Year-Round Irrigation Schedule for a Tomato–Maize Rotation System in Reservoir-Based Irrigation Schemes in Ghana
Abstract
:1. Introduction
2. Materials and Methods
2.1. Study Area
2.2. Model Description
2.3. Data Collection and Preparation
2.3.1. Estimation of Potential Evapotranspiration and Net Irrigation Requirement
2.3.2. Rainfall and Scenario Analyses
2.3.3. Soil Characteristics
2.3.4. Crop Growth and Yield Parameters
2.3.5. Gross Irrigation Amount
2.3.6. Groundwater and Capillary Rise
2.4. Model Parameterization and Validation
2.5. Supplemental Irrigation Requirement for Maize
2.6. Improved Irrigation Scheduling for Tomato
3. Results
3.1. Rainfall Variability
3.2. Crop Growth Parameters
3.3. Crop Yield Components
3.4. Groundwater Level and Capillary Rise
3.5. Traditional Irrigation Scheduling
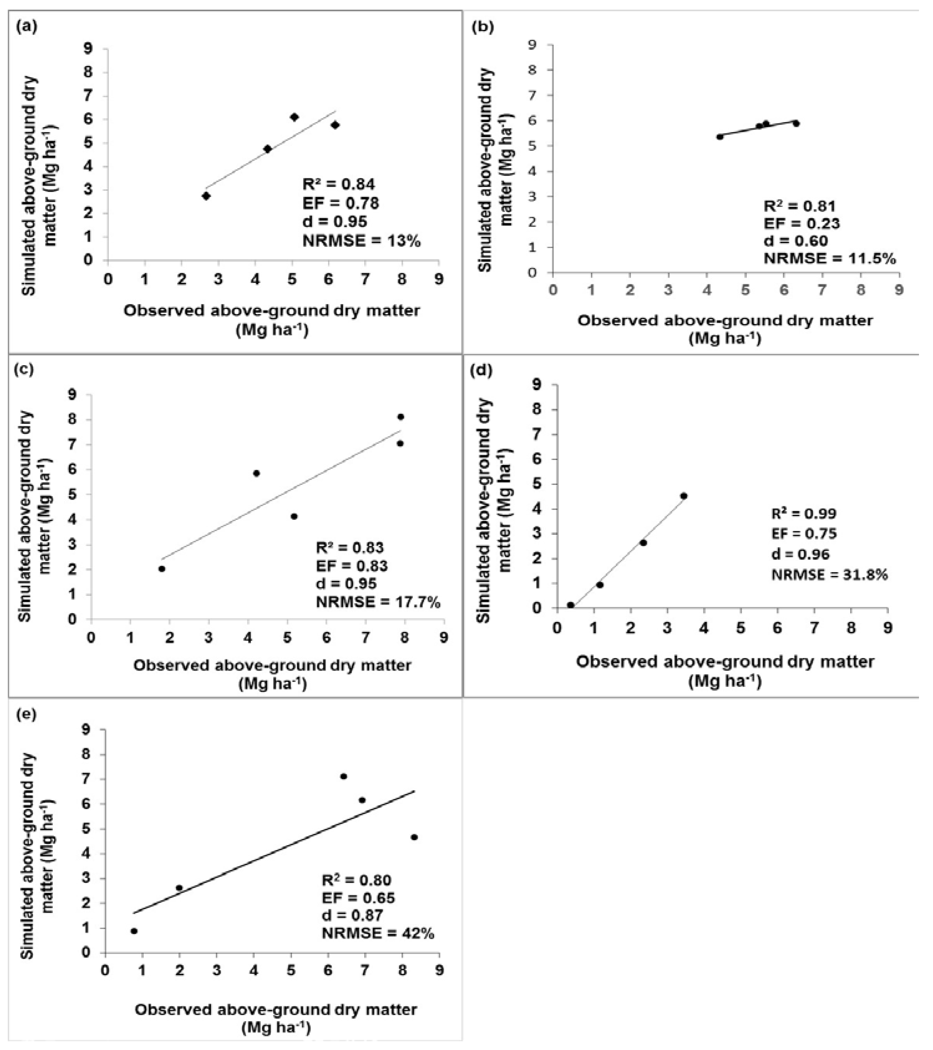
3.6. Model Performance
3.7. Improved Irrigation Schedule for Tomato
3.8. Supplemental Irrigation Requirement for Maize
4. Discussion
4.1. Crop Yields
4.2. Irrigation Practice
4.3. Improved Irrigation Scheduling
4.4. Feasibility of Supplemental Irrigation
5. Conclusions
Author Contributions
Acknowledgments
Conflicts of Interest
Appendix A
| Morphological Horizon (cm) | Exchangeable Cations (cmol kg−1) | Available-Brays | ||||||||||||
|---|---|---|---|---|---|---|---|---|---|---|---|---|---|---|
| pH (1:1 H2O) | OC (%) | Total N (%) | OM (%) | Ca2+ | Mg2+ | K+ | Na+ | TEB (cmol kg−1) | EA (cmol kg−1) | CEC (cmol kg−1) | BS (%) | ppmP | ppmK | |
| Pit 1 | ||||||||||||||
| 0–12 | 6.5 | 1.44 | 0.16 | 2.48 | 3.20 | 0.80 | 0.08 | 0.04 | 4.12 | 0.15 | 4.27 | 96.49 | 26.95 | 31.19 |
| 12–30 | 7.0 | 0.41 | 0.06 | 0.71 | 4.01 | 1.07 | 0.04 | 0.03 | 5.15 | 0.15 | 5.30 | 97.17 | 5.50 | 13.25 |
| 30–56 | 7.2 | 0.34 | 0.04 | 0.59 | 2.94 | 1.07 | 0.03 | 0.03 | 4.07 | 0.05 | 4.12 | 98.79 | 2.55 | 10.56 |
| 56–75 | 7.1 | 0.21 | 0.04 | 0.36 | 1.34 | 1.07 | 0.02 | 0.02 | 2.45 | 0.50 | 2.95 | 83.05 | 1.99 | 8.23 |
| 75–100 | 7.9 | 0.14 | 0.03 | 0.24 | 2.40 | 1.07 | 0.04 | 0.30 | 3.81 | 0.03 | 3.84 | 99.22 | 3.11 | 11.03 |
| 100–125 | 7.9 | 0.07 | 0.02 | 0.12 | 2.14 | 1.60 | 0.03 | 0.03 | 3.80 | 0.03 | 3.83 | 99.22 | 0.88 | 12.98 |
| Pit 2 | ||||||||||||||
| 0–20 | 7.8 | 1.75 | 0.16 | 3.02 | 15.49 | 7.34 | 0.09 | 0.06 | 22.98 | 0.05 | 23.03 | 99.78 | 34.12 | 35.14 |
| 20–44 | 8.4 | 0.51 | 0.07 | 0.88 | 9.08 | 5.07 | 0.10 | 0.06 | 14.31 | 0.03 | 14.34 | 99.79 | 2.79 | 37.12 |
| 44–80 | 8.7 | 0.34 | 0.04 | 0.59 | 7.08 | 4.01 | 0.10 | 0.06 | 11.25 | 0.03 | 11.28 | 99.73 | 0.24 | 38.62 |
| 80–120 | 8.8 | 0.31 | 0.04 | 0.53 | 8.28 | 11.21 | 0.10 | 0.06 | 19.65 | 0.03 | 19.68 | 99.85 | 1.59 | 34.21 |
| Pit 3 | ||||||||||||||
| 0–20 | 7.3 | 0.72 | 0.09 | 1.24 | 3.74 | 1.87 | 0.15 | 0.08 | 5.84 | 0.05 | 5.89 | 99.15 | 13.87 | 52.48 |
| 20–32 | 7.7 | 0.48 | 0.07 | 0.83 | 4.81 | 3.07 | 0.07 | 0.04 | 7.99 | 0.05 | 8.04 | 99.38 | 28.70 | 24.31 |
| 32–57 | 8.5 | 0.45 | 0.07 | 0.78 | 8.01 | 6.14 | 0.08 | 0.04 | 14.27 | 0.05 | 14.32 | 99.65 | 0.40 | 29.67 |
| 57–76 | 8.2 | 0.41 | 0.06 | 0.71 | 10.68 | 8.41 | 0.10 | 0.06 | 19.25 | 0.03 | 19.28 | 99.84 | 0.48 | 35.29 |
| 76–120/128 | 8.2 | 0.31 | 0.05 | 0.53 | 18.16 | 11.35 | 0.19 | 0.08 | 29.78 | 0.05 | 29.83 | 99.83 | 0.48 | 70.13 |
| Morphological Horizon (cm) | Soil Texture | Bulk Density (g cm−3) | SAT (%) | FC (%) | PWP (%) | TAW (%) | Ksat (mm day−1) |
|---|---|---|---|---|---|---|---|
| Pit 1 (Bongo irrigation scheme) | |||||||
| 0–12 | Sandy loam | 1.10 | 49.7 | 16.9 | 6.2 | 10.6 | 1744 |
| 12–30 | Loamy sand | 1.27 | 47.5 | 19.1 | 4.3 | 14.9 | 1816 |
| 30–56 | Sandy loam | 1.26 | 45.8 | 19.1 | 5.8 | 13.3 | 1318 |
| 56–75 | Sandy loam | 1.28 | 46.7 | 14.1 | 4.2 | 9.9 | 1641 |
| 75–100 | Sandy loam | 1.36 | 45.2 | 18.3 | 6.4 | 11.9 | 1109 |
| 100–125 | Sandy loam | 1.44 | 44.2 | 17.8 | 6.3 | 11.6 | 885 |
| Pit 2 (Bongo irrigation scheme) | |||||||
| 0–20 | Silt loam | 1.07 | 51.5 | 34.2 | 11.0 | 23.2 | 632 |
| 20–44 | Loam | 1.32 | 44.6 | 31.1 | 12.6 | 18.5 | 363 |
| 44–80 | Loam | 1.53 | 45.1 | 40.7 | 18.7 | 22.0 | 261 |
| 80–120 | Loam | 1.40 | 45.7 | 44.2 | 14.8 | 29.4 | 192 |
| Pit 3 (Vea irrigation scheme) | |||||||
| 0–20 | Sandy loam | 1.37 | 47.3 | 20.3 | 5.4 | 14.9 | 1473 |
| 20–32 | Sandy loam | 1.59 | 45.3 | 22.0 | 8.8 | 13.2 | 625 |
| 32–57 | Loam | 1.57 | 45.1 | 32.9 | 14.8 | 18.1 | 226 |
| 57–76 | Loam | 1.56 | 47.0 | 38.6 | 14.0 | 24.6 | 159 |
| 76–128 | Clay loam | 1.52 | 49.7 | 47.3 | 17.5 | 29.8 | 86 |
Appendix B
| Parameter | Method of Data Collection | Frequency of Data Collection | Cropping Field (Figure 3) |
|---|---|---|---|
| Maize, 2014 rainy season | |||
| Above-ground biomass | Destructive biomass sampling along a 1 m rod on three selected rows Destructive biomass sampling in two 8 m row sections at harvest | Three times during the crop reproduction stage at two weeks interval, and once at harvest time | BF1, VF1, BNF1 |
| Plant density | Counting of total number of plants along the 1 m rod on the three selected rows Estimation of the sampling area | Three times during the crop reproduction stage at two weeks interval | BF1, VF1, BNF1 |
| Row spacing | The average distance between two adjacent rows at five random locations | Once during the reproduction stage | BF1, VF1, BNF1 |
| Maximum rooting depth | Manual excavations of at least three plants per crop | Once at harvest time | BF1, VF1, BNF1 |
| Crop yield | Harvesting and weighing of total maize grain yield from two 8 m row sections | Once at harvest time | BF1, VF1, BNF1 |
| Tomato, 2014–2015 dry season | |||
| Above-ground biomass | Destructive biomass sampling along a 1 m rod on three selected rows Destructive biomass sampling in two 8 m row sections at harvest | Four times during the vegetative and reproduction stages, and once at harvest time | BF1, BF6, VF1, BNF1 |
| Plant density | Counting of total number of plants along the 1 m rod on the three selected rows Estimation of the sampling area | Four times during the vegetative and reproduction stages | BF1, BF6, VF1, BNF1 |
| Leaf area index | Measurements with the SunScan probe (SS1-UM-2.0) at five random locations | Four times during the vegetative and reproduction stages | BF1, BF6, VF1, BNF1 |
| Row spacing | The average distance between two adjacent rows at five random locations | Once at harvest time | BF1, BF6, VF1, BNF1 |
| Maximum rooting depth | Manual excavations of at least three plants per crop | Once at harvest time | BF1, BF6, VF1 |
| Crop yield | Harvesting and weighing of total tomato fruits from two 8 m row sections | Once at harvest time | BF1, BF6 |
| Tomato, 2015–2016 dry season | |||
| Above-ground biomass | Destructive biomass sampling along a 1 m rod on three selected rows Destructive biomass sampling in two 8 m row sections at harvest | Four times during the vegetative and reproduction stages | BF1, BF6, VF1, BNF1 |
| Plant density | Counting of total number of plants along the 1 m rod on the three selected rows Estimation of the sampling area | Four times during the vegetative and reproduction stages | BF1, BF6, VF1, BNF1 |
| Row spacing | The average distance between two adjacent rows at five random locations | Once during the reproduction stage | BF1, BF6, VF1, BNF1 |
| Maximum rooting depth | Manual excavations of at least three plants per crop | Once at harvest time | BF1, BF6, VF1, BNF1 |
| Crop yield | Harvesting and weighing of total tomato fruits from two 8 m row sections | Once at harvest time | BF6, and fields close to BF1, VF1, BNF1 |
References
- Cook, K.H.; Vizy, E.K. Impact of climate change on mid-twenty-first century growing seasons in Africa. Clim. Dyn. 2012, 39, 2937–2955. [Google Scholar] [CrossRef]
- Sylla, M.B.; Nikiema, P.M.; Gibba, P.; Kebe, I.; Klutse, N.A.B. Climate Change over West Africa: Recent Trends and Future Projections. In Adaptation to Climate Change and Variability in Rural West Africa; Springer: Cham, Switzerland, 2016; pp. 25–40. [Google Scholar]
- Sanfo, S.; Barbier, B.; Dabiré, I.W.P.; Vlek, P.L.G.; Fonta, W.M.; Ibrahim, B.; Barry, B. Rainfall variability adaptation strategies: An ex-ante assessment of supplemental irrigation from farm ponds in southern Burkina Faso. Agric. Syst. 2017, 152, 80–89. [Google Scholar] [CrossRef]
- McCartney, M.; Smakhtin, V. Water Storage in An Era of Climate Change: Addressing the Challenges of Increasing Rainfall Variability; International Water Management Institute Blue Paper; IWMI: Colombo, Sri Lanka, 2010; pp. 1–24. Available online: https://www.agriskmanagementforum.org/sites/agriskmanagementforum.org/files/Documents/water%20storage%20in%20era%20of%20climate%20change%20IWMI%20Blue_Paper_2010-final.pdf (accessed on 20 November 2016).
- Rockström, J.; Barron, J. Water productivity in rainfed systems: Overview of challenges and analysis of opportunities in water scarcity prone savannahs. Irrig. Sci. 2007, 25, 299–311. [Google Scholar] [CrossRef]
- Adwubi, A.; Amegashie, B.K.; Agyare, W.A.; Tamene, L.; Odai, S.N.; Quansah, C.; Vlek, P. Assessing sediment inputs to small reservoirs in Upper East Region, Ghana. Lakes Reserv. Res. Manag. 2009, 14, 279–287. [Google Scholar] [CrossRef]
- Kranjac-Berisavljevic, G.; Abdul-Ghanyu, S.; Gandaa, B.Z.; Abagale, F.K. Dry Spells Occurrence in Tamale, Northern Ghana–Review of Available Information. J. Disaster Res. 2014, 9, 468–474. [Google Scholar] [CrossRef]
- Dzanku, F.M.; Jirström, M.; Marstorp, H. Yield Gap-Based Poverty Gaps in Rural Sub-Saharan Africa. World Dev. 2015, 67, 336–362. [Google Scholar] [CrossRef]
- Folberth, C.; Yang, H.; Gaiser, T.; Abbaspour, K.C.; Schulin, R. Modeling maize yield responses to improvement in nutrient, water and cultivar inputs in sub-Saharan Africa. Agric. Syst. 2013, 119, 22–34. [Google Scholar] [CrossRef]
- Vlek, P.L.G.; Khamzina, A.; Tamene, L. Land Degradation and the Sustainable Development Goals: Threats and Potential Remedies; CIAT Publication No. 440; International Center for Tropical Agriculture (CIAT): Nairobi, Kenya, 2017; Available online: http://hdl.handle.net/10568/81313 (accessed on 9 May 2018).
- Drechsel, P.; Gyiele, L.; Kunze, D.; Cofie, O. Population density, soil nutrient depletion, and economic growth in sub-Saharan Africa. Ecol. Econ. 2001, 38, 251–258. [Google Scholar] [CrossRef]
- Vlek, P.L.G.; Khamzina, A.; Azadi, H.; Bhaduri, A.; Bharati, L.; Braimoh, A.; Martius, C.; Sunderland, T.; Taheri, F. Trade-offs in multi-purpose land use under land degradation. Sustainability 2017, 9, 2196. [Google Scholar] [CrossRef]
- Henao, J.; Baanante, C. Agricultural Production and Soil Nutrient Mining in Africa: Implications for Resource Conservation and Policy Development; International Center for Soil Fertility and Agricultural Development: Muscle Shoals, AL, USA, 2006. [Google Scholar]
- Droogers, P.; Aerts, J. Adaptation strategies to climate change and climate variability: A comparative study between seven contrasting river basins. Phys. Chem. Earth Parts ABC 2005, 30, 339–346. [Google Scholar] [CrossRef]
- Molden, D.; Oweis, T.; Steduto, P.; Bindraban, P.; Hanjra, M.A.; Kijne, J. Improving agricultural water productivity: Between optimism and caution. Agric. Water Manag. 2010, 97, 528–535. [Google Scholar] [CrossRef]
- Mustapha, A.B. Effect of Dryspell Mitigation with Supplemental Irrigation on Yield and Water Use Efficiency of Pearl Millet in Dry Sub-Humid Agroecological Condition of Maiduguri. In Proceedings of the 2nd International Conference on Environment Science and Biotechnology; IACSIT Press: Singapore, 2012; pp. 46–49. [Google Scholar]
- Zwart, S.J.; Bastiaanssen, W.G.M. Review of measured crop water productivity values for irrigated wheat, rice, cotton and maize. Agric. Water Manag. 2004, 69, 115–133. [Google Scholar] [CrossRef]
- Ali, M.H.; Talukder, M.S.U. Increasing water productivity in crop production—A synthesis. Agric. Water Manag. 2008, 95, 1201–1213. [Google Scholar] [CrossRef]
- Sekyi-Annan, E.; Tischbein, B.; Diekkrüger, B.; Khamzina, A. Performance evaluation of reservoir-based irrigation schemes in the Upper East region of Ghana. Agric. Water Manag. 2018, 202, 134–145. [Google Scholar] [CrossRef]
- Pereira, L.S. Relating water productivity and crop evapotranspiration. Options Méditerr. Ser. B 2007, 57, 31–49. [Google Scholar]
- Greaves, G.E.; Wang, Y.-M. Assessment of FAO AquaCrop Model for Simulating Maize Growth and Productivity under Deficit Irrigation in a Tropical Environment. Water 2016, 8, 557. [Google Scholar] [CrossRef]
- Steduto, P.; Hsiao, T.C.; Fereres, E.; Reas, D. Crop Yield Response to Water; Food and Agriculture Organization of the United Nations: Rome, Italy, 2012; Available online: http://www.fao.org/docrep/016/i2800e/i2800e.pdf (accessed on 13 November 2016).
- Sekyi-Annan, E.; Acheampong, E.N.; Ozor, N. Modeling the Impact of Climate Variability on Crops in Sub-Saharan Africa. In Quantification of Climate Variability, Adaptation and Mitigation for Agricultural Sustainability; Springer International Publishing: Cham, Switzerland, 2017; pp. 39–70. [Google Scholar]
- Gaydon, D.S.; Balwinder-Singh; Wang, E.; Poulton, P.L.; Ahmad, B.; Ahmed, F.; Akhter, S.; Ali, I.; Amarasingha, R.; Chaki, A.K.; et al. Evaluation of the APSIM model in cropping systems of Asia. Field Crops Res. 2017, 204, 52–75. [Google Scholar] [CrossRef]
- Sommer, R.; Kienzler, K.; Christopher, C.; Ibragimov, N.; Lamers, J.; Martius, C.; Vlek, P. Evaluation of the CropSyst model for simulating the potential yield of cotton. Agron. Sustain. Dev. 2008, 28, 345–354. [Google Scholar] [CrossRef]
- Fortes, P.S.; Teodoro, P.R.; Campos, A.A.; Mateus, P.M.; Pereira, L.S. Model tools for irrigation scheduling simulation: WINISAREG and GISAREG. In Irrigation Management for Combating Desertification in the Aral Sea Basin. Assessment and Tools; Vita Color Publication: Tashkent, Uzbekistan, 2005; pp. 81–96. [Google Scholar]
- Jones, J.W.; Hoogenboom, G.; Porter, C.H.; Boote, K.J.; Batchelor, W.D.; Hunt, L.A.; Wilkens, P.W.; Singh, U.; Gijsman, A.J.; Ritchi, J.T. The DSSAT cropping system model. Eur. J. Agron. 2003, 18, 235–265. [Google Scholar] [CrossRef]
- Surendran, U.; Sushanth, C.M.; Mammen, G.; Joseph, E.J. Modelling the Crop Water Requirement Using FAO-CROPWAT and Assessment of Water Resources for Sustainable Water Resource Management: A Case Study in Palakkad District of Humid Tropical Kerala, India. Aquat. Procedia 2015, 4, 1211–1219. [Google Scholar] [CrossRef]
- Wang, X.C.; Li, J. Evaluation of crop yield and soil water estimates using the EPIC model for the Loess Plateau of China. Math. Comput. Model. 2010, 51, 1390–1397. [Google Scholar] [CrossRef]
- Wellens, J.; Raes, D.; Traore, F.; Denis, A.; Djaby, B.; Tychon, B. Performance assessment of the FAO AquaCrop model for irrigated cabbage on farmer plots in a semi-arid environment. Agric. Water Manag. 2013, 127, 40–47. [Google Scholar] [CrossRef]
- Walker, S.; Bello, Z.A.; Mabhaudhi, T.; Modi, A.T.; Beletse, Y.G.; Zuma-Netshiukhwi, G. Calibration of AquaCrop Model to predict water requirements of African vegetables. Acta Hortic. 2013, 1007, 943–949. [Google Scholar] [CrossRef]
- Mabhaudhi, T.; Modi, A.T.; Beletse, Y.G. Parameterisation and evaluation of the FAO-AquaCrop model for a South African taro (Colocasia esculenta L. Schott) landrace. Agric. For. Meteorol. 2014, 192–193, 132–139. [Google Scholar] [CrossRef]
- Faulkner, J.W.; Steenhuis, T.; van de Giesen, N.; Andreini, M.; Liebe, J.R. Water use and productivity of two small reservoir irrigation schemes in Ghana’s upper east region. Irrig. Drain. 2008, 57, 151–163. [Google Scholar] [CrossRef]
- Mdemu, M.V. Water Productivity in Medium and Small Reservoirs in the Upper East Region (UER) of Ghana. Ph.D. Thesis, University of Bonn, Bonn, Germany, 2008. Available online: http://hss.ulb.uni-bonn.de/2008/1362/1362.pdf (accessed on 21 October 2016).
- Barry, B.; Forkuor, G. Contribution of Informal Shallow Groundwater Irrigation to Livelihoods Security and Poverty Reduction in the White Volta Basin (WVB): Current Status and Future Sustainability; International Water Management Institute: Colombo, Sri Lanka, 2010; Available online: https://cgspace.cgiar.org/bitstream/handle/10568/3940/PN65_IWMI_Project%20Report_May10_final.pdf?sequence=1&isAllowed=y (accessed on 22 February 2017).
- Asres, S.B. Evaluating and enhancing irrigation water management in the upper Blue Nile basin, Ethiopia: The case of Koga large scale irrigation scheme. Agric. Water Manag. 2016, 170, 26–35. [Google Scholar] [CrossRef]
- Fox, P.; Rockström, J. Supplemental irrigation for dry-spell mitigation of rainfed agriculture in the Sahel. Agric. Water Manag. 2003, 61, 29–50. [Google Scholar] [CrossRef]
- Srivastava, A.K.; Mboh, C.M.; Gaiser, T.; Ewert, F. Impact of climatic variables on the spatial and temporal variability of crop yield and biomass gap in Sub-Saharan Africa—A case study in Central Ghana. Field Crops Res. 2017, 203, 33–46. [Google Scholar] [CrossRef]
- Raes, D.; Steduto, P.; Hsiao, T.C.; Fereres, E. Chapter 2—Users guide. In Reference Manual: AquaCrop, Version 4.0; FAO, Land and Water Division: Rome, Italy, 2012; pp. 1–164. [Google Scholar]
- Allen, R.G.; Pereira, L.S.; Raes, D.; Smith, M. Crop Evapotranspiration: Guidelines for Computing Crop Water Requirements; Food and Agricultural Organization of the United Nations: Rome, Italy, 1998; Available online: https://www.unirc.it/documentazione/materiale_didattico/1462_2016_412_24101.pdf (accessed on 15 November 2016).
- Doorenbos, J.; Pruitt, W.O.; Aboukhaled, A.; Damagnez, J.; Dastane, N.G.; Van Den Berg, C.; Rijtema, P.E.; Ashford, O.M.; Frère, M. Crop Water Requirements; FAO Irrigation and Drainage Paper No. 24; Food and Agriculture Organization of the United Nations: Rome, Italy, 1992; pp. 70–72. [Google Scholar]
- Amekudzi, L.; Yamba, E.; Preko, K.; Asare, E.; Aryee, J.; Baidu, M.; Codjoe, S. Variabilities in Rainfall Onset, Cessation and Length of Rainy Season for the Various Agro-Ecological Zones of Ghana. Climate 2015, 3, 416–434. [Google Scholar] [CrossRef]
- Raes, D. Frequency Analysis of Rainfall Data; International Centre for Theoretical Physics (ICTP): Leuven, Belgium, 2004; Available online: http://indico.ictp.it/event/a12165/session/21/contribution/16/material/0/0.pdf (accessed on 3 January 2017).
- Mbah, C.N. Determining the field capacity, wilting point and available water capacity of some Southeast Nigerian soils using soil saturation from capillary rise. Niger. J. Biotechnol. 2012, 24, 41–47. [Google Scholar]
- Pedescoll, A.; Samsó, R.; Romero, E.; Puigagut, J.; García, J. Reliability, repeatability and accuracy of the falling head method for hydraulic conductivity measurements under laboratory conditions. Ecol. Eng. 2011, 37, 754–757. [Google Scholar] [CrossRef]
- Saxton, K.E.; Rawls, W.J. Soil Water Characteristic Estimates by Texture and Organic Matter for Hydrologic Solutions. Soil Sci. Soc. Am. J. 2006, 70, 1569–1578. [Google Scholar] [CrossRef]
- Bell, M.A.; Fischer, R.A. Guide to Plant and Crops Sampling: Measurements and Observations for Agronomic and Physiological Research in Small Grain Cereals; CIMMYT: Mexico City, Mexico, 1994; Available online: http://libcatalog.cimmyt.org/download/cim/53067.pdf (accessed on 11 November 2016).
- Raes, D.; Steduto, P.; Hsiao, T.C.; Fereres, E. Chapter 3: Calculation procedures. In Reference Manual: AquaCrop, Version 4.0; FAO, Land and Water Division: Rome, Italy, 2012; pp. 1–130. [Google Scholar]
- Adu-Dapaah, H.K.; Oppong-Konadu, E.Y. Tomato production in four major tomato-growing districts in Ghana: Farming practices and production constraints. Ghana J. Agric. Sci. 2002, 35, 11–22. [Google Scholar] [CrossRef]
- Sallah, P.Y.K.; Twumasi-Afriyie, S.; Kasei, C. Optimum planting dates for four maturity groups of maize varieties grown in the Guinea savanna zone. Ghana J. Agric. Sci. 1997, 30, 63–69. [Google Scholar] [CrossRef]
- Sugri, I.; Kanton, R.A.L.; Kusi, F.; Nutsugah, S.K.; Buah, S.S.J.; Zakaria, M. Influence of Current Seed Programme of Ghana on Maize (Zea mays) Seed Security. Res. J. Seed Sci. 2013, 6, 29–39. [Google Scholar] [CrossRef]
- Bos, M.G.; Kselik, R.A.; Allen, R.G.; Molden, D. Capillary Rise. In Water Requirements for Irrigation and the Environment; Springer Netherlands: Dordrecht, The Netherlands, 2009; pp. 103–118. [Google Scholar]












| Data Required | Model Parameterization | Inter-Farm Model Validation |
|---|---|---|
| Site conditions | ||
| Cropping field | VF1 (2014) | BF1 (2014) |
| Crop variety | ‘Obatanpa’ | ‘Obatanpa’ |
| Growing cycle | 3 July, 2014–25 August, 2014 | 24 May, 2014–14 August, 2014 |
| Planting method | Direct sowing | Direct sowing |
| Soil fertility in relation to biomass | Poor | Poor |
| Initial canopy cover | High canopy cover | High canopy cover |
| Maximum canopy cover | Fairly covered | Fairly covered |
| Maximum rooting depth | 0.30 m | 0.36 m |
| Harvest index | 0.51 | 0.53 |
| Crop development | In growing degree days | In growing degree days |
| Field management | ||
| Soil surface cover | No mulch | No mulch |
| Soil physical characteristics | Field capacity, wilting point, soil moisture, texture, and thickness of soil layer from soil pit 3 in BNF1 | Field capacity, wilting point, soil moisture, texture, and thickness of soil layer from soil pit 1 in BF1 |
| Groundwater level | Weekly depth to groundwater table from VF1 well | Weekly depth to groundwater table from BR well |
| Simulation period | Calendar of growing cycle | Calendar of growing cycle |
| Field data file | Aboveground dry matter from VF1 | Aboveground dry matter from BF1 |
| Data Required | Model Parameterization | Inter-Farm Model Validation | Inter-Seasonal Validation |
|---|---|---|---|
| Site conditions | |||
| Cropping field | BF1 (2014–2015) | BF6 (2014–2015) | BF1 (2015–2016) |
| Crop variety | ‘Buffalo’ | ‘Buffalo’ | ‘Buffalo’ |
| Growing cycle | 22 October 22, 2014–11 February, 2015 | 11 November, 2014–6 March, 2015 | 23 November, 2015–18 March, 2016 |
| Planting method | Transplanting | Transplanting | Transplanting |
| Soil fertility in relation to biomass | Moderate | Moderate | Moderate |
| Initial canopy cover | Very small cover | Very small cover | Very small cover |
| Maximum canopy cover | Fairly covered | Fairly covered | Fairly covered |
| Maximum rooting depth | 0.35 m | 0.37 m | 0.28 m |
| Harvest index | 0.29 | 0.29 | 0.21 |
| Crop development | In growing degree days | In growing degree days | In growing degree days |
| Field management | |||
| Soil surface cover | No mulch | No mulch | No mulch |
| Irrigation practice | Irrigation amount per event in mm from BF1 | Irrigation amount per event in mm from BF6 | Irrigation amount per event in mm from BF6 |
| Soil physical characteristics | Field capacity, wilting point, soil moisture, texture, and thickness of soil layer from soil pit 1 in BF1 | Field capacity, wilting point, soil moisture, texture, and thickness of soil layer field from soil pit 2 near BF6 | Field capacity, wilting point, soil moisture, texture, and thickness of soil layer from soil pit 1 in BF1 |
| Groundwater level | Weekly depth to groundwater table from BR well | Weekly depth to groundwater table from BD well | Weekly depth to groundwater table from BR well |
| Simulation period | Calendar of growing cycle | Calendar of growing cycle | Calendar of growing cycle |
| Field data file | Aboveground dry matter from BF1 | Aboveground dry matter from BF6 | Aboveground dry matter from BF1 |
| Crop Type | Farm Label | Plant Density (plants m−2) | Maximum Rooting Depth (m) | Fresh Yield (Mg ha−1) | Dry Yield (Mg ha−1) | Harvest Index |
|---|---|---|---|---|---|---|
| Bongo irrigation scheme | 2014 rainy season | |||||
| Maize | BF1 | 4.4 | 0.36 | n.d. | 2.9 | 0.53 |
| 2014–2015 dry season | ||||||
| Tomato | BF1 | 3.5 | 0.35 | 49.2 | 2.3 | 0.29 |
| Tomato | BF6 | 3.3 | 0.37 | 34.3 | 2.5 | n.d. |
| 2015–2016 dry season | ||||||
| Tomato | BF1 | 3.6 | 0.28 | 42.8 | 1.4 | 0.22 |
| Tomato | BF6 | 4.2 | n.d. | 39.6 | 1.6 | 0.21 |
| Vea irrigation scheme | 2014 rainy season | |||||
| Maize | VF1 | 5.5 | 0.30 | n.d. | 2.6 | 0.51 |
| Maize | BNF1 | 4.1 | 0.35 | n.d. | 1.2 | 0.41 |
| 2015–2016 dry season | ||||||
| Tomato | VF1 | 3.3 | 0.24 | 35.3 | 1.6 | 0.29 |
| Tomato | BNF1 | 3.5 | 0.29 | 51.3 | 2.2 | 0.30 |
| Field Label | Gross Irrigation Amount Per Season (mm) | Gross Irrigation Amount Per Event (mm) | Average Irrigation Interval (day) | Water Productivity (kg m−3) |
|---|---|---|---|---|
| Bongo irrigation scheme | 2014–2015 | |||
| BF1 | 586 | 19–50 | 4 | 8.4 |
| BF6 | 1247 | 17–137 | 5 | 2.7 |
| 2015–2016 | ||||
| BF1 | 1719 | 20–93 | 3 | 2.5 |
| BF6 | 2559 | 14–133 | 2 | 1.5 |
| Vea irrigation scheme | 2014–2015 | |||
| VF1 | 615 | 13–35 | 5 | n.d. |
| BNF1 | 584 | 21–42 | 5 | n.d. |
| 2015–2016 | ||||
| BNF1 | 1137 | 33–79 | 4 | 4.5 |
| Field Label | Potential Water Saving (mm) | Tomato Yield under Traditional Irrigation (Mg ha−1) | Tomato Yield under Improved Irrigation (Mg ha−1) | Potential Yield Increase (%) |
|---|---|---|---|---|
| BF1 (2014–2015) | 130 | 2.30 | 2.40 | 4 |
| BF6 (2014–2015) | 775 | 2.01 | 2.30 | 14 |
| BF1 (2015–2016) | 1,325 | 1.58 | 1.79 | 14 |
© 2018 by the authors. Licensee MDPI, Basel, Switzerland. This article is an open access article distributed under the terms and conditions of the Creative Commons Attribution (CC BY) license (http://creativecommons.org/licenses/by/4.0/).
Share and Cite
Sekyi-Annan, E.; Tischbein, B.; Diekkrüger, B.; Khamzina, A. Year-Round Irrigation Schedule for a Tomato–Maize Rotation System in Reservoir-Based Irrigation Schemes in Ghana. Water 2018, 10, 624. https://doi.org/10.3390/w10050624
Sekyi-Annan E, Tischbein B, Diekkrüger B, Khamzina A. Year-Round Irrigation Schedule for a Tomato–Maize Rotation System in Reservoir-Based Irrigation Schemes in Ghana. Water. 2018; 10(5):624. https://doi.org/10.3390/w10050624
Chicago/Turabian StyleSekyi-Annan, Ephraim, Bernhard Tischbein, Bernd Diekkrüger, and Asia Khamzina. 2018. "Year-Round Irrigation Schedule for a Tomato–Maize Rotation System in Reservoir-Based Irrigation Schemes in Ghana" Water 10, no. 5: 624. https://doi.org/10.3390/w10050624
APA StyleSekyi-Annan, E., Tischbein, B., Diekkrüger, B., & Khamzina, A. (2018). Year-Round Irrigation Schedule for a Tomato–Maize Rotation System in Reservoir-Based Irrigation Schemes in Ghana. Water, 10(5), 624. https://doi.org/10.3390/w10050624

