Irrigation with Treated Municipal Wastewater on Artichoke Crop: Assessment of Soil and Yield Heavy Metal Content and Human Risk
Abstract
1. Introduction
2. Materials and Methods
2.1. Site Description and Agronomic Conditions
2.2. Water, Soil and Plant Sampling
2.3. Determination of Heavy Metals in the Water, Soil and Plant Samples
2.4. Quality Assurance and Quality Control
2.5. Bioaccumulation Factor and Characterization of Human Risk
2.6. Statistical Analysis
3 Results and Discussion
3.1. Heavy Metal Content of Irrigation Water
3.2. Heavy Metal Content of the Soil-Plant System
3.2.1. Heavy Metal Content of the Soil
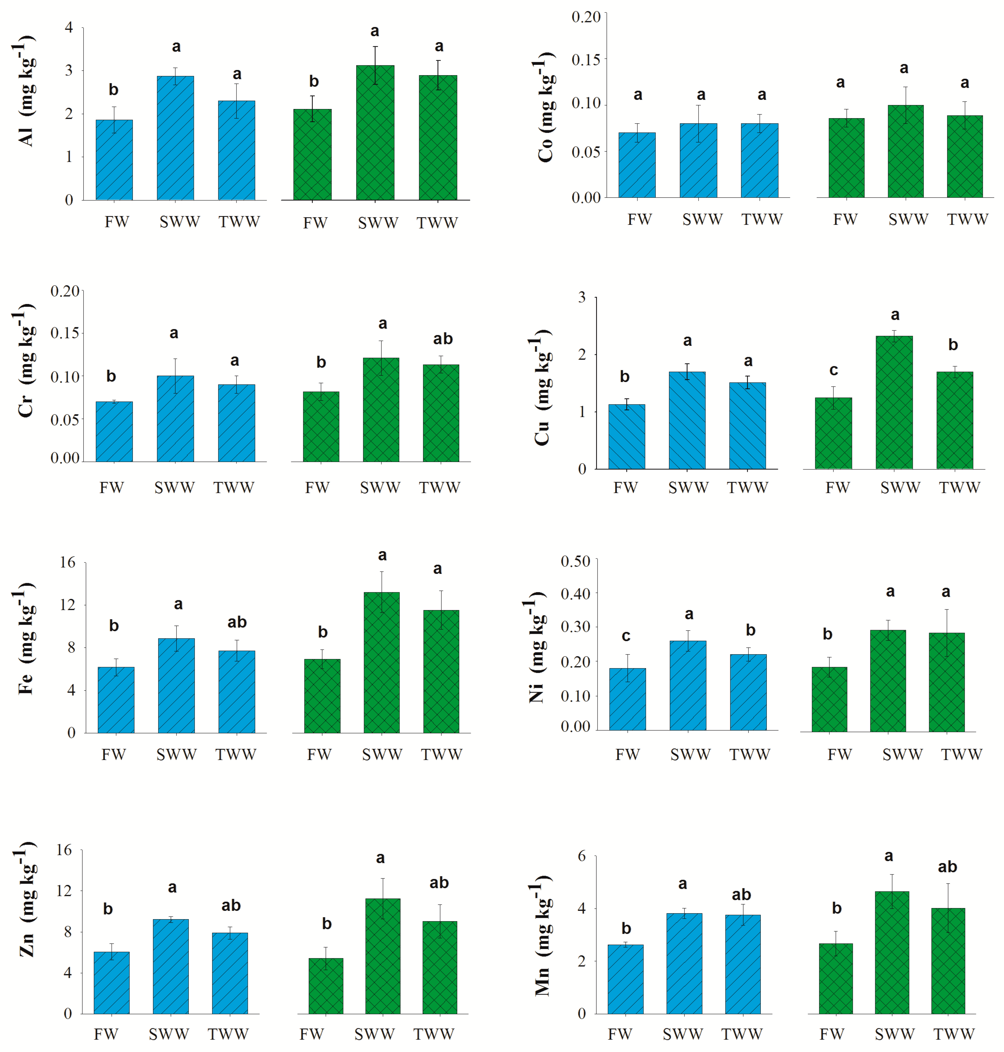
3.2.2. Heavy Metal Content of the Plants and of the Marketable Yield
3.3. Bioaccumulation Factors
3.4. Potential Health Risk of Heavy Metal Ingestion Due to Consumption of Artichoke Heads
4. Conclusions
Acknowledgments
Author Contributions
Conflicts of Interest
References
- Lonigro, A.; Montemurro, N.; Rubino, P.; Vergine, P.; Pollice, A. Reuse of treated municipal wastewater for irrigation in Apulia region: The “In.Te.R.R.A.” project. Environ. Eng. Manag. J. 2015, 14, 1665–1674. [Google Scholar]
- Vergine, P.; Salerno, C.; Libutti, A.; Beneduce, L.; Gatta, G.; Berardi, G.; Pollice, A. Closing the water cycle in the agro-industrial sector by reusing treated wastewater for irrigation. J. Clean. Prod. 2017, 164, 587–596. [Google Scholar] [CrossRef]
- Tarantino, E.; Disciglio, G.; Gatta, G.; Libutti, A.; Frabboni, L.; Gagliardi, A.; Tarantino, A. Agro-industrial treated wastewater reuse for crop irrigation: implication in soil fertility. Chem. Eng. Trans. 2017, 58, 679–684. [Google Scholar] [CrossRef]
- Libutti, A.; Gatta, G.; Gagliardi, A.; Vergine, P.; Pollice, A.; Beneduce, L.; Disciglio, G.; Tarantino, E. Agro-industrial wastewater reuse for irrigation of a vegetable crop succession under Mediterranean conditions. Agric. Water Manag. 2018, 196, 1–14. [Google Scholar] [CrossRef]
- Disciglio, G.; Gatta, G.; Libutti, A.; Gagliardi, A.; Carlucci, A.; Lops, F.; Cibelli, F.; Tarantino, A. Effects of irrigation with treated agro-industrial wastewater on soil chemical characteristics and fungal populations during processing tomato crop cycle. J. Soil Sci. Plant Nutr. 2015, 15, 765–780. [Google Scholar] [CrossRef]
- Gatta, G.; Libutti, A.; Beneduce, L.; Gagliardi, A.; Disciglio, G.; Lonigro, A.; Tarantino, E. Reuse of treated municipal wastewater for globe artichoke irrigation: Assessment of effects on morpho-quantitative parameters and microbial safety of yield. Sci. Hortic. 2016, 213, 55–65. [Google Scholar] [CrossRef]
- Singh, R.; Gautam, N.; Mishra, A.; Gupta, R. Heavy metals and living systems: An overview. Indian J. Pharmacol. 2011, 43, 246–253. [Google Scholar] [CrossRef] [PubMed]
- Almuktar, S.A.A.A.N.; Scholz, M. Mineral and Biological Contamination of Soil and Capsicum annuum Irrigated with Recycled Domestic Wastewater. Agric. Water Manag. 2016, 167, 95–109. [Google Scholar] [CrossRef]
- Khan, I.; Ghani, A.; Rehman, A.U.; Awan, S.A.; Jawed, H.; Gul, R. The analyses of heavy metal concentration in soil, waste water and Raphanus sativus (L.) at three different growth stages. Pyrex J. Res. Environ. Stud. 2016, 3, 42–48. [Google Scholar]
- Singh, A.; Agrawal, M. Effects of municipal waste water irrigation on availability of heavy metals and morpho-physiological characteristics of Beta vulgaris L. J. Environ. Biol. 2010, 31, 727–736. [Google Scholar]
- Gatta, G.; Libutti, A.; Gagliardi, A.; Disciglio, G.; Beneduce, L.; d’Antuono, M.; Rendina, M.; Tarantino, E. Effects of treated agro-industrial wastewater irrigation on tomato processing quality. Ital. J. Agron. 2015, 10, 97–100. [Google Scholar] [CrossRef]
- Sawidis, T.; Chettri, M.K.; Papaionnou, A.; Zachariasis, G.; Stratis, J. A study of metal distribution from lignite fuels using trees as biological monitors. Ecotoxicol. Environ. Saf. 2001, 48, 27–35. [Google Scholar] [CrossRef] [PubMed]
- Thakur, S.; Singh, L.; Ab Wahid, Z.; Siddiqui, M.F.; Atnaw, S.N.; Md Din, M.F. Plant-driven removal of heavy metals from soil: Uptake, translocation, tolerance mechanism, challenges, and future perspectives. Environ. Monit. Assess. 2016, 188, 206. [Google Scholar] [CrossRef] [PubMed]
- Mapanda, F.; Mangwayana, E.N.; Nyamangara, J.; Gillera, K.E. The effect of long-term irrigation using wastewater on heavy metal contents of soils under vegetables in Harare, Zimbabwe. Agric. Ecosyst. Environ. 2005, 107, 151–165. [Google Scholar] [CrossRef]
- Ackah, M.; Kwablah Anim, A.; Tabuaa Gyamfi, E.; Zakaria, N.; Hanson, J.; Tulasi, D.; Enti-Brown, E.; Saah-Nyarko, S.; Owusu Bentil, N.; Osei, J. Uptake of heavy metals by some edible vegetables irrigated using wastewater: A preliminary study in Accra, Ghana. Environ. Monit. Assess. 2014, 186, 621–634. [Google Scholar] [CrossRef] [PubMed]
- Wang, X.; Sato, T.; Xing, B.; Tao, S. Health risks of heavy metals to the general public in Tianjin, China via consumption of vegetables and fish. Sci. Total Environ. 2005, 350, 28–37. [Google Scholar] [CrossRef] [PubMed]
- Zhuang, P.; McBride, M.B.; Xia, H.; Li, N.; Li, Z. Health risk from heavy metals via consumption of food crops in the vicinity of Dabaoshan mine, South China. Sci. Total Environ. 2009, 407, 1551–1561. [Google Scholar] [CrossRef] [PubMed]
- Roy, M.; McDonald, L.M. Metal uptake in plants and healthr Risk assessments in metal-contaminated smelter soils. Land Degrad. Dev. 2015, 26, 785–792. [Google Scholar] [CrossRef]
- Remon, E.; Bouchardon, J.L.; Cornier, B.; Guy, B.; Leclerc, J.C.; Faure, O. Soil characteristics, heavy metal availability and vegetation recovery at a former metallurgical landfill: Implications in risk assessment and site restoration. Environ. Pollut. 2005, 137, 316–323. [Google Scholar] [CrossRef] [PubMed]
- Ismail, A.; Riaz, M.; Akhtar, S.; Ismail, T.; Amir, M.; Zafar-ul-Hye, M. Heavy metals in vegetables and respective soils irrigated by canal, municipal waste and tube well waters. Food Addit. Contam. B 2014, 7, 213–219. [Google Scholar] [CrossRef] [PubMed]
- US-EPA Method 3051. Microwave assisted acid digestion of sediments, sludges, soils and oils. In Test Methods for Evaluating Solid Waste, 3rd ed.; 3rd Update; US Environmental Protection Agency: Washington, DC, USA, 1989. [Google Scholar]
- International Organization for Standardization. ISO 14870:2001, Soil Quality-Extraction of Trace Elements by Buffered DTPA Solution; ISO: Geneva, Switzerland, 2001. [Google Scholar]
- US-EPA Method 3050 B. Risk Assessment Guidance for Superfund; EPA/540/1-89/002; Office of Solid Waste and Emergency Response (OSWER): Washington, DC, USA, 1989.
- Cui, Y.J.; Zhu, Y.G.; Zhai, R.; Chen, D.Y.; Huang, Y.; Qiu, Y.; Liang, J. Transfer of metals from soil to vegetables in an area near a smelter in Nanning, China. Environ. Int. 2004, 30, 785–791. [Google Scholar] [CrossRef] [PubMed]
- Hang, X.; Wang, H.; Zhou, J.; Ma, C.; Du, C.; Chen, X. Risk assessment of potentially toxic element pollution in soils and rice (Oryza sativa) in a typical area of the Yangtze River Delta. Environ. Pollut. 2009, 157, 2542–2549. [Google Scholar] [CrossRef] [PubMed]
- Pennisi, G.O.; Orsini, F.; Gasperi, D.; Mancarella, S.; Sanoubar, R.; Vittori Antisari, L.; Vianello, G.; Gianquinto, G. Soilless system on peat reduce trace metals in urban-grown food: Unexpected evidence for a soil origin of plant contamination. Agron. Sustain. Dev. 2016, 36, 56. [Google Scholar] [CrossRef]
- US-EPA. Exposure Factors Handobook; Office of Research and Development, National Center for Environmental Assessment: Washington, DC, USA, 1997.
- Istituto Nazionale di Statistica (ISTAT). Available online: http://www.istat.it/it/files/2017/03/Statistica-report-Indicatori-demografici_2016.pdf (accessed on 20 June 2017).
- Bianco, V.V. The artichoke: A travelling companion in the social life, traditions and culture. Acta Hortic. 2012, 942, 25–39. [Google Scholar] [CrossRef]
- Gallus, S.; Odone, A.; Lugo, A.; Bosetti, C.; Colombo, P.; Zuccaro, P.; La Vecchia, C. Overweight and obesity prevalence and determinants in Italy: An update to 2010. Eur. J. Nutr. 2013, 52, 677–685. [Google Scholar] [CrossRef] [PubMed]
- Wijnhoven, T.M.A.; van Raaij, J.M.A.; Spinelli, A.; Starc, G.; Hassapiolou, M.; Spiroski, I.; Rutter, H.; Martos, E.; Rito, A.I.; Hovengen, R.; et al. WHO European Childhood Obesity Surveillance Initiative: Body mass index and level of overweight among 6–9-year-old children from school year 2007/2008 to school year 2009/2010. BMC Public Health 2014, 14, 806. [Google Scholar] [CrossRef] [PubMed]
- US-EPA. Human Health Risk Assessment. Risk-Based Concentration Table. Available online: http://www.epa.gov/reg3hwmd/risk/human/rbconcentration_table/Generic_Tables/index.ht (accessed on 26 June 2017).
- Box, G.E.P.; Cox, D.R. An analysis of transformations (with discussion). J. R. Stat. Soc. 1964, 26, 211–250. [Google Scholar]
- Al-Lahham, O.; El Assi, N.M.; Fayyad, M. Translocation of heavy metals to tomato (Solanum lycopersicom L.) fruit irrigated with treated wastewater. Sci. Hortic. 2007, 113, 250–254. [Google Scholar] [CrossRef]
- Decree of Ministry for Environment, n. 185, 23/07/2003, Gazzetta Ufficiale n. 169. Italian Technical Guidelines for Wastewater Reuse. Available online: http://www.gazzettaufficiale.it/eli/id/2003/07/23/003G0210/sg (accessed on 21 May 2017).
- Sheikh, B.; Jaques, R.S.; Cort, R.P. Reuse of tertiary municipal wastewater effluent for irrigation of raw-eaten food crops: A five year study. Desalination 1987, 67, 245–254. [Google Scholar] [CrossRef]
- Smith, C.J.; Hopmans, P.; Cook, F.J. Accumulation of Cr, Pb, Cu, Ni, Zn and Cd in soil following irrigation with treated urban effluent in Australia. Environ. Pollut. 1996, 94, 317–323. [Google Scholar] [CrossRef]
- Gola, D.; Malik, A.; Ahammad Shaikh, Z.; Sreekrishnan, T.R. Impact of Heavy Metal Containing Wastewater on Agricultural Soil and Produce: Relevance of Biological Treatment. Environ. Process. 2016, 3, 1063–1080. [Google Scholar] [CrossRef]
- Decree of Ministry for Environment, n. 152, 03/04/2006, Gazzetta Ufficiale, n. 88, Rome, 14 April 2006. Available online: http://www.gazzettaufficiale.it/atto/serie_generale/caricaDettaglioAtto/originario?atto.dataPubblicazioneGazzetta=2006-04-14&atto.codiceRedazionale=006G0171 (accessed on 23 January 2017).
- European Union. Heavy Metals in Wastes, European Commission on Environment. 2002. Available online: http://ec.europa.eu/environment/waste/studies/pdf/heavy_metalsreport.pdf (accessed on 21 May 2017).
- Commission Regulation (EC) No 1881/2006 of 19 December 2006: Setting Maximum Levels for Certain Contaminants in Foodstuffs. Official Journal of the European Union (L. 264). Available online: http://eur-lex.europa.eu/legal-content (accessed on 22 January 2017).
- Ayers, R.S.; Westcot, D.W. Water Quality for Agriculture; Food and Agriculture Organization of the United Nations: Rome, Italy, 1985. [Google Scholar]
- US-EPA. Guidelines for Water Reuse. 2012. Available online: https://nepis.epa.gov/ (accessed on 22 January 2017).
- FAO/WHO. Food Additives and Contaminants; FAO/WHO Food Standards Program; ALINORM 01/12A; Joint Codex Alimentarius Commission: Rome, Italy, 2001. [Google Scholar]
- Ewers, U. Standards, guidelines and legislative regulations concerning metals and their compounds. In Metals and Their Compounds in the Environment: Occurrence, Analysis and Biological Relevance; Merian, E., Ed.; VCH: Weinheim, Germany, 1991; pp. 458–468. [Google Scholar]
- Pendias, A.K.; Pendias, H. Elements of Group VIII. In Trace Elements in Soils and Plants; CRC Press: Boca Raton, FL, USA, 1992; pp. 271–276. [Google Scholar]
- Kabata-Pendias, A.; Pendias, H. Trace Elements in Soils, 4th ed.; CRC Press: Boca Raton, FL, USA; London, UK; New York, NY, USA, 2011; p. 505. ISBN 978-1-4200-9368-1. [Google Scholar]
- Wang, G.; Su, M.Y.; Chen, Y.H.; Lin, F.F.; Luo, D.; Gao, S.F. Transfer characteristics of cadmium and lead from soil to the edible parts of six vegetable species in southeastern China. Environ. Pollut. 2006, 144, 127–135. [Google Scholar] [CrossRef] [PubMed]
- Peralta-Videa, J.R.; Lopez, M.L.; Narayan, M.; Saupe, G.; Gardea-Torresdey, J. The biochemistry of environmental heavy metal uptake by plants: Implications for the food chain. Int. J. Biochem. Cell Biol. 2009, 41, 1665–1677. [Google Scholar] [CrossRef] [PubMed]
- Christou, A.; Maratheftis, G.; Eliadou, E.; Michael, C.; Hapeshi, E.; Fatta-Kassinos, D. Impact assessment of the reuse of two discrete treated wastewaters for the irrigation of tomato crop on the soil geochemical properties, fruit safety and crop productivity. Agric. Ecosyst. Environ. 2014, 192, 105–114. [Google Scholar] [CrossRef]
- Surdyk, N.; Cary, L.; Blagojevic, S.; Jovanovic, Z.; Stikic, R.; Vucelic-Radovic, B.; Zarkovic, B.; Sandei, L.; Pettenati, M.; Kloppmanna, W. Impact of irrigation with treated low quality water on the heavy metal contents of a soil-crop system in Serbia. Agric. Water Manag. 2010, 98, 451–457. [Google Scholar] [CrossRef]
- Bashir, F.; Kashmiri, M.A.; Shafiq, T.; Tariq, M. Heavy metals uptake by vegetables growing in sewage irrigated soil: Relationship with heavy metal fractionation in soil. Chem. Spec. Bioavailab. 2009, 21, 199–209. [Google Scholar] [CrossRef]
- Satpathy, S.; Reddy, M.V.; Prakash, D.S. Risk Assessment of Heavy Metals Contamination in Paddy Soil, Plants, and Grains (Oryza sativa L.) at the East Coast of India. BioMed Res. Int. 2014, 2014, 545473. [Google Scholar] [CrossRef] [PubMed]
- Mollazadeh, N. Metals health risk assessment via consumption of vegetables. Int. J. Agric. Crop Sci. 2004, 7, 433–436. [Google Scholar]
- Sponza, D.; Karaoğlu, N. Environmental geochemistry and pollution studies of Aliağa metal industry district. Environ. Int. 2002, 27, 541–553. [Google Scholar] [CrossRef]
- Llugany, M.; Miralles, R.; Corrales, I.; Barceló, J.; Poschenrieder, C. Cynara cardunculus a potentially useful plant for remediation of soils polluted with cadmium or arsenic. J. Geochem. Explor. 2012, 123, 122–127. [Google Scholar] [CrossRef]
- Leonardi, C.; Pappalardo, H.; Genovese, C.; Pulvirenti, M.; Toscano, V.; Melilli, M.G.; Raccuia, S.A. Phytotoxicity of heavy metals in Cynara cardunculus L. growing in contaminated soil. Acta Hortic. 2016, 1147, 119–126. [Google Scholar] [CrossRef]
- Jamali, M.K.; Kazi, T.G.; Arain, M.B.; Afridi, H.I.; Jalbani, N.; Memon, A.R. Heavy metal contents of vegetables grown in soil, irrigated with mixtures of wastewater and sewage Sludge in Pakistan, using ultrasonic-assisted pseudodigestion. J. Agron. Crop Sci. 2007, 193, 218–228. [Google Scholar] [CrossRef]




| Heavy Metals | Wastewater Guidelines (mg L−1) | Soil Guidelines (mg kg −1 dry weight) | Vegetable Guidelines (mg kg −1 fresh weight) | ||||
|---|---|---|---|---|---|---|---|
| 1 IGw | 2 FAO | 3 US EPA | 4 IGs | 5 EUs | 6 IR | 7 FAO/WHO | |
| Al | 1.0 | 5.0 | 5.0 | - | - | - | - |
| Cd | 0.005 | 0.01 | 0.005 | 2.0 | 3.0 | 3.0 e | 0.1 (0.050) |
| Co | 0.05 | 0.05 | 0.05 | 20 | - | 50 e | 50 |
| Cr | 0.10 | 0.10 | 0.10 | 150 | 150 | 100 e | 2.3 |
| Cu | 1.0 | 0.20 | 0.2 | 120 | 140 | 100 e | 73 |
| Fe | 2.0 | 5.0 | 5.0 | - | - | 50,000 f | 425 |
| Ni | 0.20 | 0.20 | 0.20 | 120 | 75 | 50 e | 67 |
| Pb | 0.10 | 0.50 | 0.50 | 100 | 300 | 100 e | 0.3 (0.1) |
| Zn | 0.50 | 0.20 | 2.0 | 150 | 300 | 300 e | 100 |
| Mn | 0.20 | 0.20 | 0.20 | - | - | 2000 f | 500 |
| Experimental Factor | Total Heavy Metal Content (mg kg−1) | |||||||
|---|---|---|---|---|---|---|---|---|
| Al | Co | Cr | Cu | Fe | Ni | Zn | Mn | |
| Irrigation water (IW) | ns | ns | ns | ns | ns | ns | ns | |
| FW | 2827.9 ± 45.8 | nd | 21.4 ± 1.7 | 21.0 ± 1.7 | 18,007.6 ± 298.1 | 18.3 ± 1.8 | 51.8 ± 3.1 | 504.1 ± 13.9 |
| SWW | 2839.8 ± 45.2 | nd | 22.7 ± 1.7 | 21.6 ± 1.8 | 17,554.4 ± 193.2 | 19.3 ± 1.5 | 50.3 ± 2.7 | 528.0 ± 133 |
| TWW | 2915.6 ± 57.8 | nd | 22.3 ± 0.6 | 21.1 ± 0.9 | 18,228.1 ± 244.4 | 19.1 ± 0.5 | 51.9 ± 4.1 | 524.9 ± 12.1 |
| Soil depth (H) | *** | *** | *** | * | *** | *** | *** | |
| H1 | 3007.2 ± 24.9 a | nd | 24.3 ± 0.8 a | 25.8 ± 2.2 a | 17,615.1 ± 183.4 b | 20.4 ± 0.9 a | 56.7 ± 2.3 a | 562.3 ± 6.5 a |
| H2 | 2715.1 ± 33.3 b | nd | 20.0 ± 0.9 b | 18.3 ± 0.3 b | 18,244.7 ± 214.7 a | 17.5 ± 1.0 b | 46.2 ± 1.5 b | 475.8 ± 6.7 b |
| Soil sampling date (SS) | ns | ns | ns | ns | ns | ns | ns | |
| SS1 | 2959.4 ± 54.2 | nd | 22.2 ± 1.6 | 21.2 ± 1.7 | 18,179.5 ± 288.8 | 18.2 ± 1.4 | 51.6 ± 2.5 | 517.7 ± 13.3 |
| SS2 | 2845.8 ± 53.1 | nd | 22.3 ± 1.9 | 22.3 ± 1.8 | 17,632.2 ± 226.3 | 19.4 ± 1.6 | 51.5 ± 4.2 | 516.2 ± 12.7 |
| SS3 | 2832.2 ± 42.3 | nd | 21.8 ± 0.7 | 22.1 ± 1.0 | 17,978.2 ± 247.8 | 19.2 ± 0.9 | 50.9 ± 3.5 | 523.1 ± 13.7 |
| Experimental Factor | Exchangeable Heavy Metal Content (mg kg−1) | |||||
|---|---|---|---|---|---|---|
| Al | Co | Cr | Cu | Ni | Zn | |
| Irrigation water (IW) | *** | * | ** | *** | ** | |
| FW | 0.64 ± 0.02 b | nd | 0.34 ± 0.01 b | 3.02 ± 0.15 b | 0.29 ± 0.02 b | 6.78 ± 0.28 b |
| SWW | 0.74 ± 0.01 a | nd | 0.41 ± 0.02 a | 3.52 ± 0.20 a | 0.41 ± 0.02 a | 7.60 ± 0.24 a |
| TWW | 0.70 ± 0.02 a | nd | 0.39 ± 0.02 ab | 3.55 ± 0.20 a | 0.38 ± 0.01 a | 8.39 ± 0.57 a |
| Soil depth (H) | *** | *** | ** | *** | * | |
| H1 | 0.73 ± 0.01 a | nd | 0.44 ± 0.01 a | 3.56 ± 0.18 a | 0.40 ± 0.01 a | 7.33 ± 0.20 b |
| H2 | 0.66 ± 0.02 b | nd | 0.33 ± 0.02 b | 3.17 ± 0.13 b | 0.32 ± 0.02 b | 7.95 ± 0.25 a |
| Soil sampling date (Ss) | ns | ns | *** | ns | ns | |
| SS1 | 0.71 ± 0.02 | nd | 0.38 ± 0.02 | 2.53 ± 0.08 b | 0.34 ± 0.02 | 7.79 ± 0.17 |
| SS2 | 0.67 ± 0.03 | nd | 0.39 ± 0.02 | 3.71 ± 0.16 a | 0.35 ± 0.02 | 7.39 ± 0.37 |
| SS3 | 0.70 ± 0.02 | nd | 0.36 ± 0.03 | 3.86 ± 0.17 a | 0.37 ± 0.02 | 7.60 ± 0.39 |
| Artichoke Fraction | Heavy Metal | |||||||
|---|---|---|---|---|---|---|---|---|
| Al | Co | Cr | Cu | Fe | Ni | Zn | Mn | |
| versus Irrigation water | ||||||||
| Plant | ns | ns | 0.77 *** | 0.78 *** | 0.61 *** | 0.76 *** | 0.60 ** | 0.80 ** |
| Head | ns | ns | 0.83 *** | 0.75 *** | 0.55 ** | 0.74 *** | 0.76 *** | 0.73 *** |
| versus Total soil content | ||||||||
| Plant | ns | ns | ns | ns | ns | ns | ns | ns |
| Head | ns | ns | ns | ns | ns | ns | ns | ns |
| versus DTPA-extractable soil content | ||||||||
| Plant | ns | ns | 0.71 *** | ns | 0.76 *** | ns | 0.51 ** | 0.74 *** |
| Head | ns | ns | 0.50 ** | ns | 0.67 *** | ns | 0.37 * | 0.77 *** |
| 1 IW | Bioaccumulation Factor Values for Heavy Metals | ||||||
|---|---|---|---|---|---|---|---|
| Al | Cr | Cu | Fe | Ni | Zn | Mn | |
| BAFt | ns | ns | ns | ns | ns | ** | ns |
| FW | 0.004 ± 0.0010 | 0.018 ± 0.006 | 0.30 ± 0.05 | 0.002 ± 0.0004 | 0.05 ± 0.007 | 0.44 ± 0.03 b | 0.03 ± 0.007 |
| SWW | 0.005 ± 0.0007 | 0.023 ± 0.003 | 0.38 ± 0.09 | 0.003 ± 0.0008 | 0.07 ± 0.004 | 0.92 ± 0.04 a | 0.04 ± 0.008 |
| TWW | 0.005 ± 0.0006 | 0.022 ± 0.004 | 0.37 ± 0.04 | 0.003 ± 0.0004 | 0.06 ± 0.004 | 0.87 ± 0.04 a | 0.04 ± 0.007 |
| BAFe | * | ns | ** | ns | ns | * | * |
| FW | 17.8 ± 0.45 b | 1.14 ± 0.05 | 1.95 ± 0.06 b | 5.38 ± 0.28 | 3.11 ± 0.09 | 3.99 ± 0.08 b | 1.30 ± 0.06 b |
| SWW | 21.4 ± 1.02 a | 1.18 ± 0.02 | 2.24 ± 0.04 a | 5.77 ± 0.20 | 3.29 ± 0.08 | 6.10 ± 0.44 a | 1.43 ± 0.08 a |
| TWW | 18.83 ± 1.09 ab | 1.19 ± 0.03 | 2.14 ± 0.10 ab | 5.64 ± 0.21 | 3.21 ± 0.08 | 5.63 ± 0.18 ab | 1.42 ± 0.05 ab |
| 1 IW | Hazard Indices for Specific Heavy Metals | ||||||
|---|---|---|---|---|---|---|---|
| Al (×10−3) | Cr | Cu | Fe (×10−3) | Ni | Zn (×10−3) | Mn | |
| Adults | ** | ** | ** | ** | ** | ** | ** |
| FW | 0.10 ± 0.006 b | 0.25 ± 0.013 b | 0.018 ± 0.001 b | 1.07 ± 0.06 b | 0.037 ± 0.002 b | 2.0 ± 0.1 b | 0.05 ± 0.003 b |
| SWW | 0.16 ± 0.010 a | 0.36 ± 0.013 a | 0.027 ± 0.004 a | 1.55 ± 0.15 a | 0.054 ± 0.005 a | 4.0 ± 0.2 a | 0.08 ± 0.005 a |
| TWW | 0.14 ± 0.008 a | 0.30 ± 0.046 a | 0.022 ± 0.001 a | 1.30 ± 0.10 a | 0.045 ± 0.004 ab | 3.0 ± 0.4 a | 0.07 ± 0.004 ab |
| Children | ** | ** | ** | ** | * | * | * |
| FW | 0.12 ± 0.007 b | 0.29 ± 0.015 b | 0.020 ± 0.001 b | 1.25 ± 0.06 b | 0.043 ± 0.002 b | 2.9 ± 0.15 b | 0.06 ± 0.002 b |
| SWW | 0.18 ± 0.011 a | 0.42 ± 0.026 a | 0.031 ± 0.002 a | 1.81 ± 0.11 a | 0.063 ± 0.004 a | 4.2 ± 0.26 a | 0.09 ± 0.006 a |
| TWW | 0.17 ± 0.010 a | 0.35 ± 0.022 a | 0.026 ± 0.002 a | 1.51 ± 0.10 a | 0.052 ± 0.004 ab | 3.5 ± 0.20 a | 0.08 ± 0.005 ab |
© 2018 by the authors. Licensee MDPI, Basel, Switzerland. This article is an open access article distributed under the terms and conditions of the Creative Commons Attribution (CC BY) license (http://creativecommons.org/licenses/by/4.0/).
Share and Cite
Gatta, G.; Gagliardi, A.; Disciglio, G.; Lonigro, A.; Francavilla, M.; Tarantino, E.; Giuliani, M.M. Irrigation with Treated Municipal Wastewater on Artichoke Crop: Assessment of Soil and Yield Heavy Metal Content and Human Risk. Water 2018, 10, 255. https://doi.org/10.3390/w10030255
Gatta G, Gagliardi A, Disciglio G, Lonigro A, Francavilla M, Tarantino E, Giuliani MM. Irrigation with Treated Municipal Wastewater on Artichoke Crop: Assessment of Soil and Yield Heavy Metal Content and Human Risk. Water. 2018; 10(3):255. https://doi.org/10.3390/w10030255
Chicago/Turabian StyleGatta, Giuseppe, Anna Gagliardi, Grazia Disciglio, Antonio Lonigro, Matteo Francavilla, Emanuele Tarantino, and Marcella Michela Giuliani. 2018. "Irrigation with Treated Municipal Wastewater on Artichoke Crop: Assessment of Soil and Yield Heavy Metal Content and Human Risk" Water 10, no. 3: 255. https://doi.org/10.3390/w10030255
APA StyleGatta, G., Gagliardi, A., Disciglio, G., Lonigro, A., Francavilla, M., Tarantino, E., & Giuliani, M. M. (2018). Irrigation with Treated Municipal Wastewater on Artichoke Crop: Assessment of Soil and Yield Heavy Metal Content and Human Risk. Water, 10(3), 255. https://doi.org/10.3390/w10030255

