Phosphate Leaching from Green Roof Substrates—Can Green Roofs Pollute Urban Water Bodies?
Abstract
:1. Introduction
2. Materials and Methods
2.1. Materials
2.2. Methods
2.2.1. Extraction (Batch Test)
2.2.2. Leaching (Column) Experiment
2.2.3. Long-Term Green Roof Monitoring (Open Air Experiment)
3. Results
3.1. Extraction
3.2. Leaching Test (Column Experiment)
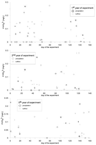
3.3. Long-Term Open Air Green Roof Container Monitoring
4. Discussion
5. Conclusions
Acknowledgments
Author Contributions
Conflicts of Interest
References
- Wang, H.; Qin, J.; Hu, Y. Are green roofs a source or sink of runoff pollutants? Ecol. Eng. 2017, 107, 65–70. [Google Scholar] [CrossRef]
- John, J.; Kernaghan, G.; Lundholm, J. The potential for mycorrhizae to improve green roof function. Urban Ecosyst. 2017, 20, 113–127. [Google Scholar] [CrossRef]
- Berndtsson, J.C. Green roof performance towards management of runoff water quantity and quality. Ecol. Eng. 2010, 36, 351–360. [Google Scholar] [CrossRef]
- Karczmarczyk, A.; Baryła, A.; Kożuchowski, P. Design and development of low P-emission substrate for the protection of urban water bodies collecting green roof runoff. Sustainability 2017, 9, 1795. [Google Scholar] [CrossRef]
- Buffam, I.; Mitchell, M.E. Nutrient cycling in green roof ecosystems. In Green Roofs Ecosystems; Sutton, R., Ed.; Springer: New York, NY, USA, 2015; Volume 223, pp. 107–137. [Google Scholar]
- Toland, D.C.; Haggard, B.E.; Boyer, M.E. Evaluation of nutrient concentrations in runoff water from green roofs, conventional roofs, and urban streams. Trans. ASABE 2012, 55, 99–106. [Google Scholar] [CrossRef]
- Czemiel Berndtsson, J.; Bengtsson, L.; Jinno, K. Runoff water quality from intensive and extensive vegetated roofs. Ecol. Eng. 2009, 35, 369–380. [Google Scholar] [CrossRef]
- Van Seters, T.; Rocha, L.; Smith, D.; MacMillan, G. Evaluation of green roofs for runoff retention, runoff quality, and leachability. Water Qual. Res. J. Can. 2009, 44, 33–47. [Google Scholar]
- Rowe, D.B. Green roofs as a means of pollution abatement. Environ. Pollut. 2011, 159, 2100–2110. [Google Scholar] [CrossRef] [PubMed]
- Nagase, A.; Dunnett, N. The relationship between percentage of organic matter in substrate and plant growth in extensive green roofs. Landsc. Urban Plan. 2011, 103, 230–236. [Google Scholar] [CrossRef]
- Emilsson, T. Vegetation developement on extensive vegetated green roofs: Influence of substrate composition, estabilishment method and species mix. Ecol. Eng. 2008, 33, 265–277. [Google Scholar] [CrossRef]
- Malcolm, E.G.; Reese, M.L.; Schaus, M.H.; Ozmon, I.M.; Tran, L.M. Measurements of nutrients and mercury in green roof and gravel roof runoff. Ecol. Eng. 2014, 73, 705–712. [Google Scholar] [CrossRef]
- Berndtsson, J.C.; Emilsson, T.; Bengtsson, L. The influence of extensive vegetated roofs on runoff water quality. Sci. Total Environ. 2006, 355, 48–63. [Google Scholar] [CrossRef] [PubMed]
- Mitchell, M.E.; Matter, S.F.; Durtsche, R.D.; Buffam, I. Elevated phoshorus: Dynamics during four years of green roof development. Urban Ecosyst. 2017, 20, 1121–1133. [Google Scholar] [CrossRef]
- Gregoire, B.G.; Clausen, J.C. Effect of modular extensive green roof on stormwater runoff and water quality. Ecol. Eng. 2011, 37, 963–969. [Google Scholar] [CrossRef]
- Teemusk, A.; Mander, Ü. The Influence of Green Roofs on Runoff Water Quality: A Case Study from Estonia. Water Resour Manag. 2011, 25, 3699–3713. [Google Scholar] [CrossRef]
- Aitkenhead-Peterson, J.; Dvorak, B.D.; Volder, A.; Stanley, N.C. Chemistry of growth medium and leachate from green roof systems in south-central Texas. Urban Ecosyst. 2011, 14, 17–33. [Google Scholar] [CrossRef]
- Aloisio, J.M.; Tuininga, A.R.; Lewis, J.D. Crop species selection effects on stormwater runoff and edible biomass in an agricultural green roof microcosm. Ecol. Eng. 2016, 88, 20–27. [Google Scholar] [CrossRef]
- Beck, D.A.; Johnson, G.R.; Spolek, G.A. Amending greenroof soil with biochar to affect runoff water quantity and quality. Environ. Pollut. 2011, 159, 2111–2118. [Google Scholar] [CrossRef] [PubMed]
- Seidl, M.; Gromaire, M.-C.; Saad, M.; De Gouvello, B. Effect of substrate depth and rain-event history on the pollutant abadement of green roofs. Environ. Pollut. 2013, 183, 195–203. [Google Scholar] [CrossRef] [PubMed]
- Vijayaraghavan, K.; Joshi, U.M.; Balasubramanian, R. A field study to evaluate runoff quality from green roofs. Water Res. 2012, 46, 1337–1345. [Google Scholar] [CrossRef] [PubMed]
- Burszta-Adamiak, E. Analysis of stormwater retention on green roofs. Arch. Environ. Prot. 2012, 38, 3–13. [Google Scholar]
- Valentukevičienė, M.; Rynkun, G. Water reuse possibilities at students dormitories. Annu. Set Environ. Prot. 2016, 18, 927–936. [Google Scholar]
- Dusza, Y.; Barot, S.; Kraepiel, Y.; Lata, J.C.; Abbadie, L.; Raynaud, X. Multifunctionality is affected by interactions between green roof plant species, substrate depth, and substrate type. Ecol. Evol. 2017, 7, 2357–2369. [Google Scholar] [CrossRef] [PubMed]
- Nagase, A.; Dunnett, N.; Choi, M.S. Investigation of plant growth and flower performance on a semi-extensive green roof. Urban For. Urban Green. 2017, 23, 61–73. [Google Scholar] [CrossRef]
- Forschungsgesellschaft Landschaftsentwicklung Landschaftsbau (FLL). Guidelines for the Planning, Construction and Maintenance of Green Roofing—Green Roofing Guideline; FLL: Bonn, Germany, 2008. [Google Scholar]
- Stowarzyszenie Wykonawców Dachów Płaskich i Fasad (DAFA). Dachy zielone. In Wytyczne do Projektowania, Wykonywania i Pielęgnacji Dachów Zielonych—Wytyczne dla Dachów Zielonych; Stowarzyszenie Wykonawców Dachów Płaskich i Fasad (DAFA): Opole, Poland, 2015. [Google Scholar]
- International Organization for Standardization (ISO). PN-ISO 10390:1997 Equivalent to ISO 10390:1994 Soil Quality—Determination of pH; ISO: Geneva, Switzerland, 1998. [Google Scholar]
- Ascott, M.J.; Gooddy, D.C.; Lapworth, D.J.; Stuart, M.E. Estimating the leakage contribution of phosphate dosed drinking water to environmental phosphorus pollution at the national-scale. Sci. Total Environ. 2016, 572, 1534–1542. [Google Scholar] [CrossRef] [PubMed]
- Felipe, M.J.; Nguen, K.; Guo, B.B.; Sandu, C.; Fulmer, D.; Baker, H. Non-phosphorus corrosion inhibitor optimizes cooling tower uptime for environmental compliance. Hydrocarb. Process. 2016, 95, 73–76. [Google Scholar]
- Valentukevičienė, M.; Zurauskiene, R.; Satkunas, J. The main microelements and phosphorus content of sediments formed in a drinking water supply system. Estonian J. Earth Sci. 2016, 65, 248–257. [Google Scholar] [CrossRef]
- Kuoppamäki, K.; Lehvävirta, S. Mitigating nutrient leaching from green roofs with biochar. Landsc. Urban Plan. 2016, 152, 39–48. [Google Scholar] [CrossRef]
- Harper, G.E.; Limmer, M.A.; Showalter, W.E.; Burken, J.G. Nine-month evaluation of runoff quality and quantity from an experimental green roof in Missouri, USA. Ecol. Eng. 2015, 78, 127–133. [Google Scholar] [CrossRef]
- Song, K.; Xenopoulos, M.A.; Marsalek, J.; Frost, P.C. The fingerprints of urban nutrients: Dynamics of phosphorus speciation in water flowing through developed landscapes. Biogeochemistry 2015, 125, 1–10. [Google Scholar] [CrossRef]
- Mallin, A.M.; Johnson, V.L.; Ensign, S.H. Comparative impacts of stormwater runoff on water quality of an urban, a suburban, and a rural stream. Environ. Monit. Assess. 2009, 159, 475–491. [Google Scholar] [CrossRef] [PubMed]
- Taebi, A.; Droste, R.L. Pollution loads in urban runoff and sanitary watewater. Sci. Total Environ. 2004, 327, 175–184. [Google Scholar] [CrossRef] [PubMed]
- Pluta, K.; Mrowiec, M. Analiza oddziaływania systemów kanalizacyjnych na odbiornik. Inż. Ekol. 2015, 45, 183–194. [Google Scholar] [CrossRef]
- Gajewska, M.; Obarska-Pempkowiak, H. Efficiency of pollutant removal by five multistage constructed wetlands in a temperate climate. Environ. Prot. Eng. 2011, 37, 27–36. [Google Scholar]
- Gajewska, M.; Kopeć, Ł.; Obarska-Pempkowiak, H. Operation of small wastewater treatment facilities in a scattered settlement. Rocz. Ochr. Środowiska 2011, 13, 207–225. [Google Scholar]
- Spetzman, J.; Black, G.; Hetzel, C.; McDonald, K.; Heiskary, S.; Horgan, B.; Mugaas, B.; Rosen, C.; Struss, R. Phosphorus in Lawns, Landscapes and Lakes. In An Informative Guide on Phosphorus; Minnesota Department of Agriculture, Minnesota Office of Environmental Assistance, Minnesota Pollution Control Agency, University of Minnesota Extension Service: St Paul, MN, USA, 2004. [Google Scholar]
- Walker, J.L.; Younos, T.; Zipper, C.E. Nutrients in Lakes and Reservoirs—A Literature Review for Use in Nutrient Criteria Development; Report Grant No. 06HQGR0021; Virginia Polytechnic Institute and State University Blacksburg: Blacksburg, VA, USA, 2007. [Google Scholar]
- Forschungsgesellschaft Landschaftsentwicklung Landschaftsbau (FLL). Recommendations for Planning, Construction, Servicing and Operation of Outdoor Swimming Pools with Biological Water Purification (Swimming and Bathing Ponds); FLL: Bonn, Germany, 2013. [Google Scholar]
- Camm, E. An Evaluation of Engineered Media for Phosphorus Removal from Greenroof Stormwater Runoff. Master’s Thesis, University of Waterloo, Waterloo, ON, Canada, 2011. [Google Scholar]
- Karczmarczyk, A.; Baryła, A.; Bus, A. Effect of P-reactive drainage aggregates on green roof runoff quality. Water 2014, 6, 2575–2589. [Google Scholar] [CrossRef]
- Bus, A.; Karczmarczyk, A.; Baryła, A. The use of reactive material for limiting P-leaching from green roof substrate. Water Sci. Technol. 2016, 73, 3027–3032. [Google Scholar] [CrossRef] [PubMed]
- Karczmarczyk, A.; Kocik, A. Influence of the thickness of the P-reactive drainage layer on phosphate content in green roof runoff. Sci. Rev. Eng. Environ. Sci. 2017, 26, 448–457. (In Polish) [Google Scholar]
- Karczmarczyk, A.; Bus, A. Removal of phosphorus using suspended reactive filters (SRFs)—Efficiency and potential applications. Water Sci. Technol. 2017, 76, 1104–1111. [Google Scholar] [CrossRef] [PubMed]




| Substrate | S1 | S2 | S3 | S4 | S5 | S6 (2013) | S6 (2017) |
|---|---|---|---|---|---|---|---|
| type | intensive | intensive | intensive | extensive | extensive | intensive | intensive |
| age | fresh | fresh | fresh | fresh | fresh | fresh | 5 years old |
| composition | mineral-organic | mineral-organic | mineral-organic | no data | mineral | mineral-organic | mineral-organic |
| pH | 7.31 | 7.19 | 7.60 | 8.03 | 7.74 | - | - |
| OM content [%] | 10.4 | 7.0 | 7.4 | 7.2 | 0 | - | - |
| bulk density [kg/m3] | 1054.8 | 1051.1 | 983.4 | 1145.6 | 1498.7 | 1430.0–1570.0 | 1560.0–1755.0 |
| Rainfall | |||||
| Precipitation [mm] | 470.0 | ||||
| Concentration of P-PO43− [mg/L] in rainwater samples: mean * (min–max) | 0.035 (0–0.943) | ||||
| UAL of P-PO43− [mg/m2] in precipitation | 16.644 | ||||
| Runoff | |||||
| Substrate | S1 | S2 | S3 | S4 | S5 |
| Volume of leachate [mm] | 330.7 | 308.3 | 323.9 | 308.8 | 346.5 |
| Concentration of P-PO43− [mg/L] in leachate samples: mean * (min–max) | 0.116 (0–0.769) | 0.242 (0–0.791) | 0.286 (0–3.169) | 0.050 (0–0.961) | 0.060 (0–0.974) |
| UAL of P-PO43− [mg/m2 of substrate] | 37.6 | 73.2 | 90.8 | 15.1 | 20.4 |
| Unit load of P-PO43− [mg/kg of substrate] | 0.908 | 1.773 | 2.351 | 0.337 | 0.346 |
| Concentration of Phosphates in Leachate | Volume of Precipitation | Volume of Leachate | Concentration of Phosphates in Simulated Precipitation |
|---|---|---|---|
| S1 | 0.3218 (0.0332) | 0.2935 (0.0531) | 0.1034 (0.5041) |
| S2 | −0.0643 (0.6784) | 0.0139 (0.9286) | 0.1742 (0.2580) |
| S3 | 0.0484 (0.7551) | 0.0737 (0.6347) | 0.7847 (0.0000) |
| S4 | −0.1059 (0.4938) | −0.1004 (0.5168) | 0.0068 (0.9651) |
| S5 | 0.0519 (0.7441) | 0.0238 (0.8810) | 0.9543 (0.0000) |
| Year | 2013 (1st Year) | 2014 (2nd Year) | 2017 (5th Year) |
|---|---|---|---|
| Observation period [months] | IV–IX | IV–VIII | IV–IX |
| Rainfall | |||
| Precipitation [mm] | 448.9 ** | 338.1 ** | 539.6 |
| Concentration of P-PO43− [mg/L] in rainwater samples: mean * (min–max) | 0.018 (0–0.274) | 0.012 (–0.249) | 0.043 (–0.213) |
| UAL of P-PO43− [mg/m2] in precipitation | 8.27 | 4.00 | 23.47 |
| Runoff | |||
| Volume of leachate [mm] | 158.7 | 119.0 | 106.8 |
| Concentration of P-PO43− [mg/L] in leachate samples: mean * (min–max) | 0.075 (–0.229) | 0.090 (–0.281) | 0.026 (–0.223) |
| UAL of P-PO43− [mg/m2 of substrate] | 12.00 | 10.73 | 2.80 |
| Phosphate Concentrations in Leachate | Volume of Precipitation | Volume of Leachate | Concentration of Phosphates in Precipitation |
|---|---|---|---|
| 2013 (1st year of experiment) | −0.0563 (0.7804) | 0.1011 (0.6157) | −0.3428 (0.0801) |
| 2014 (2nd year of experiment) | 0.4555 (0.0380) | 0.5138 (0.0172) | −0.2507 (0.2729) |
| 2017 (5th year of experiment) | −0.1551 (0.0483) | 0.0456 (0.8486) | 0.3622 (0.1166) |
© 2018 by the authors. Licensee MDPI, Basel, Switzerland. This article is an open access article distributed under the terms and conditions of the Creative Commons Attribution (CC BY) license (http://creativecommons.org/licenses/by/4.0/).
Share and Cite
Karczmarczyk, A.; Bus, A.; Baryła, A. Phosphate Leaching from Green Roof Substrates—Can Green Roofs Pollute Urban Water Bodies? Water 2018, 10, 199. https://doi.org/10.3390/w10020199
Karczmarczyk A, Bus A, Baryła A. Phosphate Leaching from Green Roof Substrates—Can Green Roofs Pollute Urban Water Bodies? Water. 2018; 10(2):199. https://doi.org/10.3390/w10020199
Chicago/Turabian StyleKarczmarczyk, Agnieszka, Agnieszka Bus, and Anna Baryła. 2018. "Phosphate Leaching from Green Roof Substrates—Can Green Roofs Pollute Urban Water Bodies?" Water 10, no. 2: 199. https://doi.org/10.3390/w10020199
APA StyleKarczmarczyk, A., Bus, A., & Baryła, A. (2018). Phosphate Leaching from Green Roof Substrates—Can Green Roofs Pollute Urban Water Bodies? Water, 10(2), 199. https://doi.org/10.3390/w10020199
