Quantification of Groundwater Recharge from an Ephemeral Stream into a Mountainous Karst Aquifer
Abstract
1. Introduction
2. Materials and Methods
2.1. The Soreq Creek and Floods Events
2.2. Monitoring
2.3. Modeling
2.3.1. Flow Model
2.3.2. Hillslopes “Diffuse” Groundwater Recharge
2.3.3. “Direct” Groundwater Recharge along the Creek
2.3.4. Model Setup
2.3.5. Model Calibration and Sensitivity Analysis
3. Results and Discussion
3.1. Runoff Volumes and Flow Dynamics
3.2. Modeling Results
3.2.1. Model Calibration
3.2.2. Cumulative Groundwater Recharge
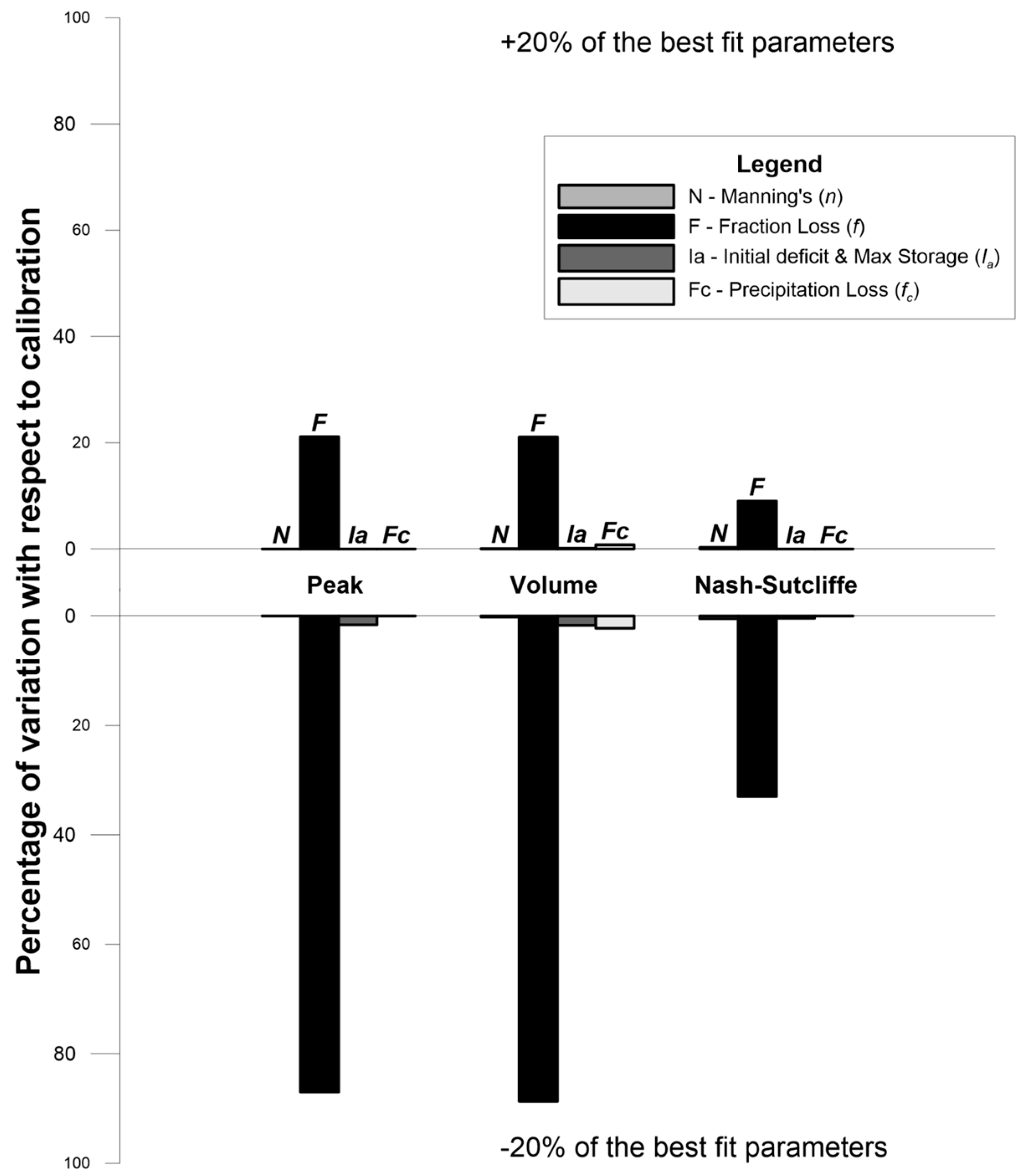
3.3. Sensitivity Analysis
3.4. Proportion of Groundwater Recharge during Runoff Events in Relation to the Annual Recharge for Karst Aquifers
3.5. Implications for Groundwater Enrichment Potential
4. Conclusions
Acknowledgments
Author Contributions
Conflicts of Interest
References
- Seiler, K.-P.; Gat, J.R. Groundwater Recharge from Run-Off, Infiltration and Percolation; Springer: Dordrecht, The Netherlands, 2007. [Google Scholar]
- Hartmann, A.; Mudarra, M.; Andreo, B.; Marín, A.; Wagener, T.; Lange, J. Modeling spatiotemporal impacts of hydroclimatic extremes on groundwater recharge at a Mediterranean karst aquifer. Water Resour. Res. 2014, 50, 6507–6521. [Google Scholar] [CrossRef]
- Healy, R.W. Estimating Groundwater Recharge; Cambridge University Press: Cambridge, UK, 2010. [Google Scholar]
- Djuma, H.; Bruggeman, A.; Camera, C.; Eliades, M.; Kostarelos, K. The impact of a check dam on groundwater recharge and sedimentation in an ephemeral stream. Water (Switzerland) 2017, 9, 813. [Google Scholar] [CrossRef]
- Sorman, A.U.; Abdulrazzak, M.J.; Seytoux, M.H.J. Groundwater recharge estimation from ephemeral streams. case study: Wadi Tabalah, Saudi Arabia. Hydrol. Process. 1997, 11, 1607–1619. [Google Scholar] [CrossRef]
- Baffaut, C.; Benson, V.W. Modeling flow and pollutant transport in a karst watershed with SWAT. Trans. ASABE 2009, 52, 469–479. [Google Scholar] [CrossRef]
- Phogat, V.; Potter, N.J.; Cox, J.W.; Šimůnek, J. Long-Term Quantification of Stream-Aquifer Exchange in a Variably-Saturated Heterogeneous Environment. Water Resour. Manag. 2017. [Google Scholar] [CrossRef]
- Kavouri, K.; Karatzas, G.P. Integrating Diffuse and Concentrated Recharge in Karst Models. Water Resour. Manag. 2016, 30, 5637–5650. [Google Scholar] [CrossRef]
- Bailly-comte, V.; Jourde, H.; Pistre, S. Conceptualization and classification of groundwater—Surface water hydrodynamic interactions in karst watersheds: Case of the karst watershed of the Coulazou River (Southern France). J. Hydrol. 2009. [Google Scholar] [CrossRef]
- Bonacci, O.; Ljubenkov, I.; Roje-Bonacci, T. Karst flash floods: An example from the Dinaric karst (Croatia). Nat. Hazards Earth Syst. Sci. 2006, 6, 195–203. [Google Scholar] [CrossRef]
- Bailly-Comte, V.; Borrell-Estupina, V.; Jourde, H.; Pistre, S. A conceptual semidistributed model of the Coulazou River as a tool for assessing surface water-karst groundwater interactions during flood in Mediterranean ephemeral rivers. Water Resour. Res. 2012, 48, 1–14. [Google Scholar] [CrossRef]
- Feldman, A.D. Hydrologic Modeling System HEC-HMS: Technical Reference Manual; US Army Corps of Engineers, Hydrologic Engineering Center: Davis, CA, USA, 2000. [Google Scholar]
- Heber Green, W.; Ampt, G.A. Studies on Soil Phyics. J. Agric. Sci. 1911, 4, 1. [Google Scholar] [CrossRef]
- Bogena, H.; Kunkel, R.; Schöbel, T.; Schrey, H.P.; Wendland, F. Distributed modeling of groundwater recharge at the macroscale. Ecol. Model. 2005, 187, 15–26. [Google Scholar] [CrossRef]
- Liu, Y.B.; Batelaan, O.; De Smedt, F.; Huong, N.T.; Tam, V.T. Test of a distributed modelling approach to predict flood flows in the karst Suoimuoi catchment in Vietnam. Environ. Geol. 2005, 48, 931–940. [Google Scholar] [CrossRef]
- Amatya, D.M.; Jha, M.; Edwards, A.E.; Williams, T.M.; Hitchcock, D.R. SWAT-Based Streamflow and Embayment Modeling of Karst-Affected Chapel Branch Watershed, South Carolina. Trans. ASABE 2011, 54, 1311–1323. [Google Scholar] [CrossRef]
- Amatya, D.M.; Jha, M.K.; Williams, T.M.; Edwards, A.E.; Hitchcock, D.R. SWAT Model Prediction of Phosphorus Loading in a South Carolina Karst Watershed with a Downstream Embayment. J. Environ. Prot. 2013, 4, 75–90. [Google Scholar] [CrossRef]
- Amin, M.G.M.; Veith, T.L.; Collick, A.S.; Karsten, H.D.; Buda, A.R. Simulating hydrological and nonpoint source pollution processes in a karst watershed: A variable source area hydrology model evaluation. Agric. Water Manag. 2016. [Google Scholar] [CrossRef]
- Neitsch, S.L.; Arnold, J.G.; Kiniry, J.R.; Williams, J.R. Soil & Water Assessment Tool Theoretical Documentation Version 2009. Tex. Water Resour. Inst. 2011, 1–647. [Google Scholar] [CrossRef]
- Charlier, J.-B.; Moussa, R.; Bailly-Comte, V.; Danneville, L.; Desprats, J.-F.; Ladouche, B.; Marchandise, A. Use of a flood-routing model to assess lateral flows in a karstic stream: Implications to the hydrogeological functioning of the Grands Causses area (Tarn River, Southern France). Environ. Earth Sci. 2015, 74, 7605–7616. [Google Scholar] [CrossRef]
- Candela, L.; Tamoh, K.; Olivares, G.; Gómez, M. Climate and land use changes on streamflow and subsurface recharge in the Fluvià Basin, Spain. Water (Switzerland) 2016, 8, 228. [Google Scholar] [CrossRef]
- Werren, G.; Reynard, E.; Lane, S.N.; Balin, D. Flood hazard assessment and mapping in semi-arid piedmont areas: A case study in Beni Mellal, Morocco. Nat. Hazards 2015. [Google Scholar] [CrossRef]
- Jin, H.; Liang, R.; Wang, Y.; Tumula, P. Flood-runoff in semi-arid and sub-humid regions, a case study: A simulation of Jianghe watershed in northern China. Water (Switzerland) 2015, 7, 5155–5172. [Google Scholar] [CrossRef]
- Camarasa Belmonte, A.M.; Segura Beltrán, F. Flood events in Mediterranean ephemeral streams (ramblas) in Valencia region, Spain. Catena 2001, 45, 229–249. [Google Scholar] [CrossRef]
- Fleury, P.; Maréchal, J.C.; Ladouche, B. Karst flash-flood forecasting in the city of Nîmes (southern France). Eng. Geol. 2013, 164, 26–35. [Google Scholar] [CrossRef]
- Bakalowicz, M.; El Hakim, M.; El-Hajj, A. Karst groundwater resources in the countries of eastern Mediterranean: The example of Lebanon. Environ. Geol. 2008, 54, 597–604. [Google Scholar] [CrossRef]
- Dafny, E.; Burg, A.; Gvirtzman, H. Effects of Karst and geological structure on groundwater flow: The case of Yarqon-Taninim Aquifer, Israel. J. Hydrol. 2010, 389, 260–275. [Google Scholar] [CrossRef]
- Sheffer, N.A. Variable Scale Recharge Measurement and Modelling Using the Hydrometeorological DReAM. Ph.D. Thesis, Hebrew University of Jerusalem, Jerusalem, Israel, 2009. [Google Scholar]
- Fischhendler, I.; Frumkin, A. Distribution, evolution, and morphology of caves in southwestern Samaria, Israel. Isr. J. Earth Sci. 2009, 57, 311–322. [Google Scholar] [CrossRef]
- Meiri, D.; Guttman, J. Reconstruction by Flow Model of the Flow Pattern of the Jerusalem Effluents That Leak into the Judea Group Aquifer in the Soreq Wadi; Tahal Consulting Engineers Ltd.: Tel Aviv, Israel, 1984. [Google Scholar]
- Dafny, E.; Burg, A.; Sheffer, N.A.; Weinberger, G.; Gvirtzman, H. The dynamic groundwater flow field at the central Yarqon-Taninim basin, Israel: A 3D geological-based numerical model. Isr. J. Earth Sci. 2011, 58, 99–111. [Google Scholar] [CrossRef]
- Dvory, N.Z.; Livshitz, Y.; Kuznetsov, M.; Adar, E.; Yakirevich, A. The effect of hydrogeological conditions on variability and dynamic of groundwater recharge in a carbonate aquifer at local scale. J. Hydrol. 2016, 535, 480–494. [Google Scholar] [CrossRef]
- Dvory, N.Z.; Kuznetsov, M.; Livshitz, Y.; Gasser, G.; Pankratov, I.; Lev, O.; Adar, E.; Yakirevich, A. Modeling sewage leakage and transport in carbonate aquifer using carbamazepine as an indicator. Water Res. 2017, 128, 157–170. [Google Scholar] [CrossRef] [PubMed]
- Rotem, D.; Weil, G. Natural ecosystem-units in Israel and the Palestinian authority—Representativeness in protected areas and suggested solutions for biodiversity conservation. J. Landsc. Ecol. 2014, 7, 91–109. [Google Scholar] [CrossRef]
- Sheffer, N.A.; Dafny, E.; Gvirtzman, H.; Navon, S.; Frumkin, A.; Morin, E. Hydrometeorological daily recharge assessment model (DREAM) for the Western Mountain Aquifer, Israel: Model application and effects of temporal patterns. Water Resour. Res. 2010, 46, 1–16. [Google Scholar] [CrossRef]
- Allen, R.G.; Pereira, L.S.; Raes, D.; Smith, M. Crop Evapotranspiration—Guidelines for Computing Crop Water Requirements—FAO Irrigation and Drainage Paper 56; FAO: Rome, Italy, 1998; pp. 1–15. [Google Scholar] [CrossRef]
- Du, J.; Qian, L.; Rui, H.; Zuo, T.; Zheng, D.; Xu, Y.; Xu, C.-Y. Assessing the effects of urbanization on annual runoff and flood events using an integrated hydrological modeling system for Qinhuai River basin, China. J. Hydrol. 2012, 464–465, 127–139. [Google Scholar] [CrossRef]
- Chow, V.; Maidment, D.; Mays, L. Applied Hydrology, 2nd ed.; McGraw-Hill Companies: New York, NY, USA, 2013. [Google Scholar]
- Nash, J.E.; Sutcliffe, J.V. River Flow Forecasting Through Conceptual Models Part I-a Discussion of Principles. J. Hydrol. 1970, 10, 282–290. [Google Scholar] [CrossRef]
- Weiss, M.; Gvirtzman, H. Estimating ground water recharge using flow models of perched karstic aquifers. Groundwater 2007, 45, 761–773. [Google Scholar] [CrossRef] [PubMed]
- Zukerman, H.; Shachnai, E. Yarkon-Taninim-Beer Sheva Basin, Flow Model Update; Tahal Consulting Engineers Ltd.: Tel Aviv, Israel, 1999. [Google Scholar]
- Guttman, J.; Zuckerman, H. Flow Model in the Eastern Basin of the Judea and Samaria Hills; Tahal Consulting Engineers Ltd.: Tel Aviv, Israel, 1995. [Google Scholar]
- Goldshtoff, I.; Ben Zvi, A. A Recharge Model for the Y-T Basin; Tahal Consulting Engineers Ltd.: Tel Aviv, Israel, 1972. [Google Scholar]
- Aisenstein, B. Report on Geological Investigations in Ein Karem Reservoir; Tahal Consulting Engineers Ltd.: Jerusalem, Israel, 1954. [Google Scholar]
- De-Leeuw, A. Dam and reservoir near Ein-Karem. Eng. Archit. J. Assoc. Eng. Archit. Isr. 1959, 17, 119–122. [Google Scholar]
- Givati, A.; Livshitz, Y. Beit Zait Dam—Hydrological Efficiency of the Floods Water; Israel Hydrological Service: Jerusalem, Israel, 2012. [Google Scholar]







| Parameter | Symbol | Sub-Basin | ||
|---|---|---|---|---|
| EK4 | Sataf | Matash | ||
| Sub-basin Area (km2) a | 6.4 | 5.0 | 6.3 | |
| Hillslope slope (m/m) a | 0.24 | 0.30 | 0.32 | |
| Channel length (km) a | 1.15 | 2.35 | 3.75 | |
| Mean Channel slope (m/m) a | 0.012 | 0.012 | 0.011 | |
| Annual precipitation (mm) b | 651.2 | 693.5 | 693.5 | |
| Channel Manning’s roughness coefficient c | n | 0.072 | 0.096 | 0.06 |
| Maximum soil storage (mm) d | Ia | 118 | 138 | 138 |
| Maximum canopy interception (mm) e | Ic | 2 | 2 | 2 |
| Constant infiltration rate (mm/h) c | fc | 7.5 | 15 | 10 |
| Constant flow rate loss (m3/s) c | Qcl | 0.05 | 0.05 | 0.05 |
| Flow rate fraction loss (%) c | f | 0.1 | 0.5 | 0.35 |
| Event | Gauging Station | |||||
|---|---|---|---|---|---|---|
| No. | Intensity—Nature of Flow Event | Dates | RO Dam | RO EK4 | RO Sataf | RO Matash |
| 1. | Moderate—Runoff downstream of the dam | 26/11/14–28/11/14 | 18,625 | 120,721 | 45,968 | 27,764 |
| 2. | High—Dam overflow | 11/01/15–13/01/15 | 279,492 | 355,221 | 127,939 | 62,083 |
| 3. | High—Dam overflow | 19/02/15–23/02/15 | 569,593 | 610,638 | 260,970 | 156,565 |
| 4. | Low—Controlled dam drainage | 06/06/15–14/06/15 | 124,001 | 21,863 | - | - |
| Event | Sub-Basin | ||||||||
|---|---|---|---|---|---|---|---|---|---|
| EK4 | Sataf | Matash | |||||||
| Diffuse | Direct | Total | Diffuse | Direct | Total | Diffuse | Direct | Total | |
| 1. | 67.6 (98.9) | 0.8 (1.1) | 68.3 (100) | 85.5 (95.1) | 4.4 (4.9) | 89.9 (100) | 80.6 (97.5) | 2.1 (2.5) | 82.7 (100) |
| 2. | 104.4 (96.9) | 3.3 (3.1) | 107.7 (100) | 116.9 (89.6) | 13.5 (10.4) | 130.4 (100) | 114.0 (96.0) | 4.8 (4.0) | 118.7 (100) |
| 3. | 32.5 (81.7) | 7.3 (18.3) | 39.7 (100) | 44.6 (59.3) | 30.7 (40.7) | 75.3 (100) | 41.3 (79.9) | 10.4 (20.1) | 51.7 (100) |
| 4. | 0.0 (0) | 7.7 (100) | 7.7 (100) | 0.0 (0) | 10.1 (100) | 10.1 (100) | - | - | - |
| Total recharge (Annual) | 204.4 (91.5) | 19.0 (8.5) | 223.4 (100) | 247.0 (80.8) | 58.7 (19.2) | 305.7 (100) | 235.9 (93.2) | 17.2 (6.8) | 253.1 (100) |
© 2018 by the authors. Licensee MDPI, Basel, Switzerland. This article is an open access article distributed under the terms and conditions of the Creative Commons Attribution (CC BY) license (http://creativecommons.org/licenses/by/4.0/).
Share and Cite
Dvory, N.Z.; Ronen, A.; Livshitz, Y.; Adar, E.; Kuznetsov, M.; Yakirevich, A. Quantification of Groundwater Recharge from an Ephemeral Stream into a Mountainous Karst Aquifer. Water 2018, 10, 79. https://doi.org/10.3390/w10010079
Dvory NZ, Ronen A, Livshitz Y, Adar E, Kuznetsov M, Yakirevich A. Quantification of Groundwater Recharge from an Ephemeral Stream into a Mountainous Karst Aquifer. Water. 2018; 10(1):79. https://doi.org/10.3390/w10010079
Chicago/Turabian StyleDvory, Noam Zach, Alon Ronen, Yakov Livshitz, Eilon Adar, Michael Kuznetsov, and Alexander Yakirevich. 2018. "Quantification of Groundwater Recharge from an Ephemeral Stream into a Mountainous Karst Aquifer" Water 10, no. 1: 79. https://doi.org/10.3390/w10010079
APA StyleDvory, N. Z., Ronen, A., Livshitz, Y., Adar, E., Kuznetsov, M., & Yakirevich, A. (2018). Quantification of Groundwater Recharge from an Ephemeral Stream into a Mountainous Karst Aquifer. Water, 10(1), 79. https://doi.org/10.3390/w10010079

