Regionalization of Drought across South Korea Using Multivariate Methods
Abstract
:1. Introduction
2. Materials and Methods
2.1. Study Area
Drought Definition and Data
2.2. Principal Component Analysis
2.3. Hierarchical Classification on Principal Components (HCPC)
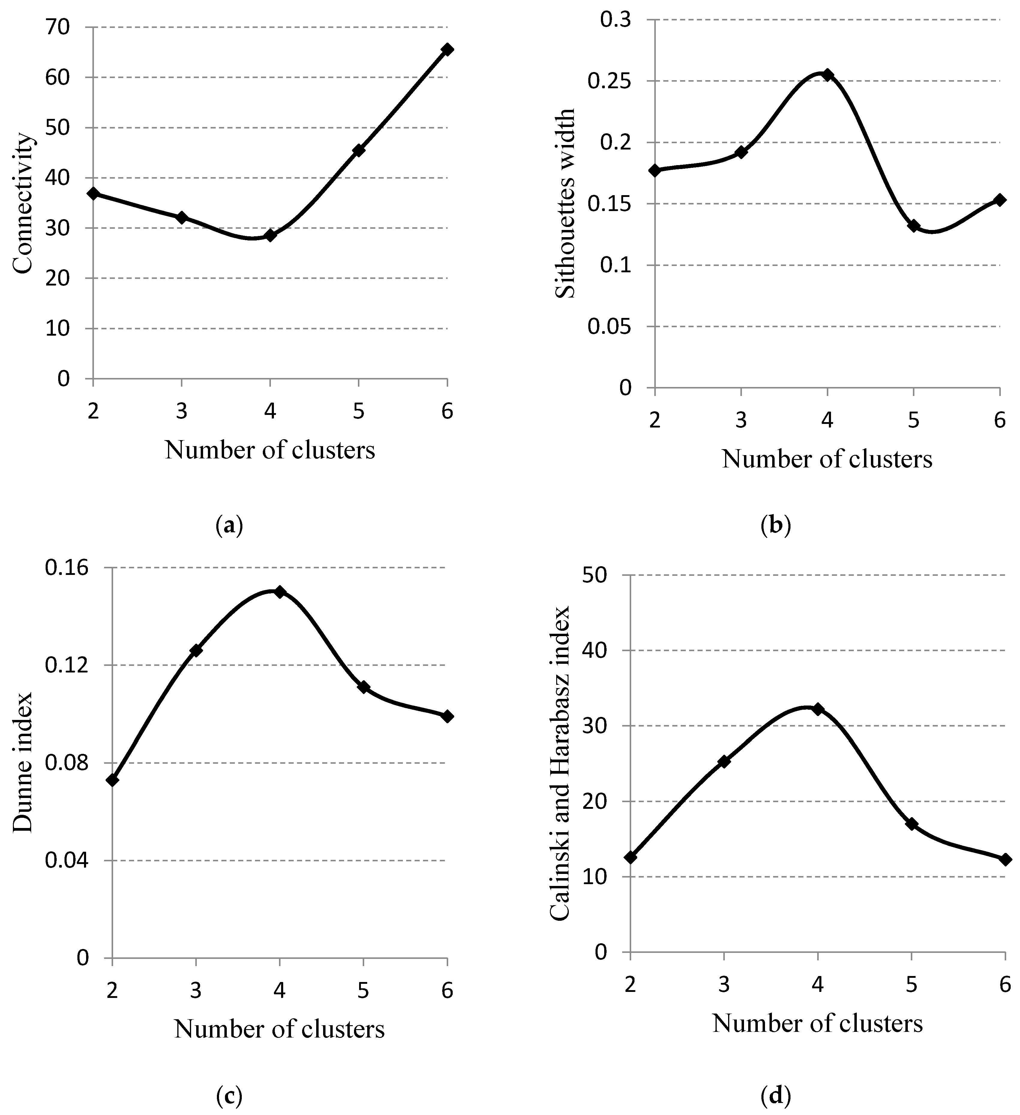
2.4. Cluster Validation
2.4.1. Connectivity
2.4.2. Silhouette Width
2.4.3. Dunne Index
2.4.4. Calinski and Harabasz Index
2.5. Bivariate L-Moments
2.5.1. Bivariate Discordancy Test
2.5.2. Bivariate Homogeneity Test
3. Results
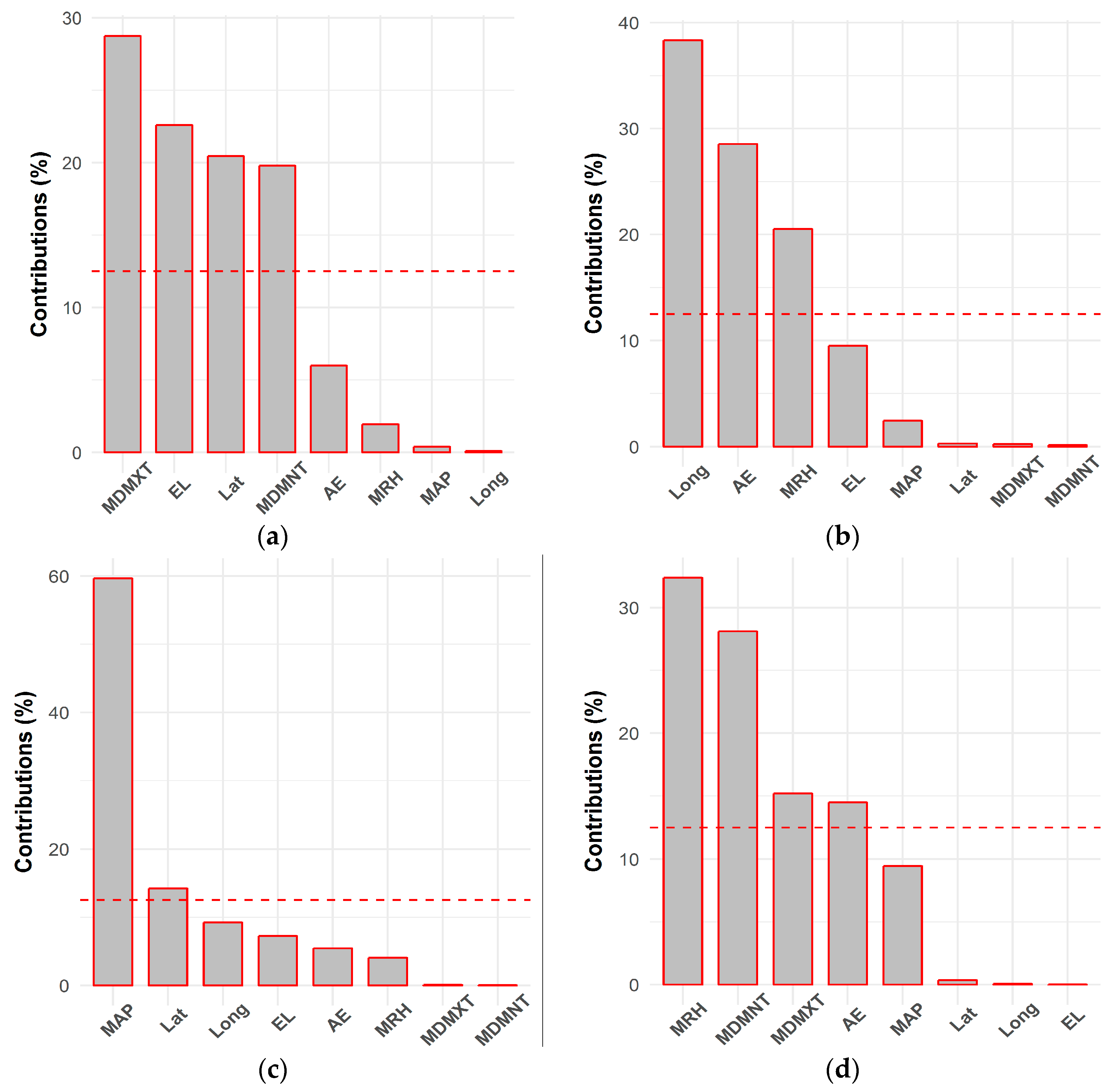
3.1. Selected Attributes
3.2. Variation of Drought on Different Time Scale
3.3. Principal Component Analysis
3.4. Cluster Analysis
3.5. Bivariate Regionalization of Drought across South Korea
4. Conclusions
- (1)
- PCA method applied on the selected attributes indicates that almost all selected attributes contributed significantly to the leading principal components because of the existence of a significant correlation between them.
- (2)
- Although the mixed nature of HCPC clustering algorithm helps to increase the robustness in the partitioning of the region, a comprehensive understanding of hydro-climatic and topological characteristics across the region is necessary for deciding number of clusters.
- (3)
- HCPC cluster validation indices such as connectivity, silhouette width, Dunne index and Calinski and Harabasz index are found effective in identifying the optimal partitions and helped to reduce the subjective adjustment in the formation of clusters. Validation indices indicate that the 55 stations across South Korea should be divided into four regions that are closer to being homogeneous.
- (4)
- The clusters formed by the HCPC algorithm is found very useful in adjusting the regions to improve their homogeneity. It is suggested that the clusters formed by the HCPC algorithm should be considered as primary clusters, which could be easily modified with relatively less effort to make them homogeneous.
- (5)
- Univariate and bivariate homogeneity and discordancy tests applied on drought variables (duration and severity) showed the significant difference in their results. This is because of the reason that the univariate homogeneity and discordancy measure can use only one variable (either duration or severity) at a time to modify clusters, and unable to take account of the correlation between drought variables. Compared to univariate L-moment, bivariate L-comoment is better able to model drought events described by their duration and severity. This fact is particularly important when bivariate drought frequency analysis is a matter of interest.
- (6)
- Regionalization of drought for SPI time scale of 1, 3, 6, 12, and 24 months showed that the variation in SPI time scale has a direct impact on the discordancy and homogeneity of the region because of the variation in length and frequency of dry and humid periods.
Acknowledgments
Author Contributions
Conflicts of Interest
References
- Chung, Y.-S.; Yoon, M.-B.; Kim, H.-S. On Climate Variations and Changes Observed in South Korea. Clim. Chang. 2004, 66, 151–161. [Google Scholar] [CrossRef]
- Azam, M.; Kim, H.S.; Maeng, S.J. Development of flood alert application in Mushim stream watershed Korea. Int. J. Disaster Risk Reduct. 2017, 21, 11–26. [Google Scholar] [CrossRef]
- Kim, H.; Muhammad, A.; Maeng, S.-J. Hydrologic Modeling for Simulation of Rainfall-Runoff at Major Control Points of Geum River Watershed. Procedia Eng. 2016, 154, 504–512. [Google Scholar] [CrossRef]
- Dai, A.; Trenberth, K.E.; Karl, T.R. Global variations in droughts and wet spells: 1900–1995. Geophys. Res. Lett. 1998, 25, 3367–3370. [Google Scholar] [CrossRef]
- Min, S.K.; Kwon, W.T.; Park, E.H.; Choi, Y. Spatial and temporal comparisons of droughts over Korea with East Asia. Int. J. Climatol. 2003, 23, 223–233. [Google Scholar] [CrossRef]
- Smith, A.B.; Katz, R.W. US billion-dollar weather and climate disasters: Data sources, trends, accuracy and biases. Nat. Hazards 2013, 67, 387–410. [Google Scholar] [CrossRef]
- Um, M.-J.; Yun, H.; Jeong, C.-S.; Heo, J.-H. Factor analysis and multiple regression between topography and precipitation on Jeju Island, Korea. J. Hydrol. 2011, 410, 189–203. [Google Scholar] [CrossRef]
- Singh, P.K.; Kumar, V.; Purohit, R.C.; Kothari, M.; Dashora, P.K. Application of Principal Component Analysis in Grouping Geomorphic Parameters for Hydrologic Modeling. Water Resour. Manag. 2009, 23, 325–339. [Google Scholar] [CrossRef]
- Richman, M.B. Rotation of principal components. J. Climatol. 1986, 6, 293–335. [Google Scholar] [CrossRef]
- Lee, J.Y.; Yang, J.S.; Kim, D.K.; Han, M.Y. Relationship between land use and water quality in a small watershed in South Korea. Water Sci. Technol. 2010, 62, 2607–2615. [Google Scholar] [CrossRef] [PubMed]
- Kadiolu, M. Regional variability of seasonal precipitation over Turkey. Int. J. Climatol. 2000, 20, 1743–1760. [Google Scholar] [CrossRef]
- Basu, B.; Srinivas, V.V. Regional flood frequency analysis using kernel-based fuzzy clustering approach. Water Resour. Res. 2014, 50, 3295–3316. [Google Scholar] [CrossRef]
- Rossi, G.; Benedini, M.; Tsakiris, G.; Giakoumakis, S. On regional drought estimation and analysis. Water Resour. Manag. 1992, 6, 249–277. [Google Scholar] [CrossRef]
- Basist, A.; Bell, G.D.; Meentemeyer, V. Statistical Relationships between Topography and Precipitation Patterns. J. Clim. 1994, 7, 1305–1315. [Google Scholar] [CrossRef]
- Yoo, J.; Kwon, H.-H.; Kim, T.-W.; Ahn, J.-H. Drought frequency analysis using cluster analysis and bivariate probability distribution. J. Hydrol. 2012, 420–421, 102–111. [Google Scholar] [CrossRef]
- Lee, J.J.; Kwon, H.H.; Kim, T.W. Spatio-temporal analysis of extreme precipitation regimes across South Korea and its application to regionalization. J. Hydro-Environ. Res. 2012, 6, 101–110. [Google Scholar] [CrossRef]
- Chang, H.; Kwon, W.-T. Spatial variations of summer precipitation trends in South Korea, 1973–2005. Environ. Res. Lett. 2007, 2, 45012. [Google Scholar] [CrossRef]
- Bae, D.H.; Jung, I.W.; Chang, H. Long-term trend of precipitation and runoff in Korean river basins. Hydrol. Process. 2008, 22, 2644–2656. [Google Scholar] [CrossRef]
- Hosking, J.R.M.; Wallis, J.R. Regional Frequency Analysis: An Approach Based on L-Moments; Cambridge University Press: New York, NY, USA, 1997; ISBN 9780521019408. [Google Scholar]
- Serfling, R.; Xiao, P. A contribution to multivariate L-moments: L-comoment matrices. J. Multivar. Anal. 2007. [Google Scholar] [CrossRef]
- Chebana, F.; Ouarda, T. Multivariate L-moment homogeneity test. Water Resour. Res. 2007, 43. [Google Scholar] [CrossRef]
- Jung, I.W.; Bae, D.H.; Kim, G. Recent trends of mean and extreme precipitation in Korea. Int. J. Climatol. 2011, 31, 359–370. [Google Scholar] [CrossRef]
- Helsel, D.R.; Hirsch, R.M. Statistical Methods in Water Resources; Elsevier: Amsterdam, The Netherlands, 1992; Volume 49, pp. 323–352. [Google Scholar]
- McLeod, A.A.I. Kendall: Kendall Rank Correlation and Mann-Kendall Trend Test. R Package Version 2.2. 2011. Available online: https://CRAN.R-project.org/package=Kendall (accessed on 2 October 2017).
- Pohlert, T. Trend: Non-Parametric Trend Tests and Change-Point Detection. R package Version 1.0.1. 2017. Available online: https://CRAN.R-project.org/package=trend. (accessed on 2 October 2017).
- Hipel, K.W.; McLeod, A.I. Time Series Modelling of Water Resources and Environmental Systems; Elsevier: Amsterdam, The Netherlands, 1994; Volume 45. [Google Scholar]
- Choi, G.; Kwon, W.-T.; Boo, K.-O.; Cha, Y.-M. Recent Spatial and Temporal Changes in Means and Extreme Events of Temperature and Precipitation across the Republic of Korea. J. Korean Geogr. Soc. 2008, 43, 681–700. [Google Scholar]
- Im, E.S.; Jung, I.W.; Bae, D.H. The temporal and spatial structures of recent and future trends in extreme indices over Korea from a regional climate projection. Int. J. Climatol. 2011, 31, 72–86. [Google Scholar] [CrossRef]
- Kim, J.-S.; Jain, S. Precipitation trends over the Korean peninsula: Typhoon-induced changes and a typology for characterizing climate-related risk. Environ. Res. Lett. 2011, 6, 34033. [Google Scholar] [CrossRef]
- Vogel, R.M.; Stedinger, J.R. Minimum variance streamflow record augmentation procedures. Water Resour. Res. 1985, 21, 715–723. [Google Scholar] [CrossRef]
- Mckee, T.B.; Doesken, N.J.; Kleist, J. The relationship of drought frequency and duration to time scales. In Proceedings of the AMS 8th Conference Applied Climatology, Anaheim, CA, USA, 17–22 January 1993; Volume 17, pp. 179–184. [Google Scholar]
- Maeng, S.J.; Azam, M.; Kim, H.S.; Hwang, J.H. Analysis of Changes in Spatio-Temporal Patterns of Drought across South Korea. Water 2017, 9, 679. [Google Scholar] [CrossRef]
- Edwards, D.C.; McKee, T.B. Characteristics of 20th Century Drought in the United States at Multiple Time Scales. Master’s Thesis, Colorado State University, Fort Collins, CO, USA, May 1997. [Google Scholar]
- Guttman, N.B. Comparing the Palmer Drought Index and the Standardize Precipitation Index. J. Am. Water Resour. Assoc. 1998, 34, 113–121. [Google Scholar] [CrossRef]
- Seiler, R.A.; Hayes, M.; Bressan, L. Using the standardized precipitation index for flood risk monitoring. Int. J. Climatol. 2002, 22, 1365–1376. [Google Scholar] [CrossRef]
- Lee, J.-H.; Seo, J.-W.; Kim, C.-J. Analysis on Trends, Periodicities and Frequencies of Korean Drought Using Drought Indices. J. Korea Water Resour. Assoc. 2012, 45, 75–89. [Google Scholar] [CrossRef]
- Thorn, H.C.S. Some methods of climatological analysis. WMO Tech. 1966, 81, 16–22. [Google Scholar]
- Kim, C.J.; Park, M.J.; Lee, J.H. Analysis of climate change impacts on the spatial and frequency patterns of drought using a potential drought hazard mapping approach. Int. J. Climatol. 2014, 34, 61–80. [Google Scholar] [CrossRef]
- Lee, J.H.; Kim, C.J. A multimodel assessment of the climate change effect on the drought severity-duration-frequency relationship. Hydrol. Process. 2013, 27, 2800–2813. [Google Scholar] [CrossRef]
- Hotelling, H. Analysis of a complex of statistical variables into principal components. J. Educ. Psychol. 1933, 24, 417–441. [Google Scholar] [CrossRef]
- Argüelles, M.; Benavides, C.; Fernández, I. A new approach to the identification of regional clusters: Hierarchical clustering on principal components. Appl. Econ. 2014, 46, 2511–2519. [Google Scholar] [CrossRef]
- Husson, F.; Josse, J.; Pages, J. Principal Component Methods-Hierarchical Clustering-Partitional Clustering: Why Would We Need to Choose for Visualizing Data; Agrocampus Ouest: Rennes, France, 2010. [Google Scholar]
- Handl, J.; Knowles, J.; Kell, D.B. Computational cluster validation in post-genomic data analysis. Bioinformatics 2005, 21, 3201–3212. [Google Scholar] [CrossRef] [PubMed]
- Rousseeuw, P. Silhouettes: A graphical aid to the interpretation and validation of cluster analysis. J. Comput. Appl. Math. 1987, 20, 53–65. [Google Scholar] [CrossRef]
- Dunn, J.C. Well-Separated Clusters and Optimal Fuzzy Partitions. J. Cybern. 1974, 4, 95–104. [Google Scholar] [CrossRef]
- Caliński, T.; Harabasz, J. A dendrite method for cluster analysis. Commun. Stat. 1974, 3, 1–27. [Google Scholar]
- Hosking, J.R.M. L-Moments: Analysis and Estimation of Distributions Using Linear Combinations of Order Statistics. J. R. Stat. Soc. B 1990, 52, 105–124. [Google Scholar]
- Hosking, J.R.M.; Wallis, J.R. Some statistics useful in regional frequency analysis. Water Resour. Res. 1993, 29, 271–281. [Google Scholar] [CrossRef]
- Dai, A. Global precipitation and thunderstorm frequencies. Part II: Diurnal variations. J. Clim. 2001, 14, 1112–1128. [Google Scholar] [CrossRef]
- Dinpashoh, Y.; Fakheri-Fard, A.; Moghaddam, M.; Jahanbakhsh, S.; Mirnia, M. Selection of variables for the purpose of regionalization of Iran’s precipitation climate using multivariate methods. J. Hydrol. 2004, 297, 109–123. [Google Scholar] [CrossRef]
- Burn, D.H. Delineation of groups for regional flood frequency analysis. J. Hydrol. 1988, 104, 345–361. [Google Scholar] [CrossRef]
- Burn, D.H. Cluster analysis as applied to regional flood frequency. J. Water Resour. Plan. Manag. 1989, 115, 567–582. [Google Scholar] [CrossRef]
- Hayes, M.J.; Svoboda, M.D.; Wilhite, D.A.; Vanyarkho, O.V. Monitoring the 1996 Drought Using the Standardized Precipitation Index. Bull. Am. Meteorol. Soc. 1999, 80, 429–438. [Google Scholar] [CrossRef]
- Sims, A.P. Adopting drought indices for estimating soil moisture: A North Carolina case study. Geophys. Res. Lett. 2002, 29, 13343. [Google Scholar] [CrossRef]
- Ji, L.; Peters, A.J. Assessing vegetation response to drought in the northern Great Plains using vegetation and drought indices. Remote Sens. Environ. 2003, 87, 85–98. [Google Scholar] [CrossRef]
- Ramachandra Rao, A.; Srinivas, V.V. Some problems in regionalization of watersheds. Water Availab. Glob. Chang. 2003, 280, 301–308. [Google Scholar]










| Variables | Mean | SD 1 | Min 1 | Med 1 | Max 1 | CV 1 (%) |
|---|---|---|---|---|---|---|
| Latitude (N) | 36.17 | 0.85 | 34.40 | 36.13 | 38.25 | 2.36 |
| Longitude (E) | 127.74 | 0.85 | 126.38 | 127.73 | 129.42 | 0.67 |
| Elevation above sea level (m) | 92.61 | 114.49 | 2.90 | 53.80 | 772.40 | 123.63 |
| Mean annual precipitation (mm) | 1345.16 | 193.00 | 1031.70 | 1317.30 | 2007.30 | 14.35 |
| Mean daily maximum temperature (°C) | 18.02 | 1.30 | 11.50 | 18.10 | 19.90 | 7.23 |
| Mean daily minimum temperature (°C) | 7.82 | 2.30 | 2.00 | 7.60 | 17.20 | 29.43 |
| Annual evaporation (mm/year) | 1138.72 | 99.50 | 956.80 | 1126.90 | 1377.60 | 8.74 |
| Mean relative humidity (%) | 677.91 | 90.07 | 71.10 | 694.00 | 760.00 | 13.29 |
| Time Scale | Total Drought Events | Duration | Severity | ||||
|---|---|---|---|---|---|---|---|
| Mean | Max | Min | Mean | Max | Min | ||
| SPI-1 | 5549 | 2.07 | 18 | 1 | 1.67 | 14.67 | 0.05 |
| SPI-3 | 3216 | 3.71 | 24 | 1 | 2.9 | 27.19 | 0.09 |
| SPI-6 | 1455 | 5.56 | 32 | 1 | 3.91 | 31.25 | 1.05 |
| SPI-12 | 1093 | 11.3 | 84 | 2 | 9.17 | 96.92 | 1.95 |
| SPI-24 | 727 | 20.67 | 117 | 5 | 17.29 | 124.6 | 3.65 |
| Cluster 1 | |||||||
| Site | Di, D | Di, S | Di, SD | Site | Di, D | Di, S | Di, SD |
| Jangheung | 1.54 | 1.85 | 1.38 | Mokpo | 1.33 | 1.28 | 0.61 |
| Haenam | 0.11 | 0.13 | 0.17 | Jinju | 0.96 | 1.03 | 1.17 |
| Yeongcheon | 0.10 | 1.19 | 0.91 | Geoje | 1.21 | 1.69 | 1.90 |
| Miryang | 0.95 | 0.30 | 0.64 | Buan | 1.82 | 2.20 | 2.29 |
| Sancheong | 0.49 | 0.46 | 0.74 | Namhae | 0.14 | 0.27 | 0.41 |
| Ulsan | 0.43 | 0.10 | 0.59 | Jeongeup | 0.18 | 0.26 | 0.65 |
| Gwangju | 0.29 | 0.56 | 0.69 | Goheung | 0.80 | 0.69 | 0.33 |
| Busan | 1.88 | 1.80 | 2.10 | Yeosu | 0.81 | 0.40 | 0.51 |
| Tongyeong | 1.98 | 2.30 | 3.19 | Wando | 1.68 | 1.13 | 1.95 |
| Suncheon | 1.96 | 0.97 | 1.45 | ||||
| Cluster 2 | |||||||
| Chupungnyeong | 1.00 | 1.00 | 1.37 | Geochang | 1.00 | 1.00 | 1.19 |
| Geumsan | 1.00 | 1.00 | 0.09 | ||||
| Cluster 3 | |||||||
| Chuncheon | 0.43 | 0.71 | 0.54 | Buyeo | 0.34 | 0.40 | 0.26 |
| Chungju | 0.65 | 0.62 | 1.10 | Suwon | 0.74 | 0.86 | 0.79 |
| Boeun | 2.01 | 1.95 | 3.98 | Imsil | 0.44 | 0.76 | 0.33 |
| Daejeon | 1.69 | 1.54 | 1.81 | Boryeong | 0.38 | 0.43 | 0.30 |
| Jecheon | 0.25 | 0.05 | 0.37 | Namwon | 0.44 | 1.10 | 0.87 |
| Yangpyeong | 0.28 | 0.21 | 0.89 | Seoul | 0.77 | 0.28 | 0.95 |
| Icheon | 0.51 | 1.76 | 1.52 | Incheon | 1.14 | 1.12 | 1.96 |
| Ganghwa | 2.29 | 1.91 | 3.81 | Wonju | 1.32 | 0.75 | 1.52 |
| Jeonju | 1.75 | 1.94 | 4.10 | Cheongju | 0.48 | 1.05 | 0.73 |
| Cheonan | 1.08 | 1.30 | 1.47 | Gunsan | 0.95 | 0.06 | 1.62 |
| Seosan | 0.40 | 0.72 | 0.95 | ||||
| Cluster 4 | |||||||
| Sokcho | 0.31 | 1.24 | 0.47 | Uiseong | 1.08 | 1.11 | 0.92 |
| Daegwallyeong | 0.16 | 0.3 | 0.55 | Gumi | 1.11 | 1.11 | 1.29 |
| Gangneung | 0.85 | 1.01 | 1.23 | Yeongju | 2.97 | 2.06 | 1.52 |
| Uljin | 2.06 | 1.73 | 1.96 | Mungyeong | 0.68 | 0.1 | 0.23 |
| Pohang | 1.34 | 1.27 | 1.16 | Yeongdeok | 0.51 | 0.84 | 0.61 |
| Daegu | 0.86 | 0.24 | 0.23 | Inje | 0.61 | 0.98 | 1.21 |
| Cluster 1 (Cu = 2.63, Cb = 2.60) | |||||||
| Site | Di, D | Di, S | Di, SD | Site | Di, D | Di, S | Di, SD |
| Jangheung | 1.64 | 1.68 | 1.35 | Jinju | 0.92 | 1.09 | 1.32 |
| Haenam | 0.13 | 0.11 | 0.31 | Geoje | 1.23 | 1.76 | 1.66 |
| Yeongcheon | 0.12 | 1.22 | 0.81 | Buan | 1.91 | 2.45 | 1.89 |
| Miryang | 0.64 | 0.32 | 0.52 | Namhae | 0.15 | 0.2 | 0.56 |
| Sancheong | 0.36 | 0.42 | 0.09 | Jeongeup | 0.18 | 0.21 | 0.33 |
| Ulsan | 0.46 | 0.11 | 0.67 | Goheung | 0.73 | 0.58 | 0.81 |
| Gwangju | 0.25 | 0.59 | 0.42 | Yeosu | 0.81 | 0.44 | 0.51 |
| Busan | 1.86 | 1.91 | 0.95 | Wando | 1.78 | 1.19 | 1.41 |
| Tongyeong | 1.94 | 2.06 | 1.65 | Suncheon | 1.62 | 1.04 | 1.75 |
| Mokpo | 1.21 | 1.16 | 0.88 | Jeonju | 1.77 | 0.98 | 1.29 |
| Cluster 2 (Cu = 1.33, Cb = 2.60) | |||||||
| Chupungnyeong | 0.49 | 0.74 | 1.22 | Boeun | 1.29 | 1.32 | 1.66 |
| Geumsan | 0.83 | 0.89 | 1.65 | Yeongju | 1.08 | 1.02 | 0.74 |
| Geochang | 1.33 | 1.03 | 0.07 | ||||
| Cluster 3 (Cu = 3.00, Cb = 2.60) | |||||||
| Chuncheon | 0.61 | 1.35 | 1.65 | Imsil | 0.83 | 1.02 | 1.19 |
| Chungju | 0.58 | 0.96 | 1.10 | Boryeong | 0.48 | 0.59 | 0.94 |
| Daejeon | 2.9 | 1.94 | 1.74 | Namwon | 0.66 | 1.51 | 1.65 |
| Jecheon | 0.42 | 0.02 | 0.56 | Seoul | 1.45 | 0.44 | 1.52 |
| Yangpyeong | 0.63 | 0.33 | 0.23 | Incheon | 2.13 | 1.69 | 1.71 |
| Icheon | 1.04 | 2.42 | 1.11 | Wonju | 1.46 | 0.96 | 0.59 |
| Cheonan | 1.22 | 1.16 | 1.06 | Cheongju | 0.37 | 0.99 | 1.23 |
| Buyeo | 0.47 | 0.53 | 0.65 | Gunsan | 1.25 | 0.09 | 0.27 |
| Suwon | 0.99 | 1.12 | 1.32 | Seosan | 0.50 | 0.86 | 0.59 |
| Cluster 4 (Cu = 2.86, Cb = 2.60) | |||||||
| Sokcho | 0.20 | 1.45 | 1.29 | Uiseong | 1.04 | 1.51 | 1.41 |
| Daegwallyeong | 0.13 | 0.26 | 0.61 | Gumi | 1.09 | 1.17 | 0.55 |
| Gangneung | 1.01 | 0.88 | 1.10 | Mungyeong | 0.57 | 0.05 | 0.47 |
| Uljin | 2.05 | 1.47 | 1.88 | Yeongdeok | 0.48 | 0.74 | 0.19 |
| Pohang | 1.41 | 1.34 | 1.21 | Inje | 0.61 | 0.98 | 1.21 |
| Daegu | 1.01 | 0.18 | 0.71 | Ganghwa | 2.39 | 1.96 | 1.01 |
| Scale (Months) | Region | Drought Events | Stations | D | S | DS |
|---|---|---|---|---|---|---|
| SPI-1 | I | 1730 | 17 | 1.10(A.H 2) | −0.73(H 1) | 0.35(H 1) |
| II | 484 | 5 | 1.49(A.H 2) | −1.39(H 1) | −1.23(H 1) | |
| III | 1970 | 19 | −0.10(H 1) | −1.68(H 1) | −0.29(H 1) | |
| IV | 1365 | 13 | 0.71(H 1) | −0.29(H 1) | 0.52(H 1) | |
| SPI-3 | I | 938 | 16 | −2.56(H 1) | −1.00(H 1) | −0.23(H 1) |
| II | 352 | 6 | 0.43(H 1) | 1.39(A.H 2) | 0.95(H 1) | |
| III | 1221 | 21 | 1.21(A.H 2) | −0.13(H 1) | 0.58(H 1) | |
| IV | 705 | 12 | −1.13(H 1) | −0.84(H 1) | −1.56(H 1) | |
| SPI-6 | I | 516 | 20 | −0.70(H 1) | −0.82(H 1) | −0.11(H 1) |
| II | 139 | 5 | 0.85(H 1) | −0.12(H 1) | −0.34(H 1) | |
| III | 492 | 18 | −2.21(H 1) | −2.26(H 1) | −1.45(H 1) | |
| IV | 308 | 12 | 1.47(A.H 2) | 0.74(H 1) | 0.56(H 1) | |
| SPI-12 | I | 325 | 17 | −2.87(H 1) | −3.33(H 1) | −2.75(H 1) |
| II | 110 | 6 | −2.39(H 1) | −2.67(H 1) | −2.21(H 1) | |
| III | 420 | 20 | −1.56(H 1) | −1.52(H 1) | −1.20(H 1) | |
| IV | 238 | 12 | 1.46(A.H 2) | 1.23(A.H 2) | 1.13(A.H 2) | |
| SPI-24 | I | 245 | 18 | −0.86(H 1) | −0.97(H 1) | −0.85(H 1) |
| II | 41 | 4 | −0.85(H 1) | −1.16(H 1) | −1.02(H 1) | |
| III | 283 | 21 | −2.25(H 1) | −0.33(H 1) | −1.26(H 1) | |
| IV | 158 | 12 | −0.48(H 1) | −0.22(H 1) | −0.36(H 1) |
© 2017 by the authors. Licensee MDPI, Basel, Switzerland. This article is an open access article distributed under the terms and conditions of the Creative Commons Attribution (CC BY) license (http://creativecommons.org/licenses/by/4.0/).
Share and Cite
Azam, M.; Park, H.K.; Maeng, S.J.; Kim, H.S. Regionalization of Drought across South Korea Using Multivariate Methods. Water 2018, 10, 24. https://doi.org/10.3390/w10010024
Azam M, Park HK, Maeng SJ, Kim HS. Regionalization of Drought across South Korea Using Multivariate Methods. Water. 2018; 10(1):24. https://doi.org/10.3390/w10010024
Chicago/Turabian StyleAzam, Muhammad, Hyung Keun Park, Seung Jin Maeng, and Hyung San Kim. 2018. "Regionalization of Drought across South Korea Using Multivariate Methods" Water 10, no. 1: 24. https://doi.org/10.3390/w10010024
APA StyleAzam, M., Park, H. K., Maeng, S. J., & Kim, H. S. (2018). Regionalization of Drought across South Korea Using Multivariate Methods. Water, 10(1), 24. https://doi.org/10.3390/w10010024

