Understanding the Partitioning of the Available Energy over the Semi-Arid Areas of the Loess Plateau, China
Abstract
:1. Introduction
2. Station, Data, and Method of Analysis
2.1. Station Description
2.2. Data
2.3. Method of Analysis
3. Results
3.1. Effects of Soil Moisture on Energy Partitioning
3.2. Effects of Net Radiation on Energy Partitioning
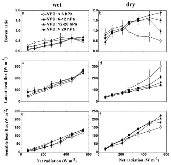
3.3. Effects of VPD on Energy Partitioning
4. Discussion
4.1. Direct and Indirect Effects of Soil Moisture
4.2. Direct and Indirect Effects of Net Radiation
4.3. Direct and Indirect Effects of VPD
5. Conclusions
Acknowledgments
Author Contributions
Conflicts of Interest
References
- Dickinson, R.E. Land surface processes and climate-surface albedos and energy balance. Adv. Geophys. 1983, 25, 305–353. [Google Scholar] [CrossRef]
- Avissar, R. Recent advances in the representation of land-atmosphere interactions in general circulation models. Rev. Geophys. 1995, 33, 1005–1010. [Google Scholar] [CrossRef]
- Yang, R.; Friedl, M.A. Modeling the effects of three-dimensional vegetation structure on surface radiation and energy balance in boreal forests. J. Geophys. Res. Atmos. 2003, 108, 8615–8625. [Google Scholar] [CrossRef]
- Gentine, P.; Entekhabi, D.; Heusinkveld, B. Systematic errors in ground heat flux estimation and their correction. Water Resour. Res. 2012, 48, W09541. [Google Scholar] [CrossRef]
- Xu, T.; Bateni, S.M.; Liang, S.; Entekhabi, D.; Mao, K. Estimation of surface turbulent heat fluxes via variational assimilation of sequences of land surface temperatures from Geostationary Operational Environmental Satellites. J. Geophys. Res. Atmos. 2014, 119, 780–798. [Google Scholar] [CrossRef]
- Schmid, H.P.; Cleugh, H.A.; Grimmond, C.S.B.; Oke, T.R. Spatial variability of energy fluxes in suburban terrain. Bound. Layer Meteorol. 1991, 54, 249–276. [Google Scholar] [CrossRef]
- Beringer, J.; Tapper, N. Surface energy exchanges and interactions with thunderstorms during the Maritime Continent Thunderstorm Experiment (MCTEX). J. Geophys. Res. 2002, 107, 4552–4564. [Google Scholar] [CrossRef]
- Wilson, K.; Goldstein, A.; Falge, E.; Aubinet, M.; Baldocchi, D.; Berbigier, P.; Bernhofer, C.; Ceulemans, R.; Dolman, H.; Field, C.; et al. Energy balance closure at FLUXNET sites. Agric. For. Meteorol. 2002, 113, 223–234. [Google Scholar] [CrossRef]
- Aubinet, M.; Vesala, T.; Papale, D. Eddy Covariance: A Practical Guide to Measurement and Data Analysis; Springer Science and Business Media: New York, NY, USA, 2012. [Google Scholar]
- Eugster, W.; Rouse, W.R.; Pielke, R.A., Sr.; Mcfadden, J.P.; Baldocchi, D.D.; Kittel, T.G.F.; Chapin, F.S.; Liston, G.E.; Vidale, P.L.; Vaganov, E.; et al. Land-atmosphere energy exchange in Arctic tundra and boreal forest: Available data and feedbacks to climate. Glob. Chang. Biol. 2000, 6, 84–115. [Google Scholar] [CrossRef]
- Rouse, W.R. The energy and water balance of high-latitude wetlands: Controls and extrapolation. Glob. Chang. Biol. 2000, 6, 59–68. [Google Scholar] [CrossRef]
- Pielke, R.A., Sr. Influence of the spatial distribution of vegetation and soils on the prediction of cumulus Convective rainfall. Rev. Geophys. 2001, 39, 151–177. [Google Scholar] [CrossRef]
- Peichl, M.; Sagerfors, J.; Lindroth, A.; Buffam, I.; Grelle, A.; Klemedtsson, L.; Laudon, H.; Nilsson, M.B. Energy exchange and water budget partitioning in a boreal minerogenic mire. J. Geophys. Res. Biogeosci. 2013, 118, 1–13. [Google Scholar] [CrossRef]
- Wilson, K.B.; Baldocchi, D.D.; Aubinet, M.; Berbigier, P.; Bernhofer, C.; Dolman, H.; Falge, E.; Field, C.; Goldstein, A.; Granier, A.; et al. Energy partitioning between latent and sensible heat flux during the warm season at FLUXNET sites. Water Resour. Res. 2002, 38, 1294–1304. [Google Scholar] [CrossRef]
- Zeng, X.M.; Wang, B.; Zhang, Y.; Song, S.; Huang, X.; Zheng, Y.; Chen, C.; Wang, G. Sensitivity of high-temperature weather to initial soil moisture: A case study using the WRF model. Atmos. Chem. Phys. 2014, 14, 9623–9639. [Google Scholar] [CrossRef]
- Zhang, J.; Wu, L.; Dong, W. Land-atmosphere coupling and summer climate variability over East Asia. J. Geophys. Res. 2011, 116, 117–130. [Google Scholar] [CrossRef]
- Cho, J.; Oki, T.; Yeh, P.J.F.; Kim, W.; Kanae, S.; Otsuki, K. On the relationship between the Bowen ratio and the near-surface air temperature. Theor. Appl. Climatol. 2011, 108, 135–145. [Google Scholar] [CrossRef]
- Gu, L.; Meyers, T.; Pallardy, S.G.; Hanson, P.J.; Yang, B.; Heuer, M.; Hosman, K.P.; Riggs, J.S.; Sluss, D.; Wullschleger, S.D. Direct and indirect effects of atmospheric conditions and soil moisture on surface energy partitioning revealed by a prolonged drought at a temperate forest site. J. Geophys. Res. 2006, 111, 102–114. [Google Scholar] [CrossRef]
- Liu, D.; Wang, G.; Mei, R.; Yu, Z.; Yu, M. Impact of initial soil moisture anomalies on climate mean and extremes over Asia. J. Geophys. Res. Atmos. 2014, 119, 529–545. [Google Scholar] [CrossRef]
- Huang, J.; Minnis, P.; Yan, H.; Yi, Y.; Chen, B.; Zhang, L.; Ayers, J.K. Dust aerosol effect on semi-arid climate over Northwest China detected from A-Train satellite measurements. Atmos. Chem. Phys. 2010, 10, 6863–6872. [Google Scholar] [CrossRef]
- Fu, Q.; Johanson, C.M.; Wallace, J.M.; Reichler, T. Enhanced mid-latitude tropospheric warming in satellite measurements. Science 2006, 312, 1179. [Google Scholar] [CrossRef] [PubMed]
- Ma, Z.; Fu, C. Some evidences of drying trend over North China from 1951 to 2004. Chin. Sci. Bull. 2006, 51, 2913–2925. (in Chinese). [Google Scholar] [CrossRef]
- Liang, J.; Zhang, L.; Wang, Y.; Cao, X.; Zhang, Q.; Wang, H.; Zhang, B. Turbulence regimes and the validity of similarity theory in the stable boundary layer over complex terrain of the Loess Plateau, China. J. Geophys. Res. Atmos. 2014, 119, 6009–6021. [Google Scholar] [CrossRef]
- Wang, G.; Huang, J.; Guo, W.; Zuo, J.; Wang, J.; Bi, J.; Huang, Z.; Shi, J. Observation analysis of land-atmosphere interactions over the Loess Plateau of northwest China. J. Geophys. Res. 2010, 115, D00K17. [Google Scholar] [CrossRef]
- Koster, R.D.; Suarez, M.J. Relative contributions of land and ocean processes to precipitation variability. J. Geophys. Res. 1995, 100, 13775–13790. [Google Scholar] [CrossRef]
- Koster, R.D.; Suarez, M.J.; Heiser, M. Variance and predictability of precipitation at seasonal-to-interannual timescales. J. Hydrometeorol. 2000, 1, 26–46. [Google Scholar] [CrossRef]
- Douville, H. Relevance of soil moisture for seasonal atmospheric predictions: Is it an initial value problem? Clim. Dyn. 2004, 22, 429–446. [Google Scholar] [CrossRef]
- Conil, S.; Douville, H.; Tyteca, S. The relative influence of soil moisture and SST in climate predictability explored within ensembles of AMIP type experiments. Clim. Dyn. 2007, 28, 125–145. [Google Scholar] [CrossRef]
- Huang, J.; Zhang, W.; Zuo, J.; Bi, J.; Shi, J.; Wang, X.; Chang, Z.; Huang, Z.; Yang, S.; Zhang, B.; et al. An overview of the Semi-arid Climate and Environment Research Observatory over the Loess Plateau. Adv. Atmos. Sci. 2008, 25, 906–921. [Google Scholar] [CrossRef]
- Vickers, D.; Mahrt, L. Quality control and flux sampling problems for tower and aircraft data. J. Atmos. Ocean. Technol. 1997, 14, 512–526. [Google Scholar] [CrossRef]
- Wilczak, J.M.; Oncley, S.P.; Stage, S.A. Sonic anemometer tilt correction algorithms. Bound. Layer Meteorol. 2001, 99, 127–150. [Google Scholar] [CrossRef]
- Schotanus, P.; Nieuwstadt, F.T.M.; Bruin, H.A.R. Temperature measurement with a sonic anemometer and its application to heat and moisture fluxes. Bound. Layer Meteorol. 1983, 26, 81–93. [Google Scholar] [CrossRef]
- Webb, E.K.; Pearman, G.I.; Leuning, R. Correction of flux measurements for density effects due to heat and water vapour transfer. Quart. J. R. Meteor. Soc. 1980, 106, 85–100. [Google Scholar] [CrossRef]
- Foken, T.; Wichura, B. Tools for quality assessment of surface-based flux measurements. Agric. For. Meteorol. 1996, 78, 83–105. [Google Scholar] [CrossRef]
- Foken, T. The energy balance closure problem: An overview. Ecol. Appl. 2008, 18, 1351–1367. [Google Scholar] [CrossRef] [PubMed]
- Yuan, G.; Zhang, L.; Li, Y.; Liang, J. Method of acquiring high-quality surface turbulent fluxes over the Loess Plateau. Chin. J. Geophys. 2016, 59, 382–394. [Google Scholar]
- Gu, L.; Fuentes, J.D.; Shugart, H.H.; Staebler, R.M.; Black, T.A. Responses of net ecosystem exchanges of carbon dioxide to changes in cloudiness: Results from two North American deciduous forests. J. Geophys. Res. 1999, 104, 421–434. [Google Scholar] [CrossRef]
- Mohan, T.S.; Rao, T.N. Variability of the thermal structure of the atmosphere during wet and dry spells over southeast India. Q. J. R. Meteorol. Soc. 2012, 138, 1839–1851. [Google Scholar] [CrossRef]
- Sandeep, A.; Rao, T.N.; Ramkiran, C.N.; Rao, S.V.B. Differences in atmospheric boundary-layer characteristics between wet and dry episodes of the Indian summer monsoon. Bound. Layer Meteorol. 2014, 153, 217–236. [Google Scholar] [CrossRef]
- Odongo, V.O.; Tol, C.V.D.; Becht, R.; Hoedjes, J.C.B.; Ghimire, C.P.; Su, Z. Energy partitioning and its controls over a heterogeneous semiarid shrubland ecosystem in the Lake Naivasha Basin, Kenya. Ecohydrology 2016, 9, 1358–1375. [Google Scholar] [CrossRef]
- Zhang, J.; Wang, W.; Wu, L. Land-atmosphere coupling and diurnal temperature range over the contiguous United States. Geophys. Res. Lett. 2009, 36, 150–164. [Google Scholar] [CrossRef]






© 2017 by the authors. Licensee MDPI, Basel, Switzerland. This article is an open access article distributed under the terms and conditions of the Creative Commons Attribution (CC BY) license (http://creativecommons.org/licenses/by/4.0/).
Share and Cite
Yuan, G.; Zhang, L.; Liang, J.; Cao, X.; Liu, H.; Yang, Z. Understanding the Partitioning of the Available Energy over the Semi-Arid Areas of the Loess Plateau, China. Atmosphere 2017, 8, 87. https://doi.org/10.3390/atmos8050087
Yuan G, Zhang L, Liang J, Cao X, Liu H, Yang Z. Understanding the Partitioning of the Available Energy over the Semi-Arid Areas of the Loess Plateau, China. Atmosphere. 2017; 8(5):87. https://doi.org/10.3390/atmos8050087
Chicago/Turabian StyleYuan, Guanghui, Lei Zhang, Jiening Liang, Xianjie Cao, Hui Liu, and Zhaohong Yang. 2017. "Understanding the Partitioning of the Available Energy over the Semi-Arid Areas of the Loess Plateau, China" Atmosphere 8, no. 5: 87. https://doi.org/10.3390/atmos8050087
APA StyleYuan, G., Zhang, L., Liang, J., Cao, X., Liu, H., & Yang, Z. (2017). Understanding the Partitioning of the Available Energy over the Semi-Arid Areas of the Loess Plateau, China. Atmosphere, 8(5), 87. https://doi.org/10.3390/atmos8050087
