Applications of Graph Spectral Techniques to Water Distribution Network Management
Abstract
:1. Introduction
2. Spectral Graph Theory
2.1. Graph Matrices
- Adjacency Matrix A: let G = (V, E) be an undirected graph with n-vertices set V and m-edges set E. A common way to represent a graph is to define its Adjacency matrix A, whose elements aij = aji = 1 if nodes i and j are directly connected and aij = aji = 0 otherwise. The degree of node i of A is defined as ;
- Weighted Adjacency Matrix W: it is possible to express the weighted Adjacency matrix W, in case to be available information about the connection strength between vertices of the graph G. Edge weights are expressed in terms of proximity and/or similarity between vertices. Thus, all of the weights are non-negative. That is, wij = wji ≥ 0 if i and j are connected, wij = wji = 0 otherwise. The degree of a node i of W is defined as ;
- Un-normalized Laplacian Matrix L: one of the main utilities of spectral graph theory is the Laplacian matrix [32] and both its un-normalized and normalized version [8]. Let Dk = diag(ki) be the diagonal matrix of the vertex connectivity degrees, the Laplacian matrix is defined as the difference between Dk and the Adjacency matrix A (or the weighted Adjacency matrix W if it is considered a weighted graph). The un-normalized Laplacian matrix is defined by L = Dk − A (L = Dk − W);
- Random Walk Normalized Laplacian Matrix Lrw: it is closely related to a random walk representation. Its definition comes from the Laplacian matrix L being multiplied by the inverse of the diagonal matrix of the vertex connectivity degrees, Dk. Then, [33].
2.2. Network Eigenvalues
- The Largest eigenvalue (Spectral radius or Index) λ1: it refers to the Adjacency graph matrix A and it plays an important role in modelling a moving substance propagation in a network. It takes into account not only immediate neighbours of vertices, but also the neighbours of the neighbours [34]. Spectral radius concept is often introduced by using the example of how a virus spread in a network. The smaller the Spectral radius the larger the robustness of a network against the spread of any virus in it. In this regard, the epidemic threshold is proportional to the Inverse of Spectral radius 1/λ1 [35]. This fact can be explained as the number of walks in a connected graph is proportional to λ1. The greater the number of walks of a network, the more intensive is the spread of the moving substance in it. The other way round, the higher the Spectral radius, the better is the communication into a network.
- The Spectral gap ∆λ: it represents the difference between the first and second eigenvalue of an Adjacency matrix, A. It is a measure of network connectivity strength. In particular, it quantifies the robustness of network connections and the presence of bottlenecks, articulation points, or bridges. This is of significant importance, as the removal of a bridge splits the network in two or more parts. The larger the Spectral gap the more robust is the network [36].
- The Multiplicity of zero eigenvalue m0: the multiplicity of the eigenvalue 0 of L is equal to the number of connected components A1, …, Ak in the graph; thus, the matrix L has as many eigenvalues 0 as connected components [37].
- The Eigengap λk+1 − λk: it is a spectral utility specifically designed for network clustering. A suitable number of clusters k may be chosen such that all eigenvalues λ1, …, λk of Laplacian matrix L are very small, but λk+1 is relatively large [38]. The more significant the difference for a-priori proposing the number of clusters the better is the further clustering configuration.
- The Second smallest eigenvalue (Algebraic connectivity) λ2: it refers to the Laplacian matrix. λ2 plays a special role in many graph theories related problems [39]. It quantifies the strength of network connections and its robustness to link failures. The larger the Algebraic connectivity is the more difficult to cut a graph into independent components. It is also related to the min-cut problem of a data set for spectral clustering [37].
2.3. Network Eigenvectors
- Principal eigenvector: it corresponds to the largest A-eigenvalue, v1, of a connected graph. It gives the possibility to rank graph vertices by its coordinates with respect to the number of paths passing through them to connect two nodes in the network [44]. The number of paths can be seen as the “importance” (also called the centrality) of node i. In this regard, the eigenvector centrality attributes a score to each node equals to the corresponding coordinate of the principal eigenvector. Groups of highly interconnected nodes are more “important” for the communication in comparison to equally high connected nodes do not form groups, that is, whose neighbours are less connected than them (according to the social principle that “I am influential if I have influential friends”). An important Principal eigenvector application is on Web search engines as Google’s PageRank algorithm [45];
- The Fiedler eigenvector: it corresponds to the second smallest Laplacian (or normalized Laplacian) eigenvalue of a connected graph. Fiedler [39] first demonstrated that the eigenvector v2 associated to the second smallest eigenvalue λ2 provides an approximate solution to the graph bi-partitioning problem. This is approached according to the signs of the components of v2. A subgraph is encompassed by nodes with positive components in the Fiedler eigenvector. The other subgraph contains nodes that are related to negative Fiedler eigenvector components. The v2 values closer to 0 correspond to “better” splits. In this regard, if a number of clusters k ≥ 2 is needed, then it is useful to resort to the Recursive spectral bisection [46,47]. According to this, the Fiedler eigenvector is used to bi-divide the vertices of the graph by the sign of its coordinates and the process is iterated then for each defined sub-part until reach the targeted number k of clusters.
- Other Eigenvector: an alternative to obtain a good graph partitioning for k ≥ 2 clusters is related to the first k smallest eigenvector of the Laplacian matrix (or normalized Laplacian). The approach is based on solving the relaxed versions of the RCut problem (NCut problem) to define the so-called spectral clustering (normalized spectral clustering). It has been demonstrated in literature [33] that the normalized spectral clustering, based on the Random Walk Normalized Laplacian Matrix Lrw, shows a superior performance to other spectra alternatives to find a clustering configuration. The solution is simultaneously characterized by both a minimum number of cuts and a well-balanced clusters size. According to [33], the minimization of the NCut problem is equal to the minimization of the Rayleigh quotient.
- definition of Adjacency matrix A (or weighted Adjacency matrix W);
- computation of the Laplacian L;
- computation of the first k eigenvectors of normalized Laplacian Lrw matrix
- definition of the matrix Unxk containing the first k eigenvectors as columns; and,
- clustering the nodes of the network into clusters C1, …, Ck using the k-means algorithm applied to the rows of the Unxk matrix.
3. Case Study
4. Conclusions
Acknowledgments
Author Contributions
Conflicts of Interest
References
- Farley, M.; World Health Organization. Leakage Management and Control: A Best Practice Training Manual; World Health Organization: Geneva, Switzerland, 2001. [Google Scholar]
- Neirotti, P.; De Marco, A.; Cagliano, A.C.; Mangano, G.; Scorrano, F. Current trends in Smart City initiatives: Some stylised facts. Cities 2014, 38, 25–36. [Google Scholar] [CrossRef]
- Albino, V.; Berardi, U.; Dangelico, R.M. Smart Cities: Definitions, dimensions, performance, and initiatives. J. Urban Technol. 2015, 22, 3–21. [Google Scholar] [CrossRef]
- Mays, L.W. Water Distribution System Handbook; McGraw-Hill Education: New York, NY, USA, 1999; ISBN 978-0-07-134213-1. [Google Scholar]
- Watts, D.J.; Strogatz, S.H. Collective dynamics of ‘small-world’ networks. Nature 1998, 393, 440–442. [Google Scholar] [CrossRef] [PubMed]
- Barabási, A.-L.; Albert, R. Emergence of scaling in random networks. Science 1999, 286, 509–512. [Google Scholar] [CrossRef] [PubMed]
- Boccaletti, S.; Latora, V.; Moreno, Y.; Chavez, M.; Hwang, D.-U. Complex networks: Structure and dynamics. Phys. Rep. 2006, 424, 175–308. [Google Scholar] [CrossRef]
- Chung, F.R.K. Spectral Graph Theory; American Mathematical Society: Providence, RI, USA, 1996; ISBN 978-0-8218-0315-8. [Google Scholar]
- Herrera, M.; Canu, S.; Karatzoglou, A.; Pérez-García, R.; Izquierdo, J. An approach to water supply clusters by semi-supervised learning. In Proceedings of the 9th International Congress on Environmental Modelling and Software, Ottawa, ON, Canada, 1 July 2010. [Google Scholar]
- Gutiérrez-Pérez, J.A.; Herrera, M.; Pérez-García, R.; Ramos-Martínez, E. Application of graph-spectral methods in the vulnerability assessment of water supply networks. Math. Comput. Model. 2013, 57, 1853–1859. [Google Scholar] [CrossRef]
- Di Nardo, A.; Di Natale, M.; Giudicianni, C.; Greco, R.; Santonastaso, G.F. Complex network and fractal theory for the assessment of water distribution network resilience to pipe failures. Water Sci. Technol. Water Supply 2017, 17, ws2017124. [Google Scholar] [CrossRef]
- Yazdani, A.; Jeffrey, P. Robustness and vulnerability analysis of water distribution networks using graph theoretic and complex network principles. In Proceedings of the 2010 Water Distribution System Analysis, Tucson, Arizona, 12–15 September 2010; pp. 933–945. [Google Scholar] [CrossRef]
- Yazdani, A.; Jeffrey, P. Complex network analysis of water distribution systems. Chaos Interdiscip. J. Nonlinear Sci. 2011, 21, 016111. [Google Scholar] [CrossRef] [PubMed]
- Di Nardo, A.; Di Natale, M.; Giudicianni, C.; Musmarra, D.; Varela, J.M.R.; Santonastaso, G.F.; Simone, A.; Tzatchkov, V. Redundancy features of water distribution systems. Procedia Eng. 2017, 186, 412–419. [Google Scholar] [CrossRef]
- Diao, K.; Sweetapple, C.; Farmani, R.; Fu, G.; Ward, S.; Butler, D. Global resilience analysis of water distribution systems. Water Res. 2016, 106, 383–393. [Google Scholar] [CrossRef] [PubMed]
- Shuang, Q.; Zhang, M.; Yuan, Y. Performance and reliability analysis of water distribution systems under cascading failures and the identification of crucial pipes. PLoS ONE 2014, 9, e88445. [Google Scholar] [CrossRef] [PubMed]
- Torres, J.M.; Duenas-Osorio, L.; Li, Q.; Yazdani, A. Exploring topological effects on water distribution system performance using graph theory and statistical models. J. Water Resour. Plan. Manag. 2017, 143, 04016068. [Google Scholar] [CrossRef]
- Candelieri, A.; Soldi, D.; Archetti, F. Network analysis for resilience evaluation in water distribution networks. Environ. Eng. Manag. J. 2015, 14, 1261–1270. [Google Scholar]
- Soldi, D.; Candelieri, A.; Archetti, F. Resilience and vulnerability in urban water distribution networks through network theory and hydraulic simulation. Procedia Eng. 2015, 119, 1259–1268. [Google Scholar] [CrossRef]
- Candelieri, A.; Giordani, I.; Archetti, F. Supporting resilience management of water distribution networks through network analysis and hydraulic simulation. In Proceedings of the 2017 21st International Conference on Control Systems and Computer Science (CSCS), Bucharest, Romania, 29–31 May 2017; pp. 599–605. [Google Scholar]
- Agathokleous, A.; Christodoulou, C.; Christodoulou, S.E. Topological robustness and vulnerability assessment of water distribution networks. Water Resour. Manag. 2017, 31, 4007–4021. [Google Scholar] [CrossRef]
- Greco, R.; Di Nardo, A.; Santonastaso, G. Resilience and entropy as indices of robustness of water distribution networks. J. Hydroinform. 2012, 14, 761–771. [Google Scholar] [CrossRef]
- Di Nardo, A.; Di Natale, M.; Santonastaso, G.F.; Venticinque, S. An automated tool for smart water network partitioning. Water Resour. Manag. 2013, 27, 4493–4508. [Google Scholar] [CrossRef]
- Alvisi, S.; Franchini, M. A procedure for the design of district metered areas in water distribution systems. Procedia Eng. 2014, 70, 41–50. [Google Scholar] [CrossRef]
- Pérez, R.; Puig, V.; Pascual, J.; Peralta, A.; Landeros, E.; Jordanas, L. Pressure sensor distribution for leak detection in Barcelona water distribution network. Water Sci. Technol. Water Supply 2009, 9, 715–721. [Google Scholar] [CrossRef]
- Antunes, C.H.; Dolores, M. Sensor location in water distribution networks to detect contamination events—A multiobjective approach based on NSGA-II. In Proceedings of the 2016 IEEE Congress on Evolutionary Computation (CEC), Vancouver, BC, Canada, 24–29 July 2016; pp. 1093–1099. [Google Scholar]
- Tinelli, S.; Creaco, E.; Ciaponi, C. Sampling significant contamination events for optimal sensor placement in water distribution systems. J. Water Resour. Plan. Manag. 2017, 143, 04017058. [Google Scholar] [CrossRef]
- Gomes, R.; Marques, A.S.; Sousa, J. Decision support system to divide a large network into suitable District Metered Areas. Water Sci. Technol. 2012, 65, 1667–1675. [Google Scholar] [CrossRef] [PubMed]
- Di Nardo, A.; Di Natale, M.; Musmarra, D.; Santonastaso, G.F.; Tzatchkov, V.; Alcocer-Yamanaka, V.H. Dual-use value of network partitioning for water system management and protection from malicious contamination. J. Hydroinform. 2015, 17, 361–376. [Google Scholar] [CrossRef]
- Arsić, B.; Cvetković, D.; Simić, S.K.; Škarić, M. Graph spectral techniques in computer sciences. Appl. Anal. Discrete Math. 2012, 6, 1–30. [Google Scholar] [CrossRef]
- Cvetković, D.; Simić, S. Graph spectra in computer science. Linear Algebra Appl. 2011, 434, 1545–1562. [Google Scholar] [CrossRef]
- Mohar, B. The Laplacian spectrum of graphs. In Graph Theory, Combinatorics, and Applications; Wiley: Hoboken, NJ, USA, 1991; pp. 871–898. [Google Scholar]
- Shi, J.; Malik, J. Normalized cuts and image segmentation. IEEE Trans. Pattern Anal. Mach. Intell. 2000, 22, 888–905. [Google Scholar] [CrossRef]
- Bonacich, P. Power and centrality: A family of measures. Am. J. Sociol. 1987, 92, 1170–1182. [Google Scholar] [CrossRef]
- Wang, Y.; Chakrabarti, D.; Wang, C.; Faloutsos, C. Epidemic spreading in real networks: An eigenvalue viewpoint. In Proceedings of the 2003 22nd International Symposium on Reliable Distributed Systems, Florence, Italy, 6–8 October 2003; pp. 25–34. [Google Scholar]
- Donetti, L.; Neri, F.; Muñoz, M.A. Optimal network topologies: Expanders, cages, Ramanujan graphs, entangled networks and all that. J. Stat. Mech. Theory Exp. 2006, 2006, P08007. [Google Scholar] [CrossRef]
- Von Luxburg, U. A tutorial on spectral clustering. Stat. Comput. 2007, 17, 395–416. [Google Scholar] [CrossRef]
- Mohar, B. Some applications of laplace eigenvalues of graphs. In Graph Symmetry; NATO ASI Series; Springer: Dordrecht, The Netherlands, 1997; pp. 225–275. ISBN 978-90-481-4885-1. [Google Scholar]
- Fiedler, M. Algebraic connectivity of graphs. Czechoslov. Math. J. 1973, 23, 298–305. [Google Scholar]
- Estrada, E. Network robustness to targeted attacks. The interplay of expansibility and degree distribution. Eur. Phys. J. B-Condens. Matter Complex Syst. 2006, 52, 563–574. [Google Scholar] [CrossRef]
- Cvetkovic, D.M.; Doob, M.; Sachs, H. Spectra of Graphs: Theory and Application; Academic Press: Berlin, Germany, 1980; ISBN 978-0-12-195150-4. [Google Scholar]
- Dorogovtsev, S.N.; Mendes, J.F.F. Evolution of Networks: From Biological Nets to the Internet and WWW; Oxford University Press: Oxford, MS, USA; New York, NY, USA, 2014; ISBN 978-0-19-968671-1. [Google Scholar]
- Wang, Z.; Thomas, R.J.; Scaglione, A. Generating random topology power grids. In Proceedings of the 41st Annual Hawaii International Conference on System Sciences (HICSS 2008), Waikoloa, HI, USA, 7–10 January 2008; p. 183. [Google Scholar]
- Wei, T.-H. Algebraic Foundations of Ranking Theory. Ph.D. Thesis, University of Cambridge, Cambridge, UK, 1952. [Google Scholar]
- Brin, S.; Page, L. The anatomy of a large-scale hypertextual web search engine. In Proceedings of the Seventh International World-Wide Web Conference (WWW 1998), Brisbane, Australia, 14–18 April 1998. [Google Scholar]
- Barnard, S.T.; Simon, H.D. Fast multilevel implementation of recursive spectral bisection for partitioning unstructured problems. Concurr. Comput. Pract. Exp. 1994, 6, 101–117. [Google Scholar] [CrossRef]
- Pothen, A.; Simon, H.; Liou, K. Partitioning sparse matrices with eigenvectors of graphs. SIAM J. Matrix Anal. Appl. 1990, 11, 430–452. [Google Scholar] [CrossRef]
- Ostfeld, A.; Salomons, E.; Ormsbee, L.; Uber, J.G.; Bros, C.M.; Kalungi, P.; Burd, R.; Zazula-Coetzee, B.; Belrain, T.; Kang, D.; et al. Battle of the water calibration networks. J. Water Resour. Plan. Manag. 2012, 138, 523–532. [Google Scholar] [CrossRef]
- Herrera, M.; Abraham, E.; Stoianov, I. A graph-theoretic framework for assessing the resilience of sectorised water distribution networks. Water Resour. Manag. 2016, 30, 1685–1699. [Google Scholar] [CrossRef]
- Sela Perelman, L.; Allen, M.; Preis, A.; Iqbal, M.; Whittle, A.J. Automated sub-zoning of water distribution systems. Environ. Model. Softw. 2015, 65, 1–14. [Google Scholar] [CrossRef]








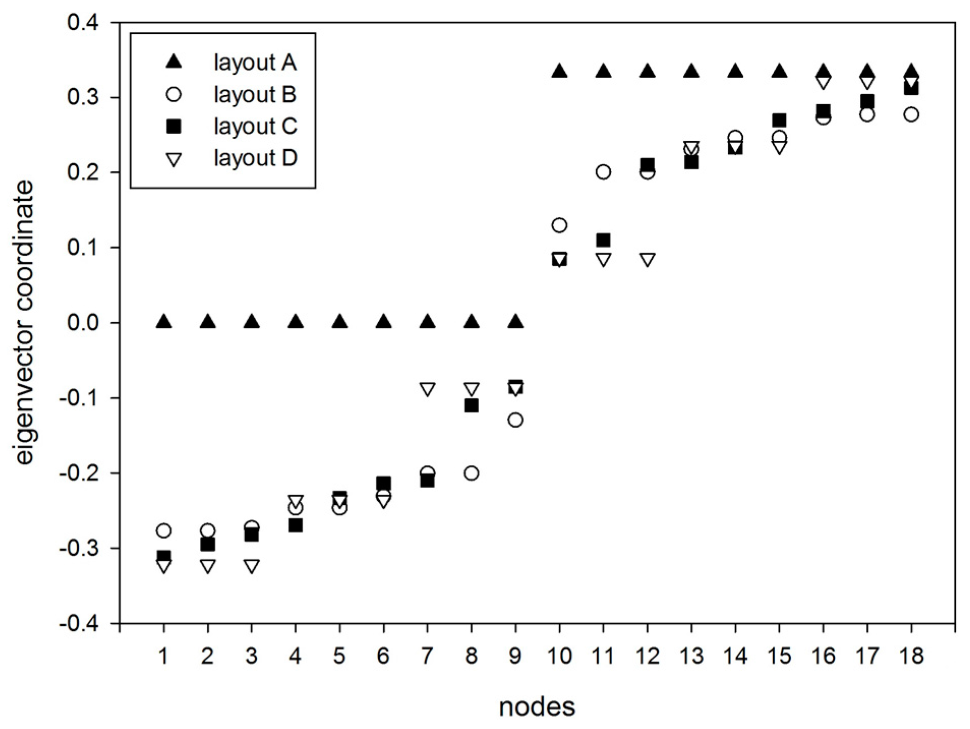
| Metric | Layout A | Layout B | Layout C | Layout D |
|---|---|---|---|---|
| Inverse of Spectral radius 1/λ1 | 0.354 | 0.332 | 0.320 | 0.311 |
| Spectral gap Δλ | 0.000 | 0.275 | 0.422 | 0.555 |
| Eigengap λk+1 − λk | 1.000 | 0.875 | 0.806 | 0.732 |
| Multiplicity of zero m0 | 2 | 1 | 1 | 1 |
| Algebraic connectivity λ2 | 0.000 | 0.125 | 0.194 | 0.268 |
| n | 1 | 2 | 3 | 4 | 5 | 6 | 7 | 8 | 9 | 10 | 11 | 12 | 13 | 14 | 15 | 16 | 17 | 18 |
|---|---|---|---|---|---|---|---|---|---|---|---|---|---|---|---|---|---|---|
| v1,i | 0.12 | 0.21 | 0.26 | 0.16 | 0.30 | 0.37 | 0.12 | 0.21 | 0.26 | 0.26 | 0.21 | 0.12 | 0.37 | 0.30 | 0.16 | 0.26 | 0.21 | 0.12 |
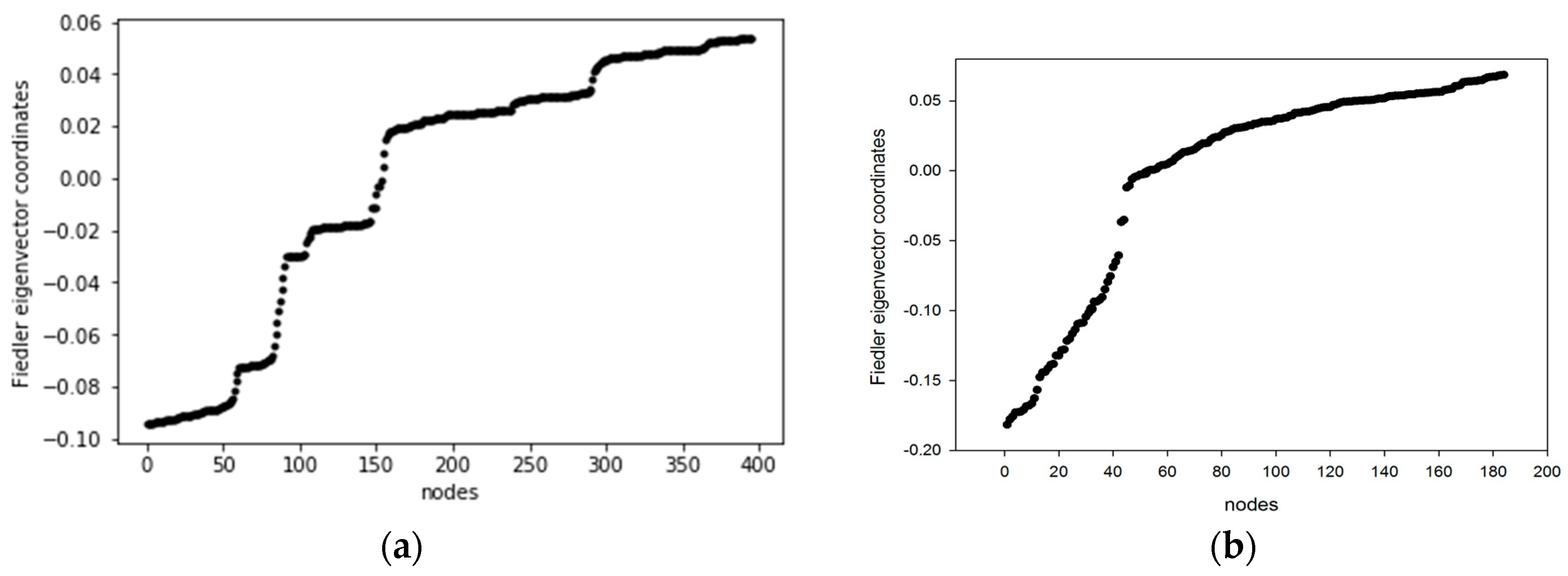
| Network | n (-) | m (-) | nr (-) | LTOT (km) |
|---|---|---|---|---|
| C-Town | 396 | 444 | 1 | 56.7 |
| Parete | 184 | 282 | 2 | 34.7 |
| Network | m0 | Δλ | λ2 | 1/λ1 | λk+1 − λk |
|---|---|---|---|---|---|
| C-Town | 1 | 0.0303 | 0.0006 | 0.358 | 5 |
| Parete | 1 | 0.0685 | 0.0212 | 0.303 | 4 |
© 2018 by the authors. Licensee MDPI, Basel, Switzerland. This article is an open access article distributed under the terms and conditions of the Creative Commons Attribution (CC BY) license (http://creativecommons.org/licenses/by/4.0/).
Share and Cite
Di Nardo, A.; Giudicianni, C.; Greco, R.; Herrera, M.; Santonastaso, G.F. Applications of Graph Spectral Techniques to Water Distribution Network Management. Water 2018, 10, 45. https://doi.org/10.3390/w10010045
Di Nardo A, Giudicianni C, Greco R, Herrera M, Santonastaso GF. Applications of Graph Spectral Techniques to Water Distribution Network Management. Water. 2018; 10(1):45. https://doi.org/10.3390/w10010045
Chicago/Turabian StyleDi Nardo, Armando, Carlo Giudicianni, Roberto Greco, Manuel Herrera, and Giovanni F. Santonastaso. 2018. "Applications of Graph Spectral Techniques to Water Distribution Network Management" Water 10, no. 1: 45. https://doi.org/10.3390/w10010045
APA StyleDi Nardo, A., Giudicianni, C., Greco, R., Herrera, M., & Santonastaso, G. F. (2018). Applications of Graph Spectral Techniques to Water Distribution Network Management. Water, 10(1), 45. https://doi.org/10.3390/w10010045

