholar] [CrossRef]
- Lu, W.; Yang, Q.; Martín, J.D.; Juncosa, R. Numerical modelling of seawater intrusion in Shenzhen (China) using a 3D density-dependent model including tidal effects. J. Earth Syst. Sci. 2013, 122, 451–465. [Google Scholar] [CrossRef]
- Research on the Comprehensive Improvement of the Middle and Lower Reaches of the Dasha River; Shenzhen Municipal Water Affairs Bureau: Shenzhen, China, 2009. (In Chinese)
- Rossman, L.A. Storm Water Management Model User's Manual; US EPA Office of Research and Development: Cincinnati, OH, USA, 2009; pp. 1–266. [Google Scholar]
- Luan, Q.; Fu, X.; Song, C.; Wang, H.; Liu, J.; Wang, Y. Runoff effect evaluation of LID through SWMM in typical mountainous, low-lying urban areas: A case study in China. Water 2017, 9, 439. [Google Scholar] [CrossRef]
- Ouyang, W.; Guo, B.; Hao, F.; Huang, H.; Li, J.; Gong, Y. Modeling urban storm rainfall runoff from diverse underlying surfaces and application for control design in Beijing. J. Environ. Manag. 2012, 113, 467–473. [Google Scholar] [CrossRef] [PubMed]
- Elliott, A.H.; Trowsdale, S.A. A review of models for low impact urban stormwater drainage. Environ. Model. Softw. 2007, 22, 394–405. [Google Scholar] [CrossRef]
- Palla, A.; Gnecco, I. Hydrologic modeling of Low Impact Development systems at the urban catchment scale. J. Hydrol. 2015, 528, 361–368. [Google Scholar] [CrossRef]
- Xie, J.; Wu, C.; Li, H.; Chen, G. Study on storm-water management of grassed swales and permeable pavement based on SWMM. Water 2017, 9, 840. [Google Scholar] [CrossRef]
- Qin, H.P.; Li, Z.X.; Fu, G. The effects of low impact development on urban flooding under different rainfall characteristics. J. Environ. Manag. 2013, 129, 577–585. [Google Scholar] [CrossRef] [PubMed]
- Chen, S.; Zheng, M.F.; Qin, H.P.; Li, X.R. Effects of Low Impact Development Practices on the Mitigation of Nutrient Pollution in Deep Bay. In International Low Impact Development Conference China 2016: LID Applications in Sponge City Projects; ASCE: Beijing, China, 2016. [Google Scholar]
- Diersch, H.J.G. Feflow: Finite Element Modeling of Flow, Mass and Heat Transport in Porous and Fractured Media; Springer Science & Business Media: Berlin, Germany, 2013. [Google Scholar]
- Hu, L.; Jiao, J.J. Modeling the influences of land reclamation on groundwater systems: A case study in Shekou Peninsula, Shenzhen, China. Eng. Geol. 2010, 114, 144–153. [Google Scholar] [CrossRef]
- Tubau, I.; Vázquez-Suñé, E.; Carrera, J.; Valhondo, C.; Criollo, R. Quantification of groundwater recharge in urban environments. Sci. Total Environ. 2017, 592, 391–402. [Google Scholar] [CrossRef] [PubMed]
- Urban Planning and Design Institute of Shenzhen (UPDIS). Special Planning of Sponge City in Nanshan District, Shenzhen; UPDIS: Shenzhen, China, 2017. (In Chinese) [Google Scholar]
- He, Y.H.; Chen, X.H.; Lin, K.R.; Wu, X.Q.; Li, Y. Temporal and spatial characteristics of runoff coefficient variations in the Dongjiang Basin during 1964–2012. Geogr. Res. 2014, 33, 1049–1058. (In Chinese) [Google Scholar]
- Technical Guidance for Sponge City Construction—Low Impact Development Rainwater System Construction; Ministry of Housing and Urban Rural Development: Beijing, China, 2014. (In Chinese)
- MacDonald, D.; Dixon, A.; Newell, A.; Hallaways, A. Groundwater flooding within an urbanised flood plain. J. Flood Risk Manag. 2012, 5, 68–80. [Google Scholar] [CrossRef]
- García-Gil, A.; Vázquez-Suñé, E.; Sánchez-Navarro, J.Á.; Mateo Lázaro, J.; Alcaraz, M. The propagation of complex flood-induced head wavefronts through a heterogeneous alluvial aquifer and its applicability in groundwater flood risk management. J. Hydrol. 2015, 527, 402–419. [Google Scholar] [CrossRef]











| Parameter | Value | Unit | Description |
|---|---|---|---|
| Kh1 silt clay | 0.12 | 10−4 m/s | Horizontal hydraulic conductivity of silt clay for Layer 1 |
| Kh1 fill materials | 0.1–0.13 | 10−4 m/s | Horizontal hydraulic conductivity of fill materials for Layer 1 |
| Kh2 sand | 3.5–4.2 | 10−4 m/s | Horizontal hydraulic conductivity of sand for Layer 2 |
| Kh3 clay | 0.1 | 10−4 m/s | Horizontal hydraulic conductivity of clay for Layer 3 |
| Kh4 granite | 0.8–1.2 | 10−4 m/s | Horizontal hydraulic conductivity of decomposed granite for Layer 4 |
| Kv1–4 | =Kh1–4/5 | 10−4 m/s | Vertical hydraulic conductivity of Layers 1–4 |
| Sy1 | 0.06 | - | Specific yield of Layer 1 |
| Sy2 | 0.17 | - | Specific yield of Layer 2 |
| Ss1 | 0.0006 | 1/m | Specific storage of Layer 1 |
| Ss2 | 0.0016 | 1/m | Specific storage of Layer 2 |
| Ss4 | 0.0023 | 1/m | Specific storage of Layer 4 |
| Ko | 0.08–0.1 | 10−4 m/s | Saturated hydraulic conductivity in the Green–Ampt equation |
| N-Imperv | 0.012 | - | Manning N for impervious area |
| N-green land | 0.4–0.6 | - | Manning N for green land |
| N-bare land | 0.01 | - | Manning N for bare land |
| Dstore Imperv | 2.5 | mm | Depth of detention storage of impervious area |
| fRI Z1 | 0.4 | - | The ratio of net groundwater recharge to infiltration in Zone 1 |
| fRI Z2 | 0.2 | - | The ratio of net groundwater recharge to infiltration in Zone 2 |
| fRI Z3 | 0.2 | - | The ratio of net groundwater recharge to infiltration in Zone 3 |
| fRI Z4 | 0.4 | - | The ratio of net groundwater recharge to infiltration in Zone 4 |
| Layer | Parameter | Unit | Bioretention Basin | Permeable Pavement | Green Roof |
|---|---|---|---|---|---|
| Surface | Storage depth | mm | 150 | 0 | 75 |
| Manning n | - | 0.41 | 0.014 | 0.24 | |
| Pavement | Thickness | - | - | 100 | - |
| Void ratio | - | - | 0.2 | - | |
| Permeability | mm/h | - | 360 | - | |
| Soil | Thickness | mm | 600 | - | 150 |
| Porosity | - | 0.42 | - | 0.437 | |
| Field capacity | - | 0.19 | - | 0.1 | |
| Wilting point | - | 0.089 | - | 0.024 | |
| Conductivity K | mm/h | 10 | - | 120 | |
| Conductivity Slope | - | 3 | - | 5 | |
| Suction head Ψ | - | 110 | - | 50 | |
| Storage | Height | mm | 400 | 150 | 75 |
| Void ratio | - | 0.5 | 0.5 | 0.5 | |
| Conductivity | mm/h | 10 | 1.2 | 0 | |
| Underdrain | Drain coefficient | - | 0.8 | 0.682 | 1.01 |
| Drain exponent | - | 0.5 | 0.5 | 0.5 | |
| Drain offset height | mm | 0 | 0 | 60 |
| Scenario Settings | Hydrological Balance Components | Infiltration (mm/year) | Groundwater Head Relative to Sea Level (m) | ||
|---|---|---|---|---|---|
| Surface Runoff (mm/year) | Groundwater Discharge (mm/year) | Evapotrans-Piration (mm/year) | |||
| Base Case | 1207 | 74 | 716 | 421 | 3.0 |
| Scenario 1 | 1147 | 108 | 742 | 471 | 3.9 |
| Scenario 2 | 1093 | 137 | 767 | 522 | 4.7 |
© 2018 by the authors. Licensee MDPI, Basel, Switzerland. This article is an open access article distributed under the terms and conditions of the Creative Commons Attribution (CC BY) license (http://creativecommons.org/licenses/by/4.0/).
Share and Cite
Zheng, Y.; Chen, S.; Qin, H.; Jiao, J.J. Modeling the Spatial and Seasonal Variations of Groundwater Head in an Urbanized Area under Low Impact Development. Water 2018, 10, 803. https://doi.org/10.3390/w10060803
Zheng Y, Chen S, Qin H, Jiao JJ. Modeling the Spatial and Seasonal Variations of Groundwater Head in an Urbanized Area under Low Impact Development. Water. 2018; 10(6):803. https://doi.org/10.3390/w10060803
Chicago/Turabian StyleZheng, Yu, Sidian Chen, Huapeng Qin, and Jiu Jimmy Jiao. 2018. "Modeling the Spatial and Seasonal Variations of Groundwater Head in an Urbanized Area under Low Impact Development" Water 10, no. 6: 803. https://doi.org/10.3390/w10060803
APA StyleZheng, Y., Chen, S., Qin, H., & Jiao, J. J. (2018). Modeling the Spatial and Seasonal Variations of Groundwater Head in an Urbanized Area under Low Impact Development. Water, 10(6), 803. https://doi.org/10.3390/w10060803
