A New Well-Balanced Reconstruction Technique for the Numerical Simulation of Shallow Water Flows with Wet/Dry Fronts and Complex Topography
Abstract
1. Introduction
2. Review of the SGM and RSGM
2.1. SGM
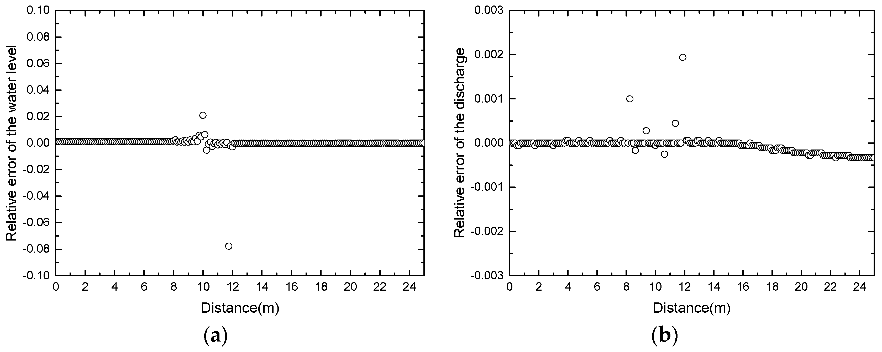
2.2. RSGM
3. New Reconstruction Technique
3.1. Reconstruction for the Flooded Cell
- (1)
- If and are both positive, the RSGM is applied.
- (2)
- If , we reset the water level at the two sides of the cell (Figure 1c):
- (3)
- If , a similar correction is made.
3.2. Reconstruction at the Partially Flooded Cell
4. Implementation Using a Godunov-Type Method
5. Numerical Results
5.1. Steady Flow over One-Bump Topography
5.1.1. Still-Water Test for Well-Balanced Property
5.1.2. Transcritical Flow without a Shock
5.1.3. Transcritical Flow with a Shock
5.1.4. Subcritical Flow
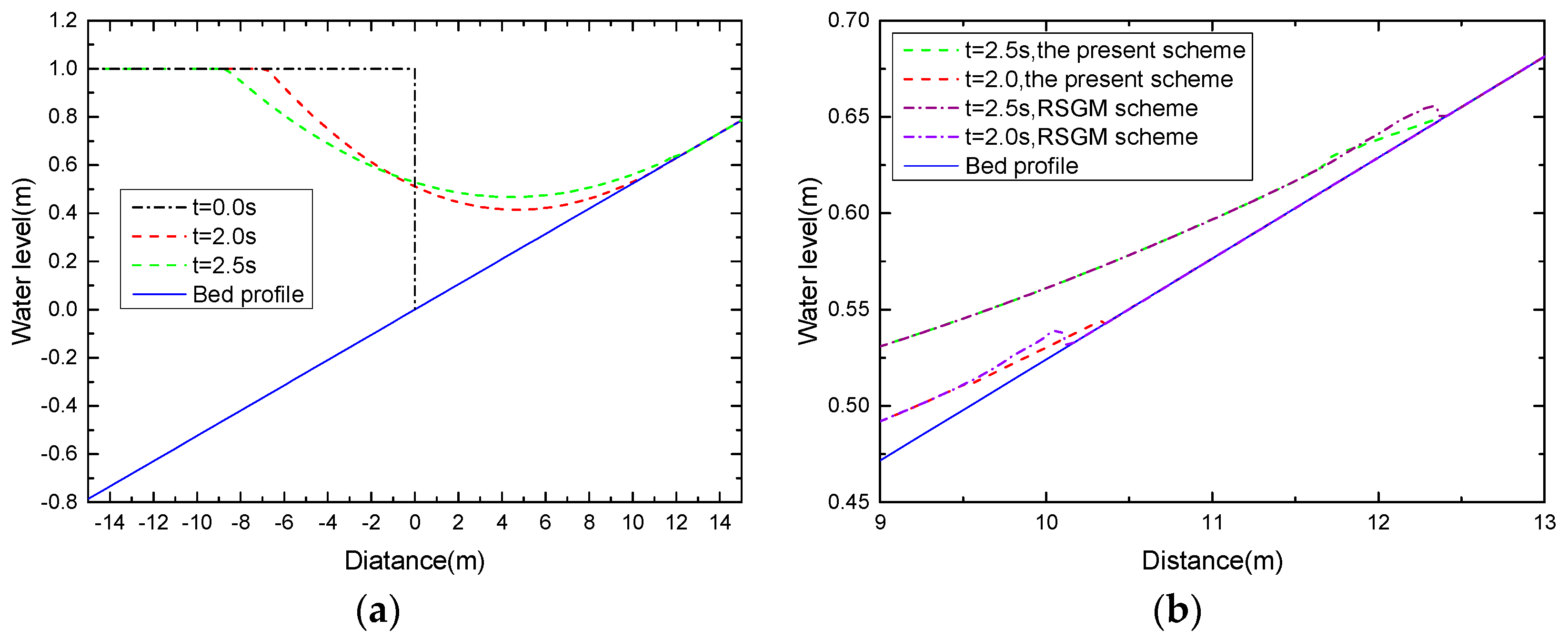
5.2. Drain on a Bump Bottom
5.3. Dam-Break Problem over a Plane
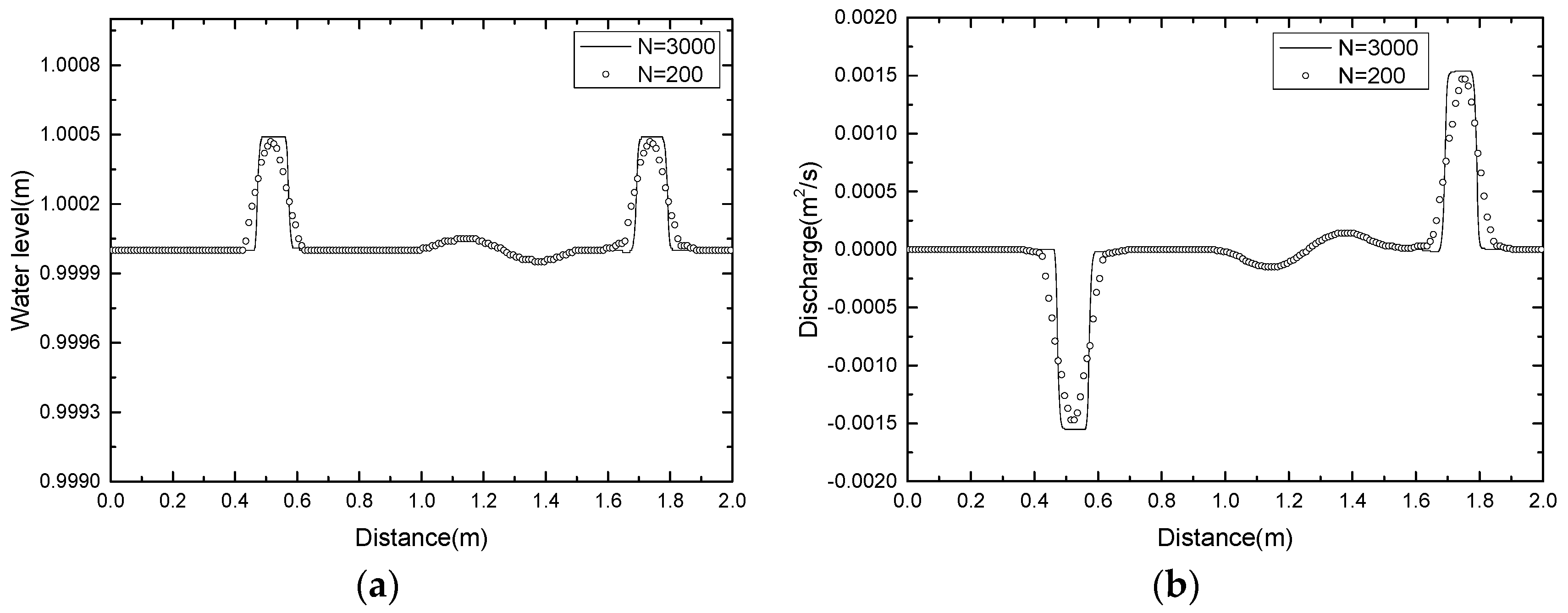
5.4. Small Perturbation Test
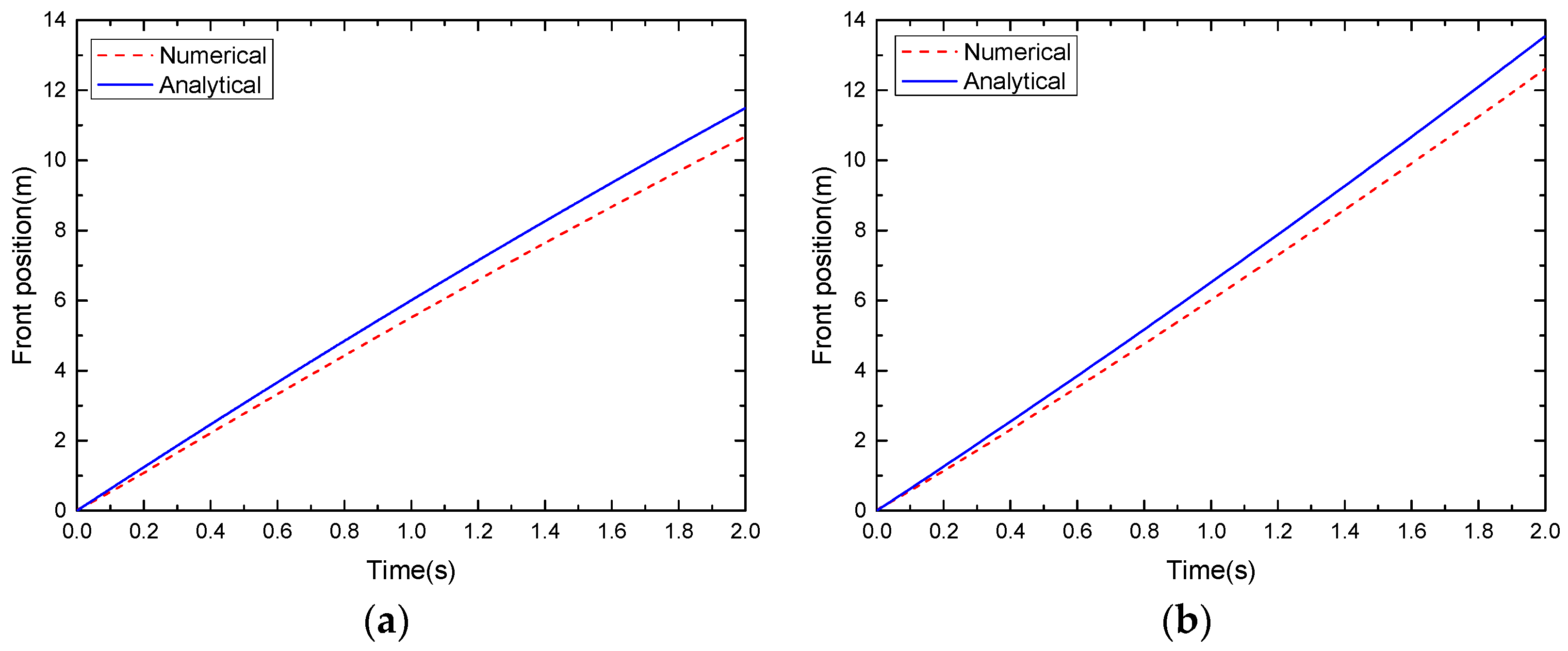
5.5. Evolution of Shorelines over a Parabolic Topography
5.6. Experiments of Dam-Break over a Triangular Obstacle
6. Conclusions
Author Contributions
Funding
Conflicts of Interest
Notation
| Ccfl | Courant number |
| B | bottom topography (m) |
| F | the flux vector |
| g | gravity acceleration (ms−2) |
| G | slope limiter |
| h | water depth (m) |
| S | the source vector |
| S | wave speed |
| u | depth-averaged velocity (ms−1) |
| U | the vector of conservable variables |
| the separation point between wet and dry areas | |
| z | water level (m) |
| the gradient of z | |
| the bed slope |
References
- Bradford, S.F.; Sanders, B.F. Finite-volume model for shallow water flooding of arbitrary topography. J. Hydraul. Eng. 2002, 128, 289–298. [Google Scholar] [CrossRef]
- Hou, J.; Simons, F.; Liang, Q.; Hinkelmann, R. An improved hydrostatic reconstruction method for shallow water model. J. Hydraul. Res. 2014, 52, 432–439. [Google Scholar] [CrossRef]
- Liang, Q.H. Flood simulation using a well-balanced shallow flow model. J. Hydraul. Eng. 2010, 136, 669–675. [Google Scholar] [CrossRef]
- Wang, Y.L.; Liang, Q.H.; Kesserwani, G.; Hall, J.W. A 2D shallow flow model for practical dam-break simulations. J. Hydraul. Res. 2011, 49, 307–316. [Google Scholar] [CrossRef]
- Cunge, J.A.; Wegner, M. Intégration numérique des équations d’écoulement de Barré de Saint-Venant par un schéma implicite de différences finies. La Houille Blanche 1964, 1, 33–39. [Google Scholar] [CrossRef]
- Bollermann, A.; Chen, G.; Kurganov, A.; Noelle, S. A well-balanced reconstruction of wet/dry fronts for the shallow water equations. J. Sci. Comput. 2013, 56, 267–290. [Google Scholar] [CrossRef]
- Audusse, E.; Bouchut, F.; Bristeau, M.O.; Klein, R.; Perthame, B. A fast and stable well-balanced scheme with hydrostatic reconstruction for shallow water flows. SIAM J. Sci. Comput. 2004, 25, 2050–2065. [Google Scholar] [CrossRef]
- Liang, Q.H.; Marche, F. Numerical resolution of well-balanced shallow water equations with complex source terms. Adv. Water Resour. 2009, 32, 873–884. [Google Scholar] [CrossRef]
- Hubbard, M.E.; Garcia-Navarro, P. Flux difference splitting and the balancing of source terms and flux gradients. J. Comput. Phys. 2000, 165, 89–125. [Google Scholar] [CrossRef]
- Greenberg, J.M.; Leroux, A.Y. A well-balanced scheme for the numerical processing of source terms in hyperbolic equations. SIAM 1996, 33, 1–16. [Google Scholar] [CrossRef]
- Bermudez, A.; Ma, E.V. Upwind methods for hyperbolic conservation laws with source terms. Comput. Fluids 1994, 23, 1049–1071. [Google Scholar] [CrossRef]
- Gallardo, J.M.; Pares, C.; Castro, M. On a well-balanced high-order finite volume scheme for shallow water equations with topography and dry areas. J. Comput. Phys. 2007, 227, 574–601. [Google Scholar] [CrossRef]
- Xing, Y.L.; Zhang, X.X.; Shu, C.W. Positivity-preserving high order well-balanced discontinuous Galerkin methods for the shallow water equations. Adv. Water Resour. 2010, 33, 1476–1493. [Google Scholar] [CrossRef]
- Liang, Q.H.; Borthwick, A.G.L. Adaptive quadtree simulation of shallow flows with wet–dry fronts over complex topography. Comput. Fluids 2009, 38, 221–234. [Google Scholar] [CrossRef]
- Kurganov, A.; Petrova, G. A second-order well-balanced positivity preserving central-upwind scheme for the Saint-Venant system. Commun. Math. Sci. 2007, 5, 133–160. [Google Scholar] [CrossRef]
- Toro, E.F. Riemann Solvers and Numerical Methods for Fluid Dynamics; Springer: Berlin/Heidelberg, Germany, 1999; ISBN 978-3-662-03492-7. [Google Scholar]
- Zhou, J.G.; Causon, D.M.; Mingham, C.G.; Ingram, D.M. The surface gradient method for the treatment of source terms in the shallow-water equations. J. Comput. Phys. 2001, 168, 1–25. [Google Scholar] [CrossRef]
- Zhou, J.G.; Causon, D.M.; Ingram, D.M.; Mingham, C.G. Numerical solutions of the shallow water equations with discontinuous bed topography. Int. J. Numer. Meth. Fluids 2002, 38, 769–788. [Google Scholar] [CrossRef]
- Kim, D.H.; Cho, Y.S.; Kim, H.J. Well-balanced scheme between flux and source terms for computation of shallow-water equations over irregular bathymetry. J. Eng. Mech. 2008, 134, 277–290. [Google Scholar] [CrossRef]
- Toro, E.F. Shock Capturing Methods for Free-Surface Shallow Flows; John Wiley & Sons Inc.: New York, NY, USA, 2001; ISBN 0471987662. [Google Scholar]
- Gallouët, T.; Herard, J.M.; Seguin, N. Some approximate Godunov schemes to compute shallow-water equations with topography. Comput. Fluids 2003, 32, 479–513. [Google Scholar] [CrossRef]
- Peregrine, D.H.; Williams, S.M. Swash overtopping a truncated plane beach. J. Fluid Mech. 2001, 440, 391–399. [Google Scholar] [CrossRef]
- LeVeque, R.J. Balancing source terms and flux gradients in high-resolution Godunov methods: The quasi-steady wave-propagation algorithm. J. Comput. Phys. 1998, 146, 346–365. [Google Scholar] [CrossRef]
- Xing, Y.L.; Shu, C.W. High order finite difference WENO schemes with the exact conservation property for the shallow water equations. J. Comput. Phys. 2005, 208, 206–227. [Google Scholar] [CrossRef]
- Sampson, J.; Easton, A.; Singh, M. Moving boundary shallow water flow above parabolic bottom topography. Anziam J. 2006, 47, C373–C387. [Google Scholar] [CrossRef]





















© 2018 by the authors. Licensee MDPI, Basel, Switzerland. This article is an open access article distributed under the terms and conditions of the Creative Commons Attribution (CC BY) license (http://creativecommons.org/licenses/by/4.0/).
Share and Cite
Zhu, Z.; Yang, Z.; Bai, F.; An, R. A New Well-Balanced Reconstruction Technique for the Numerical Simulation of Shallow Water Flows with Wet/Dry Fronts and Complex Topography. Water 2018, 10, 1661. https://doi.org/10.3390/w10111661
Zhu Z, Yang Z, Bai F, An R. A New Well-Balanced Reconstruction Technique for the Numerical Simulation of Shallow Water Flows with Wet/Dry Fronts and Complex Topography. Water. 2018; 10(11):1661. https://doi.org/10.3390/w10111661
Chicago/Turabian StyleZhu, Zhengtao, Zhonghua Yang, Fengpeng Bai, and Ruidong An. 2018. "A New Well-Balanced Reconstruction Technique for the Numerical Simulation of Shallow Water Flows with Wet/Dry Fronts and Complex Topography" Water 10, no. 11: 1661. https://doi.org/10.3390/w10111661
APA StyleZhu, Z., Yang, Z., Bai, F., & An, R. (2018). A New Well-Balanced Reconstruction Technique for the Numerical Simulation of Shallow Water Flows with Wet/Dry Fronts and Complex Topography. Water, 10(11), 1661. https://doi.org/10.3390/w10111661
