Model-Based Analysis of Increased Loads on the Performance of Activated Sludge and Waste Stabilization Ponds
Abstract
1. Introduction
2. Materials and Methods
2.1. Experimental Setup
2.2. Model Description
2.3. Parameter Estimation
2.3.1. Screening for Important Parameters
2.3.2. Identifiability Assessment of Parameter Subsets
2.3.3. Model Calibration
2.4. Scenario Analysis
3. Results
3.1. Sensitivity Analysis
3.1.1. Activated Sludge Model
The Most Influential Parameters for Organic Matter Removal
The Most Influential Parameters for Nutrient Removal
The Most Important Parameters Driving Model Outputs
3.1.2. Waste Stabilization Pond Model
The Most Influential Parameters for Organic Matter Removal
The Most Influential Parameters for Nutrient Removal
The Most Important Parameters Driving Model Outputs
3.2. Identifiability Analysis
3.2.1. Activated Sludge Model
3.2.2. Waste Stabilization Pond Model
3.3. Model Calibration
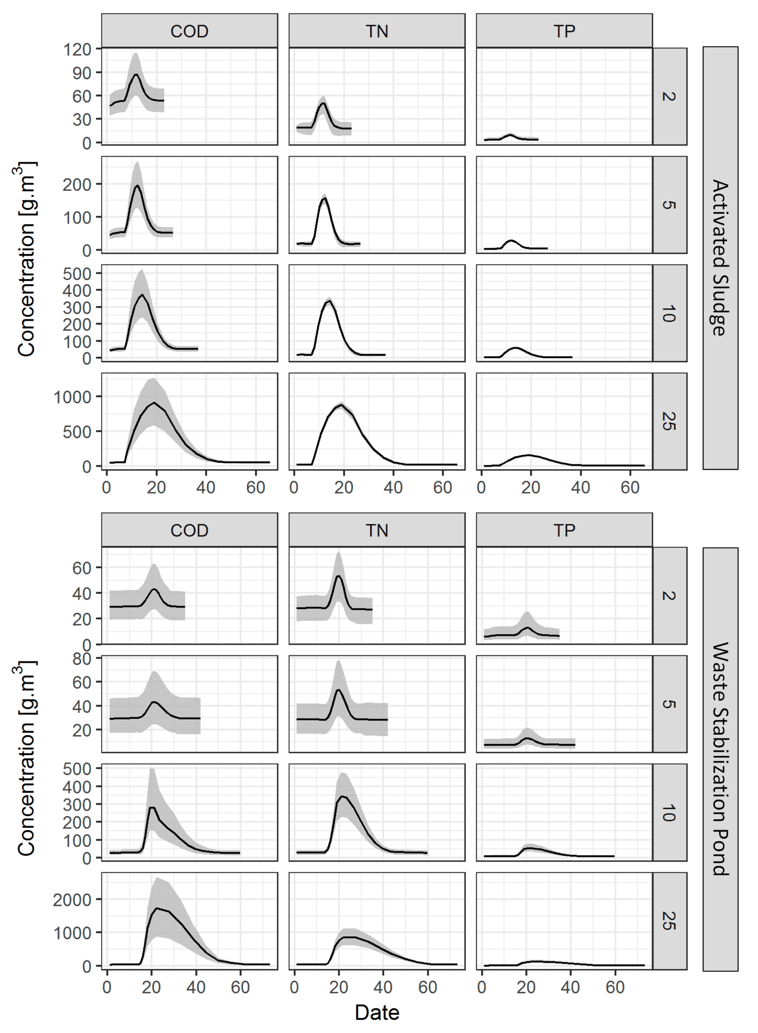
3.4. Scenario Analysis
4. Conclusions
- We performed in silico experiments of four different shock-load scenarios in two sophisticated mechanistic models representing the two systems, i.e., AS and WSP. A systematic procedure of quality assurance for these virtual experiments was implemented to assess their uncertainty outputs, including sensitivity and uncertainty analysis with non-linear error propagation, and, more importantly, model calibration with a 210-day real experiment with 31 days of an increased load scenario. The simulation outputs highlight that the WSP can generally endure the increased load better than AS system, except with extremely high strength wastewater (over 7000 mg COD·L−1), where a specific design focusing on the primary anaerobic pond is needed. From this result, the robustness of WSPs is proved suitable in treating not only municipal wastewater with high strength, but also industrial wastewater, such as poultry wastewater and paperboard wastewater. For further research, different characterizations of these types of wastewater could be applied in the two models to simulate their performance, and from that a concrete conclusion of preferential choice can be withdrawn. Besides removal performance, other factors related to plant footprint, operational and maintenance costs, energy efficiency, and greenhouse emissions should also be considered in this pre-selection process.
- The practical sensitivity analysis casts light on the most influential parameters on the performance of the conventional AS and pond systems. Particularly, as the AS system’s behavior is strongly dependent on the variability of oxygen, parameters related to autotrophic bacteria, the main oxygen consumer, initiate the most variability of particulate organic matter. PAOs emerges to be a main user of phosphorus whereas nitrogen removal is largely driven by nitrification and denitrification in the AS system. In contrast, the nutrient removal in the pond system is mostly done by algal assimilation while the absence of heterotrophs-related parameters indicates the insignificant role of the denitrification process. Also noteworthy is that the five top parameters in the importance-ranking list are all related to photosynthetic activity, which displays its crucial role in the pond performance.
- Model calibration displays a significant improvement in the prediction performance of the AS model, but not the WSP model. This contradictory result can be explained by the overparameterization of the large mechanistic model representing the natural system with numerous parameters and inputs, leading to a high requirement of both the quality and quantity of available data for proper calibration.
- The systematic model-based analysis proved to be a suitable mean for assessing the maximum load of wastewater treatment systems, thus avoiding environmental problems and high economic costs for cleaning surface waters after severe overload events. Moreover, these virtual experiments can be also a handy tool to find a proper solution for system overload, which is currently one of the main challenges of pond treatment technology.
Supplementary Materials
Author Contributions
Acknowledgments
Conflicts of Interest
References
- Verstraete, W.; Vlaeminck, S.E. Zerowastewater: Short-cycling of wastewater resources for sustainable cities of the future. Int. J. Sustain. Dev. World 2011, 18, 253–264. [Google Scholar] [CrossRef]
- United States Environmental Protection Agency. Principles of Design and Operations of Wastewater Treatment Pond Systems for Plant Operators, Engineers, and Managers; United States Environmental Protection Agency, Office of Research and Development: Washington, DC, USA, 2011.
- Ho, L.; Van Echelpoel, W.; Charalambous, P.; Gordillo, A.; Thas, O.; Goethals, P. Statistically-based comparison of the removal efficiencies and resilience capacities between conventional and natural wastewater treatment systems: A peak load scenario. Water 2018, 10, 328. [Google Scholar] [CrossRef]
- Ayyub, B.M. Systems resilience for multihazard environments: Definition, metrics, and valuation for decision making. Risk Anal. 2014, 34, 340–355. [Google Scholar] [CrossRef] [PubMed]
- Schoen, M.; Hawkins, T.; Xue, X.; Ma, C.; Garland, J.; Ashbolt, N.J. Technologic resilience assessment of coastal community water and wastewater service options. Sustain. Water Qual. Ecol. 2015, 6, 75–87. [Google Scholar] [CrossRef]
- Qureshi, N.; Shah, J. Aging infrastructure and decreasing demand: A dilemma for water utilities. J. Am. Water Works Assoc. 2014, 106, 51–61. [Google Scholar] [CrossRef]
- Bettini, Y.; Brown, R.; de Haan, F.J. Water scarcity and institutional change: Lessons in adaptive governance from the drought experience of Perth, Western Australia. Water Sci. Technol. 2013, 67, 2160–2168. [Google Scholar] [CrossRef] [PubMed]
- Omlin, M.; Reichert, P. A comparison of techniques for the estimation of model prediction uncertainty. Ecol. Model. 1999, 115, 45–59. [Google Scholar] [CrossRef]
- Reichert, P.; Vanrolleghem, P. Identifiability and uncertainty analysis of the river water quality model no. 1 (rwqm1). Water Sci. Technol. 2001, 43, 329–338. [Google Scholar] [CrossRef] [PubMed]
- Claeys, F.; Chtepen, M.; Benedetti, L.; Dhoedt, B.; Vanrolleghem, P.A. Distributed virtual experiments in water quality management. Water Sci. Technol. 2006, 53, 297–305. [Google Scholar] [CrossRef] [PubMed]
- Claeys, F. A Generic Software Framework for Modelling and Virtual Experimentation with Complex Environmental Systems. Ph.D. Thesis, Ghent University, Ghent, Belgium, 2008. [Google Scholar]
- Refsgaard, J.C.; Henriksen, H.J.; Harrar, W.G.; Scholten, H.; Kassahun, A. Quality assurance in model based water management—Review of existing practice and outline of new approaches. Environ. Model. Softw. 2005, 20, 1201–1215. [Google Scholar] [CrossRef]
- Todo, K.; Sato, K. Directive 2000/60/ec of the european parliament and of the council of 23 october 2000 establishing a framework for community action in the field of water policy. Environ. Res. Q. 2002, 66–106. [Google Scholar]
- Reichert, P. A standard interface between simulation programs and systems analysis software. Water Sci. Technol. 2006, 53, 267–275. [Google Scholar] [CrossRef] [PubMed]
- Refsgaard, J.C.; van der Sluijs, J.P.; Hojberg, A.L.; Vanrolleghem, P.A. Uncertainty in the environmental modelling process—A framework and guidance. Environ. Model. Softw. 2007, 22, 1543–1556. [Google Scholar] [CrossRef]
- Saltelli, A. Sensitivity analysis for importance assessment. Risk Anal. 2002, 22, 579–590. [Google Scholar] [CrossRef] [PubMed]
- OECD. Test No. 303: Simulation Test—Aerobic Sewage Treatment—A: Activated Sludge Units; B: Biofilms; OECD Publishing: Paris, France, 2001. [Google Scholar]
- Reichert, P. Aquasim—A tool for simulation and data analysis of aquatic systems. Water Sci. Technol. 1994, 30, 21–30. [Google Scholar] [CrossRef]
- Ho, L.; Pham, D.; Van Echelpoel, W.; Muchene, L.; Shkedy, Z.; Alvarado, A.; Espinoza-Palacios, J.; Arevalo-Durazno, M.; Thas, O.; Goethals, P. A closer look on spatiotemporal variations of dissolved oxygen in waste stabilization ponds using mixed models. Water 2018, 10, 201. [Google Scholar] [CrossRef]
- Ho, L.T.; Pham, D.T.; Van Echelpoel, W.; Alvarado, A.; Espinoza-Palacios, J.E.; Arevalo-Durazno, M.B.; Goethals, P.L.M. Exploring the influence of meteorological conditions on the performance of a waste stabilization pond at high altitude with structural equation modeling. Water Sci. Technol. 2018, 78, 37–48. [Google Scholar] [CrossRef] [PubMed]
- Langergraber, G.; Rousseau, D.P.L.; Garcia, J.; Mena, J. Cwm1: A general model to describe biokinetic processes in subsurface flow constructed wetlands. Water Sci. Technol. 2009, 59, 1687–1697. [Google Scholar] [CrossRef] [PubMed]
- Sah, L.; Rousseau, D.P.L.; Hooijmans, C.M.; Lens, P.N.L. 3d model for a secondary facultative pond. Ecol. Model. 2011, 222, 1592–1603. [Google Scholar] [CrossRef]
- Brun, R.; Reichert, P.; Kunsch, H.R. Practical identifiability analysis of large environmental simulation models. Water Resour. Res. 2001, 37, 1015–1030. [Google Scholar] [CrossRef]
- Omlin, M.; Brun, R.; Reichert, P. Biogeochemical model of Lake Zurich: Sensitivity, identifiability and uncertainty analysis. Ecol. Model. 2001, 141, 105–123. [Google Scholar] [CrossRef]
- Mieleitner, J.; Reichert, P. Modelling functional groups of phytoplankton in three lakes of different trophic state. Ecol. Model. 2008, 211, 279–291. [Google Scholar] [CrossRef]
- Brun, R.; Kuhni, M.; Siegrist, H.; Gujer, W.; Reichert, P. Practical identifiability of asm2d parameters—Systematic selection and tuning of parameter subsets. Water Res. 2002, 36, 4113–4127. [Google Scholar] [CrossRef]
- Weijers, S.R.; Vanrolleghem, P.A. A procedure for selecting best identifiable parameters in calibrating activated sludge model no.1 to full-scale plant data. Water Sci. Technol. 1997, 36, 69–79. [Google Scholar] [CrossRef]
- Dochain, D.; Vanrolleghem, P.A. Dynamical Modelling & Estimation in Wastewater Treatment Processes; IWA Publishing: London, UK, 2001. [Google Scholar]
- Reichert, P. Uncsim a Computer Programme for Statistical Inference and Sensitivity, Identifiability, and Uncertainty Analysis. 2005. Available online: https://pdfs.semanticscholar.org/126b/2a369fdfdc3f02f40a7d310db077595400f9.pdf (accessed on 28 May 2017).
- Joseph, A. Scenarios as Tools for International Environmental Assessment; European Environment Agency: Copenhagen, Denmark, 2001. [Google Scholar]
- Robert, C.; Casella, G. Monte Carlo Statistical Methods, 2nd ed.; Springer: New York, NY, USA, 2004. [Google Scholar]
- Henze, M.; Guijer, W.; Mino, T.; van Loosdrecht, M. Activated Sludge Models asm1, asm2, asm2d and asm3; IWA Publishing: London, UK, 2000. [Google Scholar]
- Ferrero, C.S.; Chai, Q.; Diez, M.D.; Amrani, S.H.; Lie, B. Systematic analysis of parameter identifiability for improved fitting of a biological wastewater model to experimental data. Model. Identif. Control 2006, 27, 219–238. [Google Scholar] [CrossRef]
- Liau, K.F.; Shoji, T.; Ong, Y.H.; Chua, A.S.M.; Yeoh, H.K.; Ho, P.Y. Kinetic and stoichiometric characterization for efficient enhanced biological phosphorus removal (ebpr) process at high temperatures. Bioproc. Biosyst. Eng. 2015, 38, 729–737. [Google Scholar] [CrossRef] [PubMed]
- Henze, M.; van Loosdrecht, M.; Ekama, G.A.; Brdjanovic, D. Biological Wastewater Treatment: Priniciples, Modelling and Design; IWA Publishing: London, UK, 2008. [Google Scholar]
- Ho, L.T.; Van Echelpoel, W.; Goethals, P.L.M. Design of waste stabilization pond systems: A review. Water Res. 2017, 123, 236–248. [Google Scholar] [CrossRef] [PubMed]
- Yagci, N.; Dulekgurgen, E.; Artan, N.; Orhon, D. Experimental evaluation and model assessment of coexistence of paos and gaos. J. Environ. Sci. Health A 2011, 46, 968–979. [Google Scholar] [CrossRef] [PubMed]
- Freni, G.; Mannina, G.; Viviani, G. Identifiability analysis for receiving water body quality modelling. Environ. Model. Softw. 2009, 24, 54–62. [Google Scholar] [CrossRef]
- Shilton, A. Pond Treatment Technology; IWA Publishing: London, UK, 2005. [Google Scholar]





| Group | Set Size | γ | ρ | Parameters |
|---|---|---|---|---|
| Hydrolysis | 3 | 1.58 | 16.11 | YH, µH, |
| 4 | 1.91 | 13.48 | YH, µH, , Kh | |
| 4 | 1.71 | 13.44 | YH, µH, , bH | |
| 5 | 2.77 | 11.45 | YH, µH, , Kh, bH | |
| Autotrophic | 2 | 3.01 | 15.52 | µA, YA |
| 3 | 8.12 | 6.43 | µA, YA, bA | |
| 3 | 3.73 | 7.55 | µA, YA, | |
| PAO | 4 | 4.98 | 24.92 | qPP, YPAO, bPAO, YPHA |
| 5 | 5.24 | 18.65 | qPP, YPAO, bPAO, YPHA, bPHA | |
| 5 | 9.21 | 15.35 | qPP, YPAO, bPAO, YPHA, | |
| 6 | 9.34 | 12.98 | qPP, YPAO, bPAO, YPHA, , bPHA | |
| 6 | 9.22 | 11.23 | qPP, YPAO, bPAO, YPHA, , bPP | |
| Combination | 10 | 8.39 | 14.43 | qPP, YPAO, bPAO, YPHA, YH, µH, , µA, YA, bH |
| 10 | 8.74 | 12.81 | qPP, YPAO, bPAO, YPHA, YH, µH, , µA, YA, bPP | |
| 10 | 10.68 | 12.67 | qPP, YPAO, bPAO, YPHA, YH, µH, , µA, YA, | |
| 11 | 10.86 | 10.86 | qPP, YPAO, bPAO, YPHA, YH, µH, , µA, YA, , bPP | |
| 11 | 11.01 | 12.10 | qPP, YPAO, bPAO, YPHA, YH, µH, , µA, YA, , Kh |
| Group | Set Size | γ | ρ | Parameters |
|---|---|---|---|---|
| Physical | 3 | 2.15 | 18.92 | IK, θTw, kz |
| 4 | 2.16 | 16.66 | IK, θTw, kz, Tw | |
| 4 | 2.16 | 17.05 | IK, θTw, kz, Qin | |
| Anaerobic | 2 | 1.63 | 9.93 | YFB, YHMB |
| 3 | 3.51 | 5.56 | YFB, YHMB, µHMB | |
| 3 | 1.96 | 4.63 | YFB, YHMB, µFB | |
| Algal activity | 2 | 1.02 | 11.21 | µALG, pH |
| 2 | 2.02 | 8.51 | µALG, bALG | |
| 3 | 1.26 | 8.40 | µALG, pH, bALG | |
| Autotrophic | 2 | 1.26 | 4.46 | YA, bA |
| 2 | 1.61 | 2.95 | YA, iNXS | |
| 3 | 1.68 | 2.69 | YA, bA, iNXS | |
| Heterotrophic | 2 | 1.30 | 10.1 | fp2, YH |
| 3 | 1.56 | 6.19 | fp2, YH, nH | |
| 3 | 1.32 | 6.43 | fp2, YH, | |
| 3 | 1.36 | 5.28 | fp2, YH, | |
| Combination | 12 | 3.83 | 8.66 | IK, θTw, kz, YFB, YHMB, µALG, pH, YA, bA, fp2, YH, Qin |
| 12 | 3.91 | 8.58 | IK, θTw, kz, YFB, YHMB, µALG, pH, YA, bA, fp2, YH, Tw | |
| 12 | 4.62 | 7.34 | IK, θTw, kz, YFB, YHMB, µALG, pH, YA, bA, fp2, YH, µHMB | |
| 13 | 3.92 | 8.70 | IK, θTw, kz, YFB, YHMB, µALG, pH, YA, bA, fp2, YH, Tw, Qin | |
| 13 | 4.04 | 6.28 | IK, θTw, kz, YFB, YHMB, µALG, pH, YA, bA, fp2, YH, µFB, nH |
| Parameters | Unit | ASM 2d | Calibrated Values | Δ (%) |
|---|---|---|---|---|
| bH | d−1 | 0.4 | 0.22 | −45.27 |
| bPAO | d−1 | 0.2 | 0.24 | 18.51 |
| g COD· m−3 | 3 | 2.86 | −4.69 | |
| µA | d−1 | 1 | 1.09 | 8.83 |
| µH | d−1 | 6 | 6.15 | 2.55 |
| qPP | g XPP·g−1 XPAO d−1 | 1.5 | 1.59 | 5.80 |
| YA | g COD·g−1 N | 0.24 | 0.28 | 15.19 |
| YH | g COD·g−1 COD | 0.63 | 0.56 | −10.99 |
| YPAO | g COD·g−1 COD | 0.63 | 0.70 | 11.13 |
| YPHA | g COD·g−1 COD | 0.2 | 0.20 | −0.66 |
| Parameters | Unit | WSP Model | Calibrated Values | Δ (%) |
|---|---|---|---|---|
| bA | d−1 | 0.015 | 0.0135 | −9.73 |
| θTw | 1.07 | 1.073 | 0.29 | |
| fp2 | g COD m−3 | 0.1 | 0.102 | 2.05 |
| IK | µE·m−2·s−1 | 198 | 192.44 | −2.81 |
| kz | m−1 | 13 | 13.551 | 4.24 |
| µALG | d−1 | 2 | 2.301 | 15.03 |
| pH | - | 8 | 8.542 | 6.77 |
| Qin | L·h−1 | 0.1417 | 0.142 | 0.03 |
| Tw | °C | 21 | 21.02 | 0.09 |
| YA | g COD·g−1 N | 0.24 | 0.27 | 12.5 |
| YFB | g COD·g−1 COD | 0.053 | 0.0532 | 0.30 |
| YH | g COD·g−1 COD | 0.63 | 0.6302 | 0.04 |
| YHMB | g COD·g−1 COD | 0.02 | 0.0201 | 0.30 |
| AS Model | WSSini | WSSend | Δ (%) | WSP model | WSSini | WSSend | Δ (%) |
|---|---|---|---|---|---|---|---|
| COD | 748.36 | 187.90 | 74.9 | COD | 1873.11 | 1812.67 | 3.2 |
| TN | 42.44 | 23.37 | 44.9 | TN | 1717.84 | 1384.01 | 19.4 |
| TP | 30.81 | 30.81 | −0.02 | TP | 56.29 | 55.77 | 0.9 |
© 2018 by the authors. Licensee MDPI, Basel, Switzerland. This article is an open access article distributed under the terms and conditions of the Creative Commons Attribution (CC BY) license (http://creativecommons.org/licenses/by/4.0/).
Share and Cite
Ho, L.; Pompeu, C.; Van Echelpoel, W.; Thas, O.; Goethals, P. Model-Based Analysis of Increased Loads on the Performance of Activated Sludge and Waste Stabilization Ponds. Water 2018, 10, 1410. https://doi.org/10.3390/w10101410
Ho L, Pompeu C, Van Echelpoel W, Thas O, Goethals P. Model-Based Analysis of Increased Loads on the Performance of Activated Sludge and Waste Stabilization Ponds. Water. 2018; 10(10):1410. https://doi.org/10.3390/w10101410
Chicago/Turabian StyleHo, Long, Cassia Pompeu, Wout Van Echelpoel, Olivier Thas, and Peter Goethals. 2018. "Model-Based Analysis of Increased Loads on the Performance of Activated Sludge and Waste Stabilization Ponds" Water 10, no. 10: 1410. https://doi.org/10.3390/w10101410
APA StyleHo, L., Pompeu, C., Van Echelpoel, W., Thas, O., & Goethals, P. (2018). Model-Based Analysis of Increased Loads on the Performance of Activated Sludge and Waste Stabilization Ponds. Water, 10(10), 1410. https://doi.org/10.3390/w10101410

