Sugarcane Distillery Spent Wash, a New Resource for Third-Generation Biodiesel Production
Abstract
1. Introduction
2. Materials and Methods
2.1. Strains and Culture Conditions
2.2. Biomass Determination
2.3. Total Lipids Extraction
2.4. Monitoring of the Growth Kinetics of the Selected Strains
2.5. Analytical Methods
2.6. Statistical Analysis
3. Results and Discussion
3.1. Screening for Microbial Growth and Lipid Accumulation on Crude DSW
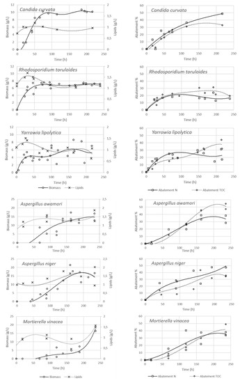
3.2. Growth Kinetics of the Best Biomass or Lipid Producer Strains
3.3. Composition of the Lipids and Properties of the Biodiesel
4. Conclusions
Supplementary Materials
Author Contributions
Funding
Conflicts of Interest
References
- Bardhan, S.K.; Gupta, S.; Gorman, M.E.; Haider, M.A. Biorenewable chemicals: Feedstocks, technologies and the conflict with food production. Renew. Sustain. Energy Rev. 2015, 51, 506–520. [Google Scholar] [CrossRef]
- Banković-Ilić, I.B.; Stojković, I.J.; Stamenković, O.S.; Veljkovic, V.B.; Hung, Y.-T. Waste animal fats as feedstocks for biodiesel production. Renew. Sustain. Energy Rev. 2014, 32, 238–254. [Google Scholar] [CrossRef]
- Koizumi, T. Biofuels and food security. Renew. Sustain. Energy Rev. 2015, 52, 829–841. [Google Scholar] [CrossRef]
- Gmunder, S.; Singh, R.; Pfister, S.; Adheloya, A.; Zah, R. Environmental Impacts of Jatropha curcas Biodiesel in India. J. Biomed. Biotechnol. 2012, 2012. [Google Scholar] [CrossRef] [PubMed]
- Hawash, S.; Kamal, N.; Zaher, F.; Kenawi, O.; Diwani, G.E. Biodiesel fuel from Jatropha oil via non-catalytic supercritical methanol transesterification. Fuel 2009, 88, 579–582. [Google Scholar] [CrossRef]
- Yang, S.; Li, Q.; Gao, Y.; Zheng, L.; Liu, Z. Biodiesel production from swine manure via housefly larvae (Musca domestica L.). Renew. Energy 2014, 66, 222–227. [Google Scholar] [CrossRef]
- Shi, X.-Y.; Li, T.-Y.; Wang, M.; Wu, W.-W.; Li, W.-J.; Wu, Q.-Y.; Wu, F.-A.; Wang, J. Converting defatted silkworm pupae by Yarrowia lipolytica for enhanced lipid production. Eur. J. Lipid Sci. Technol. 2017, 119, 1600120. [Google Scholar] [CrossRef]
- Rahman, Z.; Rashid, N.; Nawab, J.; Ilyas, M.; Sung, B.H.; Kim, S.C. Escherichia coli as a fatty acid and biodiesel factory: Current challenges and future directions. Environ. Sci. Pollut. Res. 2016, 23, 12007–12018. [Google Scholar] [CrossRef] [PubMed]
- Meng, X.; Yang, J.; Xu, X.; Zhang, L.; Nie, Q.; Xian, M. Biodiesel production from oleaginous microorganisms. Renew. Energy 2009, 34, 1–5. [Google Scholar] [CrossRef]
- Marella, E.R.; Holkenbrink, C.; Siewers, V.; Borodina, I. Engineering microbial fatty acid metabolism for biofuels and biochemicals. Curr. Opin. Biotechnol. 2018, 50, 39–46. [Google Scholar] [CrossRef] [PubMed]
- Rahman, Z.; Nawab, J.; Sung, B.H.; Kim, S.C. A critical analysis of bio-hydrocarbon production in bacteria: Current challenges and future directions. Energies 2018, 11, 2663. [Google Scholar] [CrossRef]
- Chatzifragkou, A.; Makri, A.; Belka, A.; Bellou, S.; Mavrou, M.; Mastoridou, M.; Mystrioti, P.; Onjaro, G.; Aggelis, G.; Papanikolaou, S. Biotechnological conversions of biodiesel derived waste glycerol by yeast and fungal species. Energy 2011, 36, 1097–1108. [Google Scholar] [CrossRef]
- Papanikolaou, S.; Aggelis, G. Lipid production by Yarrowia lipolytica growing on industrial glycerol in a single-stage continuous culture. Bioresour. Technol. 2002, 82, 43–49. [Google Scholar] [CrossRef]
- Hoarau, J.; Caro, Y.; Petit, T.; Grondin, I. Evaluation of Direct Wet Transesterification Methods on Yeast and Fungal Biomass Grown on Sugarcane Distillery Spent Wash. Chem. Eng. Process Tech. 2016, 2, 1032. [Google Scholar]
- Yellapu, S.K.; Kaur, R.; Kumar, L.R.; Tiwari, B.; Zhang, X.; Tyagi, R.D. Recent developments of downstream processing for microbial lipids and conversion to biodiesel. Bioresour. Technol. 2018, 256, 515–528. [Google Scholar] [CrossRef] [PubMed]
- Muniraj, I.K.; Xiao, L.; Hu, Z.; Zhan, X.; Shi, J. Microbial lipid production from potato processing wastewater using oleaginous filamentous fungi Aspergillus oryzae. Water Res. 2013, 47, 3477–3483. [Google Scholar] [CrossRef] [PubMed]
- Kuan, I.; Kao, W.C.; Chen, C.L.; Yu, C.Y. Microbial biodiesel production by direct transesterification of Rhodotorula glutinis biomass. Energies 2018, 11, 1036. [Google Scholar] [CrossRef]
- Leiva-Candia, D.E.; Pinzi, S.; Redel-Macías, M.D.; Koutinas, A.; Webb, C.; Dorado, M.P. The potential for agro-industrial waste utilization using oleaginous yeast for the production of biodiesel. Fuel 2014, 123, 33–42. [Google Scholar] [CrossRef]
- Chuppa-Tostain, G.; Hoarau, J.; Watson, M.; Adelard, L.; Shum Cheong Sing, A.; Caro, Y.; Grondin, I.; Bourven, I.; Francois, J.-M.; Girbal-Neuhauser, E.; et al. Production of Aspergillus niger biomass on sugarcane distillery wastewater: Physiological aspects and potential for biodiesel production. Fungal Biol. Biotechnol. 2018, 5, 1. [Google Scholar] [CrossRef] [PubMed]
- Rath, P.; Pradhan, G.; Misra, M. Effect of distillery spent wash (DSW) and fertilizer of growth and chlorophyll content of sugarcane (Saccharum officinarum l) plant. Rec. Res. Sci. Technol. 2011, 3, 169–176. [Google Scholar]
- Mohana, S.; Acharya, B.K.; Madamwar, D. Distillery spent wash: Treatment technologies and potential applications. J. Hazard. Mater. 2009, 163, 12–25. [Google Scholar] [CrossRef] [PubMed]
- Kumar, V.; Wati, L.; Nigam, P.; Banat, I.M.; Yadav, B.S.; Singh, D.; Marchant, R. Decolorization and biodegradation of anaerobically digested sugarcane molasses spent wash effluent from biomethanation plants by white-rot fungi. Process Biochem. 1998, 33, 83–88. [Google Scholar] [CrossRef]
- Hoarau, J.; Caro, Y.; Grondin, I.; Petit, T. Sugarcane vinasse processing: Toward a status shift from waste to valuable resource. A review. J. Water Process Eng. 2018, 24, 11–25. [Google Scholar] [CrossRef]
- Coulibaly, L.; Gourene, G.; Agathos, N.S. Utilization of fungi for biotreatment of raw wastewaters. Afr. J. Biotechnol. 2003, 2, 620–630. [Google Scholar] [CrossRef]
- Bellou, S.; Makri, A.; Sarris, D.; Michos, K.; Rentoumi, P.; Celik, A.; Papanikolaou, S.; Aggelis, G. The olive mill wastewater as substrate for single cell oil production by Zygomycetes. J. Biotechnol. 2014, 170, 50–59. [Google Scholar] [CrossRef] [PubMed]
- Faife, E.; Otero, M.A.; Alvarez, A.; Peña, M.A.; Melfi, M.; Matos, M.L.; Kozlowski, A.M. Microbial oil production by oleaginous yeasts on wastewaters-based medium. Int. Sugar J. 2011, 113, 786–791. [Google Scholar]
- Batrakov, S.G.; Konova, I.V.; Sheichenko, V.I.; Esipov, S.E.; Galanina, L.A.; Istratova, L.N.; Sergeeva, Y.E. Lipids of the zygomycete Absidia corymbifera F-965. Phytochemistry 2004, 65, 1239–1246. [Google Scholar] [CrossRef] [PubMed]
- Batrakov, S.G.; Konovab, I.V.; Sheichenko, V.I.; Esipov, S.E.; Galanina, L.A. Two unusual glycerophospholipids from a filamentous fungus, Absidia corymbifera. Biochim. Biophys. Acta 2001, 1531, 169–177. [Google Scholar] [CrossRef]
- Saad, R.R. Effect of water activity on growth and lipids of xerophilic fungi, Aspergillus repens and Aspergillus amstelodami. Zentralblatt für Mikrobiologie 1992, 147, 61–64. [Google Scholar] [CrossRef]
- Venkata Subhash, G.; Venkata Mohan, S. Lipid accumulation for biodiesel production by oleaginous fungus Aspergillus awamori: Influence of critical factors. Fuel 2013, 116, 509–515. [Google Scholar] [CrossRef]
- Khot, M.; Kamat, S.; Zinjarde, S.; Pant, A.; Chopade, B.; Ravikumar, A. Single cell oil of oleaginous fungi from the tropical mangrove wetlands as a potential feedstock for biodiesel. Microb. Cell Fact. 2012, 11, 71. [Google Scholar] [CrossRef] [PubMed]
- Ryu, B.-G.; Kim, J.; Kim, K.; Choi, Y.-E.; Han, J.; Yang, J. High-cell-density cultivation of oleaginous yeast Cryptococcus curvatus for biodiesel production using organic waste from the brewery industry. Bioresour. Technol. 2013, 135, 357–364. [Google Scholar] [CrossRef] [PubMed]
- Karatay, S.E.; Dönmez, G. Improving the lipid accumulation properties of the yeast cells for biodiesel production using molasses. Bioresour. Technol. 2010, 101, 7988–7990. [Google Scholar] [CrossRef] [PubMed]
- Fei, Q.; Chang, H.N.; Shang, L.; Choi, J.; Kim, N.; Kang, J. The effect of volatile fatty acids as a sole carbon source on lipid accumulation by Cryptococcus albidus for biodiesel production. Bioresour. Technol. 2011, 102, 2695–2701. [Google Scholar] [CrossRef] [PubMed]
- Fakas, S.; Papanikolaou, S.; Batsos, A.; Galiotou-Panayotou, M.; Mallouchos, A.; Aggelis, G. Evaluating renewable carbon sources as substrates for single cell oil production by Cunninghamella echinulata and Mortierella isabellina. Biomass Bioenergy 2009, 33, 573–580. [Google Scholar] [CrossRef]
- Angerbauer, C.; Siebenhofer, M.; Mittelbach, M.; Guebitz, G.M. Conversion of sewage sludge into lipids by Lipomyces starkeyi for biodiesel production. Bioresour. Technol. 2008, 99, 3051–3056. [Google Scholar] [CrossRef] [PubMed]
- Debjani, M.; Rasmussen, M.L.; Chand, P.; Chintareddy, V.R.; Yao, L.; Grewell, D.; Verkade, J.G.; Wang, T.; van Leeuwen, J.H. Value-added oil and animal feed production from corn-ethanol stillage using the oleaginous fungus Mucor circinelloides. Bioresour. Technol. 2012, 107, 368–375. [Google Scholar]
- Álvarez, R.; Acevedo, F. Increase in lipids production by Pichia angusta DL-1 utilizing the chemostat under double limitation of heterologous nutrients. Biochem. Eng. J. 2012, 67, 83–87. [Google Scholar] [CrossRef]
- Wang, G.-Y.; Chi, Z.; Song, B.; Wang, Z.-P.; Chi, Z.-M. High level lipid production by a novel inulinase-producing yeast Pichia guilliermondii Pcla22. Bioresour. Technol. 2012, 124, 77–82. [Google Scholar] [CrossRef] [PubMed]
- Sankh, S.; Thiru, M.; Saran, S.; Rangaswamy, V. Biodiesel production from a newly isolated Pichia kudriavzevii strain. Fuel 2012, 106, 690–696. [Google Scholar] [CrossRef]
- Wu, S.; Zhao, X.; Shen, H.; Wang, Q.; Zhao, Z.K. Microbial lipid production by Rhodosporidium toruloides under sulfate-limited conditions. Bioresour. Technol. 2011, 102, 1803–1807. [Google Scholar] [CrossRef] [PubMed]
- Yen, H.-W.; Yang, Y.-C.; Yu, Y.-H. Using crude glycerol and thin stillage for the production of microbial lipids through the cultivation of Rhodotorula glutinis. J. Biosci. Bioeng. 2012, 114, 453–456. [Google Scholar] [CrossRef] [PubMed]
- Galafassi, S.; Cucchetti, D.; Pizza, F.; Franzosi, G.; Bianchi, D.; Compagno, C. Lipid production for second generation biodiesel by the oleaginous yeast Rhodotorula graminis. Bioresour. Technol. 2012, 111, 398–403. [Google Scholar] [CrossRef] [PubMed]
- Zhao, C.-H.; Zhang, T.; Li, M.; Chi, Z.-M. Single cell oil production from hydrolysates of inulin and extract of tubers of Jerusalem artichoke by Rhodotorula mucilaginosa TJY15a. Process Biochem. 2010, 45, 1121–1126. [Google Scholar] [CrossRef]
- Zhu, L.Y.; Zong, M.H.; Wu, H. Efficient lipid production with Trichosporon fermentans and its use for biodiesel preparation. Bioresour. Technol. 2008, 99, 7881–7885. [Google Scholar] [CrossRef] [PubMed]
- Beopoulos, A.; Cescut, J.; Haddouche, R.; Uribelarrea, J.-L.; Molina-Jouve, C.; Nicaud, J.-M. Yarrowia lipolytica as a model for bio-oil production. Prog. Lipid Res. 2009, 48, 375–387. [Google Scholar] [CrossRef] [PubMed]
- Liu, J.; Liu, Y.; Wang, H.; Xue, S. Direct transesterification of fresh microalgal cells. Bioresour. Technol. 2015, 176, 284–287. [Google Scholar] [CrossRef] [PubMed]
- Ramírez-Verduzco, L.F.; Rodríguez-Rodríguez, J.E.; Jaramillo-Jacob, A.R. Predicting cetane number, kinematic viscosity, density and higher heating value of biodiesel from its fatty acid methyl ester composition. Fuel 2012, 91, 102–111. [Google Scholar] [CrossRef]
- Ramos, M.J.; Fernández, C.M.; Casas, A.; Rodríguez, L.; Pérez, Á. Influence of fatty acid composition of raw materials on biodiesel properties. Bioresour. Technol. 2009, 100, 261–268. [Google Scholar] [CrossRef] [PubMed]
- Su, Y.-C.; Liu, Y.A.; Diaz Tovar, C.A.; Gani, R. Selection of prediction methods for thermophysical properties for process modeling and product design of biodiesel manufacturing. Ind. Eng. Chem. Res. 2011, 50, 6809–6836. [Google Scholar] [CrossRef]
- Gonzalez-Garcia, Y.; Hernandez, R.; Zhang, G.; Escalante, F.M.E.; Holmes, W.; French, W.T. Lipids accumulation in Rhodotorula glutinis and Cryptococcus curvatus growing on distillery wastewater as culture medium. Environ. Prog. Sustain. Energy 2011, 32, 69–74. [Google Scholar] [CrossRef]
- Nitayavardhana, S.; Issarapayup, K.; Pavasant, P.; Khanal, S.K. Production of protein-rich fungal biomass in an airlift bioreactor using vinasse as substrate. Bioresour. Technol. 2013, 133, 301–306. [Google Scholar] [CrossRef] [PubMed]
- Nahas, E.; Banzatto, D.A.; Assis, L.C. Fluorapatite solubilization by Aspergillus niger in vinasse medium. Soil Biol. Biochem. 1990, 22, 1097–1101. [Google Scholar] [CrossRef]
- Hoekman, S.K.; Broch, A.; Robbins, C.; Ceniceros, E.; Natarajan, M. Review of biodiesel composition, properties and specifications. Renew. Sustain. Energy Rev. 2012, 16, 143–169. [Google Scholar] [CrossRef]
- Atabani, A.E.; Silitonga, A.S.; Anjum Badruddin, I.; Mahlia, T.M.I.; Masjuki, H.H.; Mekhilef, S. A comprehensive review on biodiesel as an alternative energy resource and its characteristics. Renew. Sustain. Energy Rev. 2012, 16, 2070–2093. [Google Scholar] [CrossRef]


| Name of the Strain | Accession Number | Lipid Content (% Dry Weight) | References |
|---|---|---|---|
| Absidia corymbifera | MUCL 10046 | 20 | [27,28] |
| Aspergillus amstelodami | MUCL 14404 | 51.1 | [29] |
| Aspergillus awamori | MUCL 717 | 28.3 | [30] |
| Aspergillus niger | MUCL 19001 | - | - |
| Aspergillus oryzae | MUCL 19009 | 40 | [16] |
| Aspergillus repens | MUCL 3653 | 18.18 | [29] |
| Aspergillus terreus | MUCL 38811 | 54 | [31] |
| Candida curvata | MUCL 27713 | 37.7 | [32] |
| Candida tropicalis | MUCL 29893 | 46.8 | [33] |
| Cryptococcus albidus | MUCL 30400 | 27 | [34] |
| Cunninghamella echinulata | MUCL 38718 | 57.7 | [35] |
| Gibberella fujikuroi | MUCL 31591 | - | - |
| Lipomyces starkeyi | MUCL 39773 | 68 | [36] |
| Mortierella vinacea | MUCL 15067 | - | - |
| Mucor circinelloides | MUCL 9662 | 46 | [37] |
| Penicillium spinulosum | MUCL 11940 | - | - |
| Pichia angusta | MUCL 27761 | 34.9 | [38] |
| Pichia guilliermondii | MUCL 29837 | 48.6 | [39] |
| Pichia kudriavzevii | MUCL 29849 | 23 | [40] |
| Rhodosporidium toruloides | MUCL 27808 | 58.3 | [41] |
| Rhodotorula glutinis | MUCL 27808 | 36.5 | [42] |
| Rhodotorula graminis | MUCL 11961 | 54 | [43] |
| Rhodotorula mucilaginosa | MUCL 11918 | 48.6 | [44] |
| Schizophyllum commune | MUCL 30748 | - | - |
| Thamnidium elegans | MUCL 15507 | 71.1 | [12] |
| Trichoderma viride | MUCL 29749 | - | - |
| Trichosporon fermentans | MUCL 14474 | 62.4 | [45] |
| Yarrowia lipolytica | MUCL 30108 | 36 | [46] |
| Parameters | Concentration or Value |
|---|---|
| pH | 4.80 ± 0.07 |
| COD (g L−1) | 76.30 ± 4.84 |
| TC (g L−1) | 28.80 ± 1.87 |
| TN (g L−1) | 1.48 ± 0.13 |
| C/N | 19.5 |
| TSS (g L−1) | 8.50 ± 1.33 |
| Strains | Total Dry Biomass (g/L) | Lipid Content (% dcw) | Lipid Yield (g/L) |
|---|---|---|---|
| Fungal strains | |||
| M. vinacea | 14.30 ± 0.77 | 15.84 ± 0.07 | 2.27 ± 0.12 |
| A. awamori | 19.16 ± 2.36 | 10.96 ± 0.5 | 2.08 ± 0.18 |
| A. niger | 24.06 ± 2.2 | 6.94 ± 0.33 | 1.66 ± 0.09 |
| M. circinelloides | 10.48 ± 0.2 | 14.06 ± 0.41 | 1.47 ± 0.03 |
| T. elegans | 12.36 ± 0.48 | 11.59 ± 1.5 | 1.42 ± 0.16 |
| A. amstelodami | 13.51 ± 0.66 | 9.95 ± 0.36 | 1.35 ± 0.11 |
| A. corymbifera | 9.18 ± 0.34 | 10.10 ± 0.81 | 0.93 ± 0.09 |
| C. echinulata | 7.24 ± 1.16 | 11.39 ± 0.4 | 0.82 ± 0.13 |
| A. repens | 6.40 ± 1.37 | 12.66 ± 0.1 | 0.81 ± 0.18 |
| A. oryzae | 13.3 ± 0.84 | 6.13 ± 0.25 | 0.81 ± 0.03 |
| P. spinulosum | 8.13 ± 0.46 | 9.61 ± 0.17 | 0.78 ± 0.05 |
| S. commune | 5.32 ± 2.03 | 10.65 ± 0.28 | 0.56 ± 0.2 |
| T. viride | 4.97 ± 0.37 | 10.85 ± 0.34 | 0.54 ± 0.02 |
| A. terreus | 6.42 ± 3.45 | 4.39 ± 0.3 | 0.30 ± 0.16 |
| G. fujikoroi | 1.66 ± 1.66 | 4.63 ± 0.06 | 0.08 ± 0.08 |
| Yeast strains | |||
| C. curvata | 8.95 ± 0.29 | 10.96 ± 0.19 | 0.98 ± 0.03 |
| R. graminis | 7.64 ± 0.44 | 11.00 ± 0.41 | 0.84 ± 0.03 |
| R. mucilaginosa | 7.80 ± 0.16 | 10.21 ± 0.52 | 0.80 ± 0.03 |
| T. fermentans | 6.20 ± 0.64 | 11.44 ± 0.63 | 0.70 ± 0.06 |
| P. angusta | 4.47 ± 0.36 | 14.83 ± 0.62 | 0.66 ± 0.03 |
| R. glutinis | 6.40 ± 1.13 | 8.21 ± 0.09 | 0.53 ± 0.1 |
| C. albidus | 4.54 ± 2.43 | 8.48 ± 0.93 | 0.43 ± 0.24 |
| C. tropicalis | 6.63 ± 0.39 | 5.73 ± 0.18 | 0.38 ± 0.03 |
| R. toruloides | 1.96 ± 0.14 | 18.15 ± 0.18 | 0.36 ± 0.02 |
| P. guillermondii | 4.92 ± 0.17 | 6.57 ± 0.29 | 0.32 ± 0.03 |
| Y. lipolytica | 3.27 ± 0.06 | 7.28 ± 0.24 | 0.24 ± 0.01 |
| P. kudriavzevii | 3.17 ± 0.08 | 7.28 ± 1.33 | 0.23 ± 0.04 |
| L. starkeyi | 1.22 ± 0.12 | 16.71 ± 1.41 | 0.20 ± 0.01 |
| Cetane Number | Viscosity (mm2/s) | Density (g/cm3) | HHV (MJ/kg) | CFPP (°C) | |
|---|---|---|---|---|---|
| A. niger | 55.47 ± 2.74 | 3.12 ± 0.29 | 0.78 ± 0.06 | 35.75 ± 2.81 | −1.88 ± 2.64 |
| A. awamori | 56.82 ± 2.51 | 3.08 ± 0.2 | 0.77 ± 0.05 | 35.08 ± 2.23 | 3.02 ± 0.25 |
| M. vinacea | 57.96 ± 1.51 | 3.33 ± 0.1 | 0.83 ± 0.02 | 37.84 ± 0.89 | −0.58 ± 0.78 |
| Y. lipolytica | 56.49 ± 5.43 | 3.16 ± 0.42 | 0.79 ± 0.09 | 36.16 ± 4.29 | −2.1 ± 1.21 |
| C. curvata | 56.25 ± 2.02 | 2.9 ± 0.12 | 0.71 ± 0.03 | 32.59 ± 1.28 | 7.04 ± 0.27 |
| R. toruloides | 58.89 ± 5.3 | 3.12 ± 0.04 | 0.76 ± 0.01 | 35.09 ± 0.55 | 2.06 ± 5.05 |
| EN 14214 | >51 | 3.5–5 | 0.85–0.9 | 49.65 * | <−15 a; <0 b |
© 2018 by the authors. Licensee MDPI, Basel, Switzerland. This article is an open access article distributed under the terms and conditions of the Creative Commons Attribution (CC BY) license (http://creativecommons.org/licenses/by/4.0/).
Share and Cite
Hoarau, J.; Grondin, I.; Caro, Y.; Petit, T. Sugarcane Distillery Spent Wash, a New Resource for Third-Generation Biodiesel Production. Water 2018, 10, 1623. https://doi.org/10.3390/w10111623
Hoarau J, Grondin I, Caro Y, Petit T. Sugarcane Distillery Spent Wash, a New Resource for Third-Generation Biodiesel Production. Water. 2018; 10(11):1623. https://doi.org/10.3390/w10111623
Chicago/Turabian StyleHoarau, Julien, Isabelle Grondin, Yanis Caro, and Thomas Petit. 2018. "Sugarcane Distillery Spent Wash, a New Resource for Third-Generation Biodiesel Production" Water 10, no. 11: 1623. https://doi.org/10.3390/w10111623
APA StyleHoarau, J., Grondin, I., Caro, Y., & Petit, T. (2018). Sugarcane Distillery Spent Wash, a New Resource for Third-Generation Biodiesel Production. Water, 10(11), 1623. https://doi.org/10.3390/w10111623

