Recognizing the Relationship between Spatial Patterns in Water Quality and Land-Use/Cover Types: A Case Study of the Jinghe Oasis in Xinjiang, China
Abstract
:1. Introduction
2. Materials and Methods
2.1. Study Area
2.2. Data Acquisition and Processing
- (1)
- As the data sources, this study applied GF-1 remote sensing images obtained in May and October 2015 (see http://www.cresda.com/CN/). These images were not influenced by clouds, fog, or snow cover, and their quality was good. It conducted radiation and orthographic corrections for the remote sensing image data combined with 1:50,000 scale digital elevation model (DEM) data. We established five land-use/cover types by using the Environment for Visualizing Images software (ENVI Version 5.0), namely: farmland, forest–grassland, water body, salinized land, and others, based on the actual conditions of the research zone. Finally, we generated a vector data map of the land-use/cover types for two stages of the research zones.
- (2)
- In total, this study collected 47 water sampling points, with 23 points collected in May 2015 and 24 points collected in October 2015. The samples were taken in a wide range of hydrological environments in May and October, which included the Kuitun and Jing River (P1, P2, P3, P4, P5, P6, P11, P13 (just in October), P14, P15, P16, P17, P18, P19, P20), the ditches of these rivers (P9, P10), and Ebinur Lake (P7, P8, P21, P22, P23, P24, P25). The surrounding land-use/cover types of the inflowing rivers contained farmland, forest–grassland and others, while that of the ditches contained salinized land and farmland, as well as others. Thus, these sampling points were collected mainly out of concern for the effects of different land-use/cover types on the surrounding surface water. Besides, the river water flows into Ebinur Lake and affects its water quality. It is not certain whether the inflowing rivers and surrounding land-use/cover types affect the water quality of the lake. Thus, it is necessary to take water from the inflowing rivers and its ditches as well as from Ebinur Lake itself. The information about the land-use/cover types within the one-km buffer zone of the water quality sampling points in the research area was obtained. The sampling points from the inflowing rivers were used to test the monitoring indices, including: chemical oxygen demand (COD), five-day biological oxygen demand (BOD5), suspended solids (SS), total phosphorus (TP), total nitrogen (TN), ammonia nitrogen (NH3-N), chromaticity (SD), and turbidity (NUT). The pillar industries in the Jinghe Oasis include salt production and Artemia breeding. Non-heavy industry is present; thus, point source pollution from industrial wastewater was not considered in the research zone. All of the polyethylene bottles were used to store the samples. The bottles were cleaned, dried, and sealed with deionized water before sampling. The samples were taken to the laboratory for measurements and analyses after collection. We applied dichromate titration, dilution, inoculation, gravimetry, ammonium molybdate spectrophotometry, alkaline potassium persulfate decomposition UV spectrophotometry, and Nessler’s reagent spectrophotometry to measure the COD, BOD5, SS, TP, TN, and NH3-N, respectively. The analyses of all of the samples were entrusted to and completed by Urumqi Jincheng Measurement Technology Co., Ltd. (Urumqi, China). Research samples were collected from agricultural land in Jinghe County and Tuotuo Village, which surround Ebinur Lake; a national ecological zone in Ebinur Lake called Bird Isle; and the Ganjia Lake Haloxylon natural conservation area.
2.3. Recognition of Water Quality Spatial Characteristics Based on the SOM Method with Non-Hierarchical K-Means Classification
2.4. Spatial Analysis of the Influences of Land Use/Cover Change on Water Quality
3. Results and Analysis
3.1. Spatial Framework of Water Quality in the Jinghe Oasis
3.2. Analysis of Land-Use/Cover Type and Its Relation to Water Quality at Different Layers
3.3. Analysis of Land-Use/Cover Changes in the Jinghe Oasis and their Correlation with Water Quality at Different Seasons
4. Discussion
5. Conclusions
- (1)
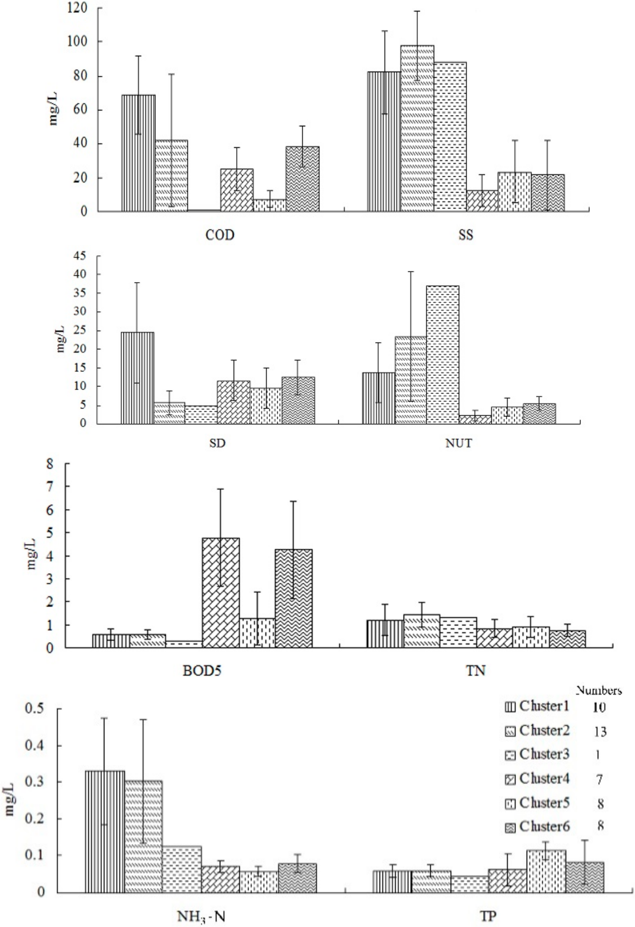
- Based on non-hierarchical k-means classification, 47 water quality sampling points were divided into six clusters using the SOM method, and the time sequence characteristics of the research zone were better recognized in the classification results. Clusters 1 to 3 comprised samples from the wet season (May 2015), whereas Clusters 4 to 6 comprised monitoring samples from the dry season (October 2015). In general, the COD, SS, NUT, TN, and NH3-N contents were high. The SD value was high in Clusters 1, 4, and 6. In addition, high BOD and TP values were mainly concentrated in Clusters 4 and 6. Based on these results, the water quality at different clusters of the research zone was further evaluated. The results show that Clusters 1 to 6 do not satisfy potable water quality standards.
- (2)
- The correlations between the land-use/cover types and water quality parameters for Clusters 1 to 6 were analyzed, according to the hierarchical results of the water quality parameters. The comprehensive analysis indicates that the farmland, forest–grassland, and salinized land exerted significant influences on the water quality parameters of the Jinghe Oasis. In Clusters 1, 2, and 6, the size of the water area, to a certain extent, also influenced changes in the water quality parameters.
- (3)
- During the wet and dry seasons, the influences that various land-use/cover types in the research zone had exhibited the following descending order of influence: farmland → forest–grassland → salinized land → water body → others, on the water quality parameters. Moreover, the influences were lower during the wet season than during the dry season.
Author Contributions
Funding
Acknowledgments
Conflicts of Interest
References
- National Research Council. Integrating Multiscale Observations of U.S. Waters; The National Academies Press: Washington, DC, USA, 2008. [Google Scholar]
- Sun, F.; Sun, W.; Chen, J.; Gong, P. Comparison and improvement of methods for identifying waterbodies in remotely sensed imagery. Int. J. Remote Sens. 2012, 33, 6854–6875. [Google Scholar] [CrossRef]
- Huang, J.-L.; Li, Q.-S.; Pontius, R.-G., Jr.; Hong, H.-S. Detecting the dynamic linkage between landscape characteristics and water quality in a subtropical coastal watershed, Southeast China. Environ. Manag. 2013, 51, 32–44. [Google Scholar] [CrossRef] [PubMed]
- Bu, H.-M.; Meng, W.; Zhang, Y.; Wan, J. Relationships between land use patterns and water quality in the Taizi River basin, China. Ecol. Indic. 2014, 41, 187–197. [Google Scholar] [CrossRef]
- Hur, J.; Nguyen, H.V.M.; Lee, B.M. Influence of upstream land use on dissolved organic matter and trihalomethane formation potential in watersheds for two different seasons. Environ. Sci. Pollut. Res. 2014, 21, 7489–7500. [Google Scholar] [CrossRef] [PubMed]
- Swaney, D.P.; Humborg, C.; Emeis, K.; Kannen, A.; Silvert, W.; Pastres, R.; Solidoro, C.; Yamamuro, M.; Hénocque, Y.; Nicholls, R. Five critical questions of scale for the coastal zone. Estuar. Coast. Shelf Sci. 2012, 96, 9–21. [Google Scholar] [CrossRef]
- Yang, Y.-N.; Wang, J.-L.; Cheng, G.-J.; Xi, X.-H.; Wang, C. Relationship between land use pattern and water quality change in Fuxian Lake basin. Remote Sens. Land Resour. 2016, 28, 159–165. [Google Scholar]
- Uuemaa, E.; Roosaare, J.; Mander, Ü. Scale dependence of landscape metrics and their indicatory value for nutrient and organic matter losses from catchments. Ecol. Indic. 2005, 5, 350–369. [Google Scholar] [CrossRef]
- Xiao, H.; Ji, W. Relating landscape characteristics to non-point source pollution in mine waste-located watersheds using geospatial techniques. J. Environ. Manag. 2007, 82, 111–119. [Google Scholar] [CrossRef] [PubMed]
- Wan, R.; Cai, S.; Li, H.; Yang, G.; Li, Z.; Nie, X. Inferring land use and land cover impact on stream water quality using a Bayesian hierarchical modeling approach in the Xitiaoxi River Watershed, China. J. Environ. Manag. 2014, 133, 1–11. [Google Scholar] [CrossRef] [PubMed]
- Céréghino, R.; Park, Y.S. Review of the self-organizing map (SOM) approach in water resources: Commentary. Environ. Model. Softw. 2009, 24, 945–947. [Google Scholar] [CrossRef]
- Bierman, P.; Lewis, M.; Ostendorf, B.; Tanner, J. A review of methods for analysing spatial and temporal patterns in coastal water quality. Ecol. Indic. 2011, 11, 103–114. [Google Scholar] [CrossRef]
- Huang, J.-L.; Li, Q.-S.; Huang, L.; Zhang, Z.-F.; Mu, J.-L.; Huang, Y.-L. Watershed-scale evaluation for land-based nonpoint source nutrients management in the Bohai Sea Bay, China. Ocean Coast. Manag. 2013, 71, 314–325. [Google Scholar] [CrossRef]
- Lee, S.W.; Hwang, S.J.; Lee, S.B.; Sung, H.C. Landscape ecological approach to the relationships of land use patterns in watersheds to water quality characteristics. Landsc. Urban Plan. 2009, 92, 80–89. [Google Scholar] [CrossRef]
- Li, K.; Wang, L.; Li, Z.-H.; Wang, X.-R.; Chen, H.-B.; Wu, Z.; Zhu, P. Spatial variability characteristics of water quality and its driving forces in Honghu Lake during high water-level period. Environ. Sci. 2015, 36, 1285–1292. [Google Scholar]
- Park, Y.S.; Kwon, Y.S.; Hwang, S.J.; Park, S. Characterizing effects of landscape and morphometric factors on water quality of reservoirs using a self-organizing map. Environ. Model. Softw. 2014, 55, 214–221. [Google Scholar] [CrossRef]
- De Jonge, M.; Van de Vijver, B.; Blust, R.; Bervoets, L. Responses of aquatic organisms to metal pollution in a lowland river in Flanders: A comparison of diatoms and macroinvertebrates. Sci. Total Environ. 2008, 407, 615–629. [Google Scholar] [CrossRef] [PubMed]
- Shen, Z.; Hou, X.; Li, W.; Aini, G.; Chen, L.; Gong, Y. Impact of landscape pattern at multiple spatial scales on water quality: A case study in a typical urbanised watershed in China. Ecol. Indic. 2015, 48, 417–427. [Google Scholar] [CrossRef]
- Kohonen, T. Self-Organizing Maps; Springer: Berlin/Heidelberg, Germany, 2001. [Google Scholar]
- Kohonen, T. Essentials of the self-organizing map. Neural Netw. 2013, 37, 52–65. [Google Scholar] [CrossRef] [PubMed]
- Zhou, P.; Huang, J.-L.; Pontius, R.G., Jr.; Hong, H.-S. New insight into the correlations between land use and water quality in a coastal watershed of China: Does point source pollution weaken it? Sci. Total Environ. 2016, 543, 591–600. [Google Scholar] [CrossRef] [PubMed]
- Kalteh, A.M.; Hjorth, P.; Berndtsson, R. Review of the self-organizing map (SOM) approach in water resources: Analysis, modelling and application. Environ. Model. Softw. 2008, 23, 835–845. [Google Scholar] [CrossRef]
- Chon, T.-S. Self-organizing maps applied to ecological sciences. Ecol. Inform. 2011, 6, 50–61. [Google Scholar] [CrossRef]
- Li, W.; Yao, X.-Y.; Liang, Z.-W.; Wu, Y.-M.; Shi, J.-Y.; Chen, Y.-X. Assessment of surface water quality using self-organizing map and Hasse diagram technique. Acta Sci. Circumst. 2013, 33, 893–903. [Google Scholar]
- Zhang, F.; Tiyip, T.; Johnson, V.C.; Ding, J.-L.; Zhou, M.; Chan, N.W. The influence of natural and human factors in the shrinking of the Ebinur Lake, Xinjiang, China, during the 1972–2013 period. Environ. Monit. Assess. 2015, 187, 1–14. [Google Scholar] [CrossRef] [PubMed]
- Jilil, A.; Mu, G.J. Analysis on the dust storms and their disasters in the lakebed region of Ebinur Lake, Xinjiang. Arid Land Geogr. 2002, 25, 122–126. [Google Scholar]
- Li, J.; Hao, Z.-G. Tourism planning based on Google Earth virtual earth platform. Remote Sens. Land Resour. 2010, 1, 130–133. [Google Scholar]
- An, Y.; Zou, Z.; Li, R. Descriptive characteristics of surface water quality in Hong Kong by a self-organising map. Int. J. Environ. Res. Public Health 2016, 13, 115. [Google Scholar] [CrossRef] [PubMed]
- Zhang, Y.; Liang, X.; Wang, Z.; Xu, L. A novel approach combining self-organizing map and parallel factor analysis for monitoring water quality of watersheds under non-point source pollution. Sci. Rep. 2015, 5, 16079. [Google Scholar] [CrossRef] [PubMed]
- Ter Braak, C.J.F.; Smilauer, P. CANOCO reference manual and CanoDraw for Windows user’s guide: Software for canonical community ordination (version 4.5). In Permutation Methods; Microcomputer Power: Ithaca, NY, USA, 2002. [Google Scholar]
- Wang, X.-P.; Zhang, F.; Li, X.-H.; Cao, C.; Guo, M. Correlation analysis between the spatial characteristics of land use/cover-landscape pattern and surface-water quality in the Ebinur Lake area. Acta Ecol. Sin. 2017, 37, 7438–7452. (In Chinese) [Google Scholar]
- Fan, X.-Y.; Cui, B.-S.; Zhang, K.-J.; Zhang, Z.-M. Water quality management based on division of dry and wet seasons in Pearl River Delta, China. CLEAN Soil Air Water 2012, 40, 381–393. [Google Scholar] [CrossRef]
- Prathumratana, L.; Sthiannopkao, S.; Kim, K.W. The relationship of climatic and hydrological parameters to surface water quality in the lower Mekong River. Environ. Int. 2008, 34, 860–866. [Google Scholar] [CrossRef] [PubMed]
- Li, Y.-Y.; Jiao, J.-X.; Wang, Y.; Yang, W.; Meng, C.; Li, B.-Z.; Li, Y.; Wu, J.-S. Characteristics of nitrogen loading and its influencing factors in several typical agricultural watersheds of subtropical China. Environ. Sci. Pollut. Res. 2015, 22, 1831–1840. [Google Scholar] [CrossRef] [PubMed]
- Ngoye, E.; Machiwa, J.F. The influence of land use patterns in the Ruvu river watershed on water quality in the river system. Phys. Chem. Earth 2004, 29, 1161–1166. [Google Scholar] [CrossRef]
- Li, S.; Gu, S.; Tan, X.; Zhang, Q. Water quality in the upper Han River basin, China: The impacts of land use/land cover in riparian buffer zone. J. Hazard. Mater. 2009, 165, 317–324. [Google Scholar] [CrossRef] [PubMed]
- Tran, C.P.; Bode, R.W.; Smith, A.J.; Kleppel, G.S. Land-use proximity as a basis for assessing stream water quality in New York State (USA). Ecol. Indic. 2010, 10, 727–733. [Google Scholar] [CrossRef]
- Li, Y.-H. Water Resources Carrying Capacity in the Ebinur Lake Basin of Xinjiang. Ph.D. Thesis, East China Normal University, Shanghai, China, 2006. [Google Scholar]
- Mi, Y.; Chang, S.-L.; Shi, Q.-D.; Gao, X.; Huang, C. Study on the effect of agricultural non-point source pollution to water environment of the Ebinur Lake basin during high flow period. Arid Zone Res. 2010, 27, 278–283. [Google Scholar] [CrossRef]
- Krongchai, C.; Funsueb, S.; Jakmunee, J.; Kittiwachana, S. Application of multiple self-organizing maps for classification of soil samples in Thailand according to their geographic origins. J. Chemom. 2016, 31, e2871. [Google Scholar] [CrossRef]
- Li, L.; Wang, Y.-P. What drives the aerosol distribution in Guangdong—The most developed province in Southern China? Sci. Rep. 2014, 4, 5972. [Google Scholar] [CrossRef] [PubMed]
- Löhr, S.C.; Grigorescu, M.; Hodgkinson, J.H.; Cox, M.E.; Fraser, S.J. Iron occurrence in soils and sediments of a coastal catchment: A multivariate approach using self organising maps. Geoderma 2010, 156, 253–266. [Google Scholar] [CrossRef]
- Nanda, T.; Sahoo, B.; Chatterjee, C. Enhancing the applicability of Kohonen Self-Organizing Map (KSOM) estimator for gap-filling in hydrometeorological time series data. J. Hydrol. 2017, 549, 133–147. [Google Scholar] [CrossRef]
- Chon, T.-S.; Park, Y.-S.; Moon, K.-H.; Cha, E.-Y. Patternizing communities by using an artificial neural network. Ecol. Model. 1996, 90, 69–78. [Google Scholar] [CrossRef]








| Water Quality Parameters | Cluster 1 | Cluster 2 | Cluster 4 | Cluster 5 | Cluster 6 |
|---|---|---|---|---|---|
| COD | Exceed V | Exceed V | I | IV | V |
| BOD5 | I | I | IV | I | IV |
| TN | IV | IV | III | III | III |
| NH3-N | II | II | I | I | I |
| TP | II | II | II | III | II |
| Time | LULC | Water Body | Saline Land | Farmland | Forest Grassland | Other Land | Total | User’s Accuracy (%) |
|---|---|---|---|---|---|---|---|---|
| May | Water body | 144 | 0 | 0 | 0 | 0 | 144 | 100 |
| Saline land | 0 | 77 | 0 | 0 | 16 | 93 | 82.79 | |
| Farmland | 0 | 36 | 101 | 0 | 0 | 137 | 73.72 | |
| Forest–grassland | 0 | 36 | 0 | 101 | 0 | 137 | 73.72 | |
| Other land types | 1 | 0 | 0 | 0 | 87 | 88 | 98.96 | |
| Total | 145 | 149 | 101 | 101 | 103 | Overall = 89.9750% | ||
| Producer’s accuracy (%) | 99.31 | 51.67 | 100 | 100 | 84.46 | Kappa = 0.8681 | ||
| October | Water body | 144 | 0 | 0 | 0 | 0 | 144 | 100 |
| Saline land | 0 | 57 | 0 | 0 | 26 | 83 | 86.67 | |
| Farmland | 0 | 16 | 101 | 0 | 0 | 117 | 86.32 | |
| Forest–grassland | 4 | 16 | 0 | 101 | 0 | 117 | 86.32 | |
| Other land types | 0 | 0 | 0 | 0 | 77 | 77 | 100 | |
| Total | 148 | 89 | 101 | 101 | 103 | Overall = 86.2848% | ||
| Producer’s accuracy (%) | 97.29 | 64 | 100 | 100 | 74.75 | Kappa = 0.8184 | ||
| Title | Parameters | Farmland | Forest–Grassland | Water Body | Salinized Land | Others |
|---|---|---|---|---|---|---|
| Cluster 1 | COD | −0.161 | 0.240 | 0.986 * | −0.110 | −0.361 |
| BOD5 | 0.074 | 0.492 | −0.439 | −0.613 | 0.552 | |
| SS | −0.271 | −0.710 ** | 0.801 | 0.619 | −0.384 | |
| TP | −0.195 | 0.453 | 0.371 | 0.444 | 0.623 | |
| TN | 0.464 | 0.524 | −0.721 * | −0.224 | 0.121 | |
| NH3-N | −0.491 | 0.039 | 0.071 | −0.066 | 0.291 | |
| SD | −0.296 | 0.448 | 0.415 | −0.426 | 0.396 | |
| NUT | −0.261 | −0.724 ** | 0.550 | 0.756 ** | −0.612 | |
| Cluster 2 | COD | −0.581 * | 0.613 * | 0.916 | −0.693 ** | 0.442 |
| BOD5 | −0.004 | 0.455 | 0.055 | −0.545 | 0.242 | |
| SS | 0.493 | −0.512 | −0.983 ** | 0.386 | 0.047 | |
| TP | −0.222 | 0.531 | 0.850 | −0.129 | 0.382 | |
| TN | 0.351 | 0.415 | −0.867 | −0.356 | −0.311 | |
| NH3-N | −0.467 | 0.121 | 0.122 | −0.269 | 0.284 | |
| SD | −0.226 | −0.073 | −0.051 | −0.217 | 0.473 | |
| NUT | 0.639 * | −0.446 | −0.990 ** | 0.513 | −0.236 | |
| Cluster 4 | COD | −0.652 * | 0.484 | / | 0.375 | −0.048 |
| BOD5 | −0.482 | −0.402 | / | 0.505 | 0.688 | |
| SS | −0.155 | 0.658 | / | −0.179 | −0.167 | |
| TP | 0.872 ** | −0.398 | / | −0.791 * | 0.868 * | |
| TN | 0.336 | 0.468 | / | −0.571 | −0.124 | |
| NH3-N | −0.202 | −0.540 | / | 0.398 | 0.352 | |
| SD | −0.543 | 0.825 * | / | 0.214 | −0.549 | |
| NUT | 0.578 | 0.469 | / | −0.819 * | −0.129 | |
| Cluster 5 | COD | 0.094 | −0.372 | / | 0.325 | −0.400 |
| BOD5 | −0.881 ** | 0.503 | / | 0.774 * | −0.044 | |
| SS | 0.621 | −0.533 | / | −0.284 | −0.380 | |
| TP | 0.587 | −0.702 | / | −0.565 | 0.136 | |
| TN | 0.735 | −0.588 | / | −0.184 | −0.604 | |
| NH3-N | −0.675 | 0.108 | / | 0.487 | 0.308 | |
| SD | −0.632 | 0.330 | / | 0.208 | 0.576 | |
| NUT | 0.311 | 0.076 | / | −0.459 | 0.154 | |
| Cluster 6 | COD | 0.489 | 0.401 | 0.980 * | −0.454 | 0.289 |
| BOD5 | −0.256 | −0.884 ** | −0.660 | 0.367 | 0.327 | |
| SS | −0.481 | 0.194 | 0.341 | −0.150 | −0.062 | |
| TP | −0.545 | −0.656 | 0.269 | −0.060 | 0.206 | |
| TN | −0.158 | −0.364 | −0.022 | 0.516 | 0.313 | |
| NH3-N | −0.553 | −0.366 | 0.517 | −0.090 | 0.603 | |
| SD | 0.811 | −0.037 | −0.857 | 0.249 | −0.282 | |
| NUT | 0.450 | 0.165 | 0.764 | −0.497 | 0.636 |
© 2018 by the authors. Licensee MDPI, Basel, Switzerland. This article is an open access article distributed under the terms and conditions of the Creative Commons Attribution (CC BY) license (http://creativecommons.org/licenses/by/4.0/).
Share and Cite
Zhang, F.; Wang, J.; Wang, X. Recognizing the Relationship between Spatial Patterns in Water Quality and Land-Use/Cover Types: A Case Study of the Jinghe Oasis in Xinjiang, China. Water 2018, 10, 646. https://doi.org/10.3390/w10050646
Zhang F, Wang J, Wang X. Recognizing the Relationship between Spatial Patterns in Water Quality and Land-Use/Cover Types: A Case Study of the Jinghe Oasis in Xinjiang, China. Water. 2018; 10(5):646. https://doi.org/10.3390/w10050646
Chicago/Turabian StyleZhang, Fei, Juan Wang, and Xiaoping Wang. 2018. "Recognizing the Relationship between Spatial Patterns in Water Quality and Land-Use/Cover Types: A Case Study of the Jinghe Oasis in Xinjiang, China" Water 10, no. 5: 646. https://doi.org/10.3390/w10050646
APA StyleZhang, F., Wang, J., & Wang, X. (2018). Recognizing the Relationship between Spatial Patterns in Water Quality and Land-Use/Cover Types: A Case Study of the Jinghe Oasis in Xinjiang, China. Water, 10(5), 646. https://doi.org/10.3390/w10050646
