Nitrogen and Organics Removal during Riverbank Filtration along a Reclaimed Water Restored River in Beijing, China
Abstract
:1. Introduction
2. Materials and Methods
2.1. Site Description
2.2. Water Sample Collection
2.3. Water Quality Analysis
2.4. Statistical Analysis
3. Results and Discussion
3.1. Groundwater Flow Conditions
3.2. Attenuation of Nitrogen and COD through the RBF System
3.2.1. Water Quality of River Water and Reclaimed Water
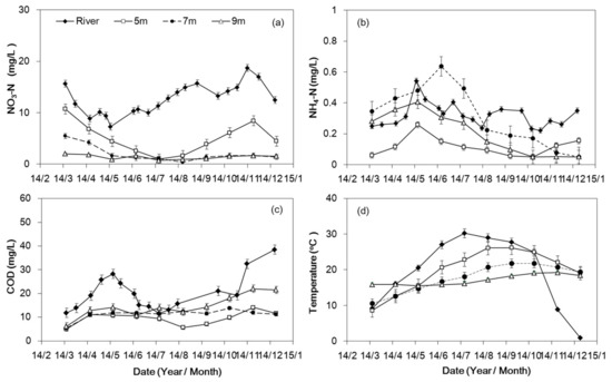
3.2.2. Removal of NO3-N
3.2.3. Removal of NH4-N
3.2.4. Removal of COD
3.3. Temporal Variations of Nitrogen and COD in Groundwater
3.4. Vertical Distribution of Nitrogen and COD
4. Conclusions
Acknowledgments
Author Contributions
Conflicts of Interest
References
- Chu, J.Y.; Chen, J.N.; Wang, C.; Fu, P. Wastewater reuse potential analysis: Implications for China’s water resources management. Water Res. 2004, 38, 2746–2756. [Google Scholar] [CrossRef] [PubMed]
- Yu, Y.L.; Song, X.F.; Zhang, Y.H.; Zheng, F.D.; Liu, L.C. Impact of reclaimed water in the watercourse of Huai River on groundwater from Chaobai River basin, Northern China. Front. Earth Sci. 2017, 11, 643–659. [Google Scholar] [CrossRef]
- Ernst, M.; Sperlich, A.; Zheng, X.; Gan, Y.; Hu, J.; Zhao, X.; Wang, J.; Jekel, M. An integrated wastewater treatment and reuse concept for the Olympic Park 2008, Beijing. Desalination 2007, 202, 293–301. [Google Scholar] [CrossRef]
- Fan, Q.; Liu, W.; Jiao, Z.; Sun, F. Beijing Water Resources Bulletin; Beijing Hydrological Station: Beijing, China, 2015. [Google Scholar]
- Huang, X.R.; Xiong, W.; Liu, W.; Guo, X.Y. Effect of reclaimed water effluent on bacterial community structure in the Typha angustifolia L. rhizosphere soil of urbanized riverside wetland, China. J. Environ. Sci. 2017, 55, 58–68. [Google Scholar] [CrossRef] [PubMed]
- Chen, W.P.; Lu, S.D.; Jiao, W.T.; Wang, M.E.; Chang, A.C. Reclaimed water: A safe irrigation water source? Environ. Dev. 2013, 8, 74–83. [Google Scholar] [CrossRef]
- Ray, C.; Grischek, T.; Schubert, J.; Wang, J.Z.; Speth, T.F. A perspective of riverbank filtration. J. Am. Water Works Assoc. 2002, 94, 149–160. [Google Scholar] [CrossRef]
- Tyagi, S.; Dobhal, R.; Kimothi, P.C.; Adlakha, L.K.; Singh, P.; Uniyal, D.P. Studies of river water quality using river bank filtration in Uttarakhand, India. Water Qual. Expo. Health 2013, 5, 139–148. [Google Scholar] [CrossRef]
- Voeroesmarty, C.J.; McIntyre, P.B.; Genssner, M.O.; Dudgeon, D.; Prusevich, A.; Green, P.; Bunn, E.S.; Sullivan, A.C.; Liermann, R.C.; Davies, M.P. Global threats to human water security and river biodiversity. Nature 2010, 467, 555–561. [Google Scholar] [CrossRef] [PubMed]
- Ray, C. Worldwide potential of riverbank filtration. Clean Tech. Environ. Policy 2008, 10, 223–225. [Google Scholar] [CrossRef]
- Schiermeier, Q. Water on tap. Nature 2014, 510, 326–328. [Google Scholar] [CrossRef] [PubMed]
- Hu, B.; Teng, Y.G.; Zhai, Y.Z.; Zuo, R.; Li, J.; Chen, H.Y. Riverbank filtration in China: A review and perspective. J. Hydrol. 2016, 541, 914–927. [Google Scholar] [CrossRef]
- Hiscock, K.M.; Grischek, T. Attenuation of groundwater pollution by bank filtration. J. Hydrol. 2002, 266, 139–144. [Google Scholar] [CrossRef]
- Hayakawa, A.; Ikeda, S.; Tsushima, R.; Ishikawa, Y.; Hidaka, S. Spatial and temporal variations in nutrients in water and riverbed sediments at the mouths of rivers that enter Lake Hachiro, a shallow eutrophic lake in Japan. Catena 2015, 133, 486–494. [Google Scholar] [CrossRef]
- Maeng, S.K.; Sharma, S.K.; Lekkerkerker-Teunissen, K.; Amy, G.L. Occurrence and fate of bulk organic matter and pharmaceutically active compounds in managed aquifer recharge: A review. Water Res. 2011, 45, 3015–3033. [Google Scholar] [CrossRef] [PubMed]
- Carrey, R.; Rodriguez-Escales, P.; Otero, N.; Ayora, C.; Soler, A.; Gómez-Alday, J.J. Nitrate attenuation potential of hypersaline lake sediments in central Spain: Flow-through and batch experiments. J. Contam. Hydrol. 2014, 164, 323–337. [Google Scholar] [CrossRef] [PubMed]
- Herrman, K.S.; Bouchard, V.; Moore, R.H. Factors affecting denitrification in agricultural headwater streams in Northeast Ohio, USA. Hydrobiologia 2008, 598, 305–314. [Google Scholar] [CrossRef]
- Laverman, A.M.; Garnier, J.A.; Mounier, E.M.; Roose-Amsaleg, C.L. Nitrous oxide production kinetics during nitrate reduction in river sediments. Water Res. 2010, 44, 1753–1764. [Google Scholar] [CrossRef] [PubMed]
- Grischek, T.; Hiscock, K.M.; Metschies, T.; Dennis, P.F.; Nestler, W. Factors affecting denitrification during infiltration of river water into a sand and gravel aquifer in Saxony, Germany. Water Res. 1998, 32, 450–460. [Google Scholar] [CrossRef]
- Filter, J.; Jekel, M.; Ruhl, A.S. Impacts of accumulated particulate organic matter on oxygen consumption and organic micro-pollutant elimination in bank filtration and soil aquifer treatment. Water 2017, 9, 349. [Google Scholar] [CrossRef]
- Schoenheinz, D.; Grischek, T. Behavior of Dissolved Organic Carbon During Bank Filtration under Extreme Climate Conditions; Springer: Dordrecht, The Netherlands, 2011; pp. 51–67. [Google Scholar] [CrossRef]
- Bertelkamp, C.; Verliefde, A.R.D.; Schoutteten, K.; Vanhaecke, L.; Vanden, B.J.; Singhal, N.; van der Hoek, J.P. The effect of redox conditions and adaptation time on organic micropollutant removal during river bank filtration: A laboratory-scale column study. Sci. Total Environ. 2016, 544, 309–318. [Google Scholar] [CrossRef] [PubMed]
- Maeng, S.K.; Ameda, E.; Sharma, S.K.; Grützmacher, G.; Amy, G.L. Organic micropollutant removal from wastewater effluent-impacted drinking water sources during bank filtration and artificial recharge. Water Res. 2010, 44, 4003–4014. [Google Scholar] [CrossRef] [PubMed]
- Hoppe-Jones, C.; Oldham, G.; Drewes, J.E. Attenuation of total organic carbon and unregulated trace organic chemicals in U.S. riverbank filtration systems. Water Res. 2010, 44, 4643–4659. [Google Scholar] [CrossRef] [PubMed]
- Abel, C.D.T.; Sharma, S.K.; Malolo, Y.N.; Maeng, S.K.; Kennedy, M.D.; Amy, G.L. Attenuation of bulk organic matter, nutrients (N and P), and pathogen indicators during soil passage: Effect of temperature and redox conditions in simulated soil aquifer treatment (SAT). Water Air Soil Pollut. 2014, 223, 5205–5220. [Google Scholar] [CrossRef]
- Grünheid, S.; Amy, G.; Jekel, M. Removal of bulk dissolved organic carbon (DOC) and trace organic compounds by bank filtration and artificial recharge. Water Res. 2005, 39, 3219–3228. [Google Scholar] [CrossRef] [PubMed]
- Im, H.; Yeo, I.; Maeng, S.K.; Park, C.H.; Choi, H. Simultaneous attenuation of pharmaceuticals, organic matter, and nutrients in wastewater effluent through managed aquifer recharge: Batch and column studies. Chemosphere 2016, 143, 135–141. [Google Scholar] [CrossRef] [PubMed]
- Yang, L.; He, J.T.; Liu, Y.; Wang, J.; Jiang, L.; Wang, G.C. Characteristics of change in water quality along reclaimed water intake area of the Chaobai River in Beijing, China. J. Environ. Sci. 2015, 50, 93–102. [Google Scholar] [CrossRef] [PubMed]
- Li, Z.; Xiang, X.; Li, M.; Ma, Y.P.; Wang, J.H.; Liu, X. Occurrence and risk assessment of pharmaceuticals and personal care products and endocrine disrupting chemicals in reclaimed water and receiving groundwater in China. Ecotoxicol. Environ. Saf. 2015, 119, 74–80. [Google Scholar] [CrossRef] [PubMed]
- Schaap, M.G.; Leij, F.J.; van Genuchten, M.T. Rosetta: A computer program for estimating soil hydraulic parameters with hierarchical pedotransfer functions. J. Hydrol. 2001, 251, 163–176. [Google Scholar] [CrossRef]
- Wei, F.S.; Qi, W.Q.; Sun, Z.G.; Huang, Y.R.; Shen, Y.W. Water and Wastewater Monitoring and Analysis Method; China Environmental Science Press: Beijing, China, 2002; ISBN 978-7-8016-3400-9. [Google Scholar]
- Zhang, W.Z. Groundwater and Soil Water Dynamics; China Hydraulic and Power Press: Beijing, China, 1996; ISBN 780-1-2413-04. [Google Scholar]
- Tufenkji, N.; Ryan, J.N.; Elimelech, M. The promise of bank filtration. Environ. Sci. Technol. 2002, 36, 423–428. [Google Scholar] [CrossRef]
- Metcalf & Eddy, Inc. Wastewater Engineering: Treatment and Reuse, 4th ed.; McGraw-Hill Inc.: New York, NY, USA, 2003; ISBN 978-0-0734-0118-8. [Google Scholar]
- Brady, N.C.; Weil, R.R. The Nature and Properties of Soils, 13th ed.; Prentice Hall: Upper Saddle River, NJ, USA, 2002; ISBN 13-016763-0. [Google Scholar]
- Aelion, C.M.; Shaw, J.N.; Wahl, M. Impact of suburbanization on ground water quality and denitrification in coastal aquifer sediments. J. Exp. Mar. Biol. Ecol. 1997, 213, 31–51. [Google Scholar] [CrossRef]
- Essandoh, H.M.K.; Tizaoui, C.; Mohamed, M.H.A. Removal of dissolved organic carbon and nitrogen during simulated soil aquifer treatment. Water Res. 2013, 47, 3559–3572. [Google Scholar] [CrossRef] [PubMed]
- Essandoh, H.M.K.; Tizaoui, C.; Mohamed, M.H.A.; Amy, G.; Brdjanovic, D. Soil aquifer treatment of artificial wastewater under saturated conditions. Water Res. 2011, 45, 4211–4226. [Google Scholar] [CrossRef] [PubMed]
- DiToro, D. Sediment Flux Modeling; Wiley-Interscience: New York, NY, USA, 2001; ISBN 978-0-47-113535-7. [Google Scholar]
- Machesky, M.L.; Holm, T.R.; Shackleford, D.B. Concentrations and Potential Toxicity of Metals and Ammonia in Peoria Lake Sediments and Pore Waters; Illinois State Water Survey Champaign: Champaign, IL, USA, 2004. [Google Scholar]
- Wetzel, R.G. Limnology, 2nd ed.; Saunders College: New York, NY, USA, 1983; ISBN 978-0-19-921395-4. [Google Scholar]
- Crites, R.; Reed, S.; Bastian, R. Land Treatment Systems for Municipal and Industrial Wastes; McGraw Hill Professional: New York, NY, USA, 2000; ISBN 978-0-07-061040-8. [Google Scholar]
- Quanrud, D.M.; Hafer, J.; Karpiscak, M.M.; Zhang, J.M.; Lansey, K.E.; Arnold, R.G. Fate of organics during soil-aquifer treatment: Sustainability of removals in the field. Water Res. 2003, 37, 3401–3411. [Google Scholar] [CrossRef]
- Reemtsma, T.; Gnirβ, R.; Jekel, M. Infiltration of combined sewer overflow and tertiary municipal wastewater: An integrated laboratory and field study on nutrients and dissolved organics. Water Res. 2000, 34, 1179–1186. [Google Scholar] [CrossRef]
- Zhang, Z.Y.; Lei, Z.F.; Zhang, Z.Y.; Sugiura, N.; Xu, X.T.; Yin, D.D. Organics removal of combined wastewater through shallow soil infiltration treatment: A field and laboratory study. J. Hazard. Mater. 2007, 149, 657–665. [Google Scholar] [CrossRef] [PubMed]
- Lenk, S.; Remmler, F.; Skark, C.; Zullei-Seibert, N. Removal capacity of riverbank filtration and conclusions for the operation of water abstraction plants. In Proceedings of the 5th International Symposium on Management of Aquifer Recharge, Berlin, Germany, 10–16 June 2005. [Google Scholar]
- Sharma, L.; Greskowiak, J.; Ray, C.; Eckert, P.; Prommer, H. Elucidating temperature effects on seasonal variations of biogeochemical turnover rates during riverbank filtration. J. Hydrol. 2012, 428, 104–115. [Google Scholar] [CrossRef]
- Saunders, D.L.; Kalff, J. Denitrification rates in the sediments of Lake Memphremagog, Canada-USA. Water Res. 2001, 35, 1897–1904. [Google Scholar] [CrossRef]
- Berg, M.; Trang, P.T.K.; Stengel, C.; Buschmann, J.; Viet, P.H.; Dan, N.V.; Giger, W.; Stüben, D. Hydrological and sedimentary controls leading to arsenic contamination of groundwater in the Hanoi area, Vietnam: The impact of iron-arsenic ratios, peat, river bank deposits, and excessive groundwater abstraction. Chem. Geol. 2008, 249, 91–112. [Google Scholar] [CrossRef]
- Jiao, J.J.; Wang, Y.; Cherry, J.A.; Wang, X.S.; Zhi, B.F.; Du, H.Y.; Wen, D.G. Abnormally High Ammonium of Natural Origin in a Coastal Aquifer-Aquitard System in the Pearl River Delta, China. Environ. Sci. Technol. 2010, 44, 7470–7475. [Google Scholar] [CrossRef] [PubMed]
- Wang, Y.; Jiao, J.J.; Cherry, J.A.; Lee, C.M. Contribution of the aquitard to the regional groundwater hydrochemistry of the underlying confined aquifer in the Pearl River Delta, China. Sci. Total Environ. 2013, 461, 663–671. [Google Scholar] [CrossRef] [PubMed]
- Li, L.; Lollar, B.S.; Li, H.; Wortmann, U.G.; Couloume, G.L. Ammonium stability and nitrogen isotope fractionations for –NH3(aq)–NH3(gas) systems at 20–70 °C and pH of 2–13: Applications to habitability and nitrogen cycling in low-temperature hydrothermal systems. Geochim. Cosmochim. Acta 2012, 84, 280–296. [Google Scholar] [CrossRef]
- Norrman, J.; Sparrenbom, C.J.; Berg, M.; Nhan, D.D.; Jacks, G.; Ringdahl, P.H.; Nhan, P.Q.; Rosqvist, H. Tracing sources of ammonium in reducing groundwater in a well field in Hanoi (Vietnam) by means of stable nitrogen isotope (δ15N) values. Appl. Geochem. 2015, 61, 248–258. [Google Scholar] [CrossRef]
- Possemiers, M.; Huysmans, M.; Batelaan, O. Influence of Aquifer Thermal Energy Storage on groundwater quality: A review illustrated by seven case studies from Belgium. J. Hydrol. 2014, 2, 20–34. [Google Scholar] [CrossRef]
- Krause, S.; Tecklenburg, C.; Munz, M.; Naden, E. Streambed nitrogen cycling beyond the hyporheic zone: Flow controls on horizontal patterns and depth distribution of nitrate and dissolved oxygen in the upwelling groundwater of a lowland river. J. Geophys. Res. 2013, 118, 54–67. [Google Scholar] [CrossRef]
- Barnes, R.T.; Smith, R.L.; Aiken, G.R. Linkages between denitrification and dissolved organic matter quality, Boulder Creek watershed, Colorado. J. Geophys. Res. 2012, 117, 1–14. [Google Scholar] [CrossRef]
- Bekele, E.; Toze, S.; Patterson, B.; Higginson, S. Managed aquifer recharge of treated wastewater: Water quality changes resulting from infiltration through the vadose zone. Water Res. 2011, 45, 5764–5772. [Google Scholar] [CrossRef] [PubMed]
- Regnery, J.; Barringer, J.; Wing, A.D.; Hoppe-Jones, C.; Teerlink, J.; Drewes, J.E. Start-up performance of a full-scale riverbank filtration site regarding removal of DOC, nutrients, and trace organic chemicals. Chemosphere 2015, 127, 136–142. [Google Scholar] [CrossRef] [PubMed]
- Wang, C.; Wang, P.F.; Hu, X. Removal of CODCr and nitrogen in severely polluted river water by bank filtration. Environ. Technol. 2007, 28, 649–657. [Google Scholar] [CrossRef] [PubMed]








| Soil Depth (cm) | Sampling Numbers (n) | Particle Size Distribution (%) | Organic Matter Content (%) | Soil Texture | K-Value (m/day) | ||
|---|---|---|---|---|---|---|---|
| 0.01–2 μm | 2–50 μm | 50–2000 μm | |||||
| 0–40 | 6 | 9 | 47 | 44 | 3.26 | Loam | 0.31 |
| 40–100 | 9 | 12 | 52 | 36 | 2.51 | Silt loam | 0.31 |
| 100–160 | 9 | 12 | 56 | 32 | 1.24 | Silt loam | 0.32 |
| 160–240 | 12 | 16 | 65 | 19 | 1.37 | Silt loam | 0.20 |
| 240–320 | 12 | 12 | 53 | 35 | 0.42 | Silt loam | 0.31 |
| 320–360 | 6 | 10 | 59 | 31 | 0.58 | Silt loam | 0.40 |
| 360–520 | 24 | 15 | 68 | 17 | 2.88 | Silt loam | 0.21 |
| 520–610 | 15 | 5 | 27 | 68 | 0.55 | Sandy loam | 0.61 |
| 610–650 | 12 | 4 | 22 | 74 | 0.53 | Loamy sand | 0.75 |
| 650–750 | 15 | 10 | 50 | 40 | 1.78 | Silt loam | 0.33 |
| 750–900 | 24 | 5 | 18 | 77 | 0.2 | Loamy sand | 0.80 |
| Parameters | Date | NO3-N (mg/L) | NH4-N (mg/L) | COD (mg/L) | TP (mg/L) | TN (mg/L) |
|---|---|---|---|---|---|---|
| Concentration (River water) | 14 March | 13.6 | 0.3 | 22.8 | - | - |
| 14 April | 9.5 | 0.3 | 22.5 | 0.2 | 16.6 | |
| 14 May | 8.3 | 0.5 | 26.3 | 0.7 | 13.4 | |
| 14 June | 10.4 | 0.4 | 16.9 | 0.1 | 14.1 | |
| 14 July | 11.4 | 0.3 | 14.9 | 0.1 | 13.4 | |
| 14 August | 14.5 | 0.3 | 15.7 | 0.1 | 15.1 | |
| 14 September | 14.5 | 0.4 | 21.0 | 0.1 | 13.2 | |
| 14 October | 14.6 | 0.2 | 25.7 | 0.1 | 14.3 | |
| 14 November | 17.8 | 0.3 | 32.5 | - | 12.5 | |
| 14 December | 12.4 | 0.4 | 38.5 | - | - | |
| Concentration (Reclaimed water) | 14 March | - | - | - | - | - |
| 14 April | 14.8 | 0.2 | 19.6 | 0.5 | 12.2 | |
| 14 May | 12.5 | 0.4 | 20.6 | 1.0 | 9.0 | |
| 14 June | 11.4 | 0.2 | 18.9 | 0.3 | 11.1 | |
| 14 July | 12.8 | 0.2 | 11.6 | 0.3 | 10.6 | |
| 14 August | 15.9 | 0.1 | 9.1 | 0.1 | 13.0 | |
| 14 September | 14.9 | 0.3 | 11.6 | 0.1 | 12.5 | |
| 14 October | 15.6 | 0.1 | 12.6 | 0.4 | 14.3 | |
| 14 November | 18.9 | 0.2 | 18.5 | - | 11.8 | |
| 14 December | - | - | - | - | - |
© 2018 by the authors. Licensee MDPI, Basel, Switzerland. This article is an open access article distributed under the terms and conditions of the Creative Commons Attribution (CC BY) license (http://creativecommons.org/licenses/by/4.0/).
Share and Cite
Pan, W.; Huang, Q.; Huang, G. Nitrogen and Organics Removal during Riverbank Filtration along a Reclaimed Water Restored River in Beijing, China. Water 2018, 10, 491. https://doi.org/10.3390/w10040491
Pan W, Huang Q, Huang G. Nitrogen and Organics Removal during Riverbank Filtration along a Reclaimed Water Restored River in Beijing, China. Water. 2018; 10(4):491. https://doi.org/10.3390/w10040491
Chicago/Turabian StylePan, Weiyan, Quanzhong Huang, and Guanhua Huang. 2018. "Nitrogen and Organics Removal during Riverbank Filtration along a Reclaimed Water Restored River in Beijing, China" Water 10, no. 4: 491. https://doi.org/10.3390/w10040491
APA StylePan, W., Huang, Q., & Huang, G. (2018). Nitrogen and Organics Removal during Riverbank Filtration along a Reclaimed Water Restored River in Beijing, China. Water, 10(4), 491. https://doi.org/10.3390/w10040491

