Next Article in Journal
Rapid Intensification of Typhoon Rammasun (2014) with Strong Vertical Wind Shear
Next Article in Special Issue
Editorial for the Special Issue “Transport Emissions and Their Environmental Impact”
Previous Article in Journal
Modeling Greenhouse Gas Emissions from Agriculture
Previous Article in Special Issue
Towards Sustainable Shipping: Joint Optimization of Ship Speed and Bunkering Strategy Considering Ship Emissions
 
 
Font Type:
Arial Georgia Verdana
Font Size:
Aa Aa Aa
Line Spacing:
Column Width:
Background:
Article

Effect of COVID-19 Pandemic on Aircraft Emissions at Václav Havel Airport Prague in 2020

1
Department of Air Transport, Faculty of Transportation Sciences, Czech Technical University in Prague, Horská 3, 128 03 Prague 2, Czech Republic
2
Department of Applied Mathematics, Faculty of Transportation Sciences, Czech Technical University in Prague, Na Florenci 25, 110 00 Prague 1, Czech Republic
*
Author to whom correspondence should be addressed.
Atmosphere 2025, 16(3), 296; https://doi.org/10.3390/atmos16030296
Submission received: 30 January 2025 / Revised: 21 February 2025 / Accepted: 27 February 2025 / Published: 1 March 2025
(This article belongs to the Special Issue Transport Emissions and Their Environmental Impacts)

Abstract

As a consequence of measures imposed during the COVID-19 pandemic, anthropogenic emissions worldwide decreased markedly in impacted sectors, including the aviation industry. The aim of this study is to investigate the effects of the pandemic on aircraft emissions below the mixing height (3000 feet above ground) at Václav Havel Airport Prague during 2020. For this purpose, real aircraft emissions during 2020 were computed using provided surveillance data, while business-as-usual aircraft emissions that could have been expected at the airport that year under normal circumstances were estimated using traffic data from previous years and derived emission factors. We found that the median real emissions at the airport in 2020 were 220.859 t of NOX, 101.364 t of CO, 15.025 t of HC, 44,039.468 t of CO2, 17,201.825 t of H2O and 11.748 t of SO2. The median estimated reduction in emissions due to the pandemic in 2020 was −476.317 t of NOX, −203.998 t of CO, −28.388 t of HC, −95,957.278 t of CO2, −37,476.400 t of H2O and −25.595 t of SO2. Absolute differences between the real and business-as-usual emissions peaked in June 2020, while the relative differences peaked in April/May at −89.4% to −92.0%.

1. Introduction

It is well known that the COVID-19 pandemic, caused by the novel coronavirus, which first appeared in late 2019, had an unprecedented impact on many aspects of human society since its onset in early 2020 [1]. In the Czech Republic, first cases of COVID-19 were detected on 1 March 2020; as part of the response to the growing case numbers, the government closed the borders of the country in both directions 15 days later, on the 16 March [2]. Similarly, in many other parts of the world, travel restrictions were imposed around this time to reduce the mobility of the population and thus slow the spread of the disease, causing the aviation industry to be hit by one of the worst crises to date [3,4,5]. According to a report by the International Civil Aviation Organization (ICAO) [6], there was a reduction by 60% in global passenger count in 2020 relative to 2019, 49% in 2021 and 29% in 2022; in 2020 alone, airlines suffered losses in gross passenger operating revenue totaling USD 372 billion. In a report by the Air Transport Action Group (ATAG) from September 2020 [7], a loss of up to 46 million jobs supported by the aviation industry worldwide was estimated at the time due to the pandemic, with an expected reduction of nearly USD 2 trillion in economic activity. Nevertheless, contrary to some pessimistic scenarios, the industry has been making steady progress in terms of recovery from the crisis; according to the International Air Transport Association (IATA), global capacity and air passenger traffic exceeded pre-pandemic levels in 2024 [8]. According to a recent traffic forecast by EUROCONTROL [9], IFR movements within the European Civil Aviation Conference (ECAC) area reached 96% of the 2019 level during 2024, with full recovery expected in 2025 according to the baseline scenario.
The environmental impacts of air transport had already been an area of interest well before the onset of the COVID-19 pandemic. These impacts mainly include emissions of various pollutants affecting local air quality and greenhouse gases (GHGs) contributing to climate change, but also include noise pollution near airports, contamination of the environment by various released chemicals, as well as processes during the production of aircraft or elsewhere within the aviation value chain [10]. Aircraft emissions may be classified as CO2 and non-CO2 emissions, which include species such as carbon monoxide (CO), volatile organic compounds (VOCs), unburnt hydrocarbons (HCs), nitrogen oxides (NOX), water vapor (H2O) or particulate matter (PM). These emissions are formed during the combustion of jet fuel in aircraft engines, whereas some of them are products of inefficient combustion and thus their amount depends on the specific conditions under which combustion takes place [11]. Some of these pollutants are chemically or radiatively active, meaning they take part in various processes in the atmosphere that consequently contribute to climate change; aircraft emissions also have an impact on local air quality in the vicinity of airports [12]. The review by Riley et al. [13] of studies focusing on the various pollutants emitted by aircraft at airports found that their concentrations measured near airports, typically within 10–15 km, were often elevated; such was the case for PM of different sizes, gaseous pollutants such as CO and NOX or various hazardous air pollutants (HAPs). The effects of these emissions on human health have been the subject of continuing research, with studies focusing on airport employees exposed directly to the emissions as well as on residents living nearby. The review of these studies by Bendtsen et al. [14] found that these effects included a higher risk of asthma and other respiratory issues, cardiovascular problems or cancer, with these being similar to the effects of emissions from other types of traffic.
During the COVID-19 pandemic, an overall decrease in GHG emissions was observed, which was a direct consequence of less fossil fuels being burned in various industrial sectors due to the imposed lockdowns [15,16]. As a result, improvements in air quality were observed around the world [17].
In this regard, attention has also been paid to airports, which are significant sources of emissions, and which saw a large downturn in activity during the pandemic. Xu et al. [18] showed a correlation between decreased airport activity due to the lockdown in early 2020 and lower measured concentrations of NOX including NO and NO2 as well as CO at the airports in Wuhan and Shanghai, while noting an increase in O3 concentrations. Avdoulou et al. [19] assessed the measured concentrations of a number of pollutants at several sites in Greece including the international airport in Athens, also noting lower concentrations of NO and NO2 and higher concentrations of O3 in 2020 compared to previous years. Using aircraft-measured data, Clark et al. [20] observed a 30% increase in O3 concentrations near Frankfurt Airport while noting decreases in CO concentrations during March–May of 2020. Using satellite measurements, the study by Shikwambana and Kganyago [21] showed significant changes in NO2 and SO2 emissions at the airports in Johannesburg and Cape Town following a five-week lockdown. Kanniah et al. [22] used satellite data to compare tropospheric column amounts of NO2 at Kuala Lumpur Airport in March–April 2019 and 2020, noting a 50% decrease in the latter year. Samad et al. [23] showed that concentrations of NO2 measured at several sites at Stuttgart Airport were three times lower during the lockdown period compared to the period of higher traffic numbers during the summer of 2020, while also observing changes in the characteristics of PM. Lower NO2 concentrations during lockdown were also observed by Han et al. [24] at Xiamen Airport, where it was estimated that the flight ban at the airport had a 20% contribution to the overall decrease in NO2 concentrations when considering other nearby emissions sources. Chung and Sunwoo [25] considered the decrease in aircraft emissions at airports in South Korea, mostly from international air traffic, and its impact on local air quality; using chemical transport modeling, they showed that the most noticeable decrease in concentrations of NO2 and PM2.5 was near Seoul Airport. The study by Ngo et al. [26] showed a decrease in measured concentrations of NOX and SO2 near Taipei Airport after restricting international travel to the island while other local activities remained unchanged, finding no clear association between the daily number of passengers and local air quality. Fleuti [27] assessed the changes in local aircraft emissions and concentrations of NOX and other pollutants including PM at Zurich Airport between 2019 and 2020, finding no equivalent correlation between the changes in emissions and in locally measured pollutant concentrations and showing that impacts of airport activity on local air quality diminished quickly with increasing distance from the airport.
Several studies have specifically focused on the impact of decreased airport activity during the pandemic on the concentrations of PM at and near airports. Joy et al. [28] used satellite data and ground-based measurements to assess aerosol optical depth and black carbon concentrations at five airports in Bangladesh, noting on average decreases by 10–15% in 2020 compared to the same period in 2019. Dröge et al. [29] measured decreased particle number concentrations of ultrafine particles (UFPs) near Frankfurt Airport during times of decreased traffic activity, while also pointing out the importance of wind direction in this regard. In their studies focused on Munich Airport, Rottmann et al. [30] and Herrmann et al. [31] found significant decreases in UFP (PM0.1) concentrations that matched the decrease in traffic activity in April 2020 while no similar decreases in PM2.5 or PM10 concentrations were found according to the former, pointing to the importance of UFPs in the context of airport operations. Mueller et al. [32] found that while traffic activity at Boston’s Logan Airport decreased by around 75% during the first year of the pandemic, UFP concentrations near the airport decreased by around 50% compared to pre-pandemic data, after accounting for local highway activity.
A number of studies have also focused only on the decreased aircraft emissions at airports while not accounting for the resulting impacts on local air quality. Akyüz [33] calculated that total aircraft LTO (Landing and Take-Off) emissions of pollutants including CO and NOX at Van Airport in Turkey decreased by over 90% during April and May of 2020. The study by Bao et al. [34] focused on Chinese airports in the Yangtze River Delta, while also considering the changes in the spatial and temporal distribution of the aircraft emissions as a result of the implemented policies responding to the COVID-19 pandemic. Earlier, Bao et al. [35] showed that while NOX were a dominant gaseous pollutant at airports in the Yangtze River Delta, there was a general decrease in emissions of all measured pollutants after the onset of the COVID-19 pandemic, with differences in emissions observed between different airports in the region depending on their location and rate of recovery of traffic activity. Akyüz [36] accounted for the aircraft emissions of a number of species at Batman Airport in Turkey over the years 2018–2023, noting that emissions of CO2 and other species decreased by around 30% in 2020 compared to the pre-pandemic period. Nižetić [37] quantified the total CO2 emissions during January–April 2019 and 2020 at two Croatian airports. Xu et al. [38] examined the changes in total LTO emissions of a number of emission species including NOX, CO or SO2 at civil airports in China, noting decreases by around 20% on average in comparison with 2019 numbers while also considering their spatial and temporal trends. Zeydan and Zeydan [39] calculated the total fuel consumption and LTO emissions of a number of species at Turkish airports in 2019 and 2020, noting overall decreases by around 60%, with the largest differences being observed during the second quarter of the year. In their study, Sahin and Sag [40] investigated the CO2 emissions of four aircraft types operating at Istanbul Airport in the years 2018–2022, observing decreases by about 55% between 2019 and 2020, with the recovery above 2019 levels being made in 2022. To and Lee [41] found that CO2 equivalent emissions at Hong Kong Airport dropped by around 50% in 2020 compared to 2019, while pointing out the large differences between the fall in passenger and cargo traffic during this time. Wang et al. [42] developed an emission inventory of a number of species, including CO, CO2, NOX or H2O, covering airports in China over a ten-year period between 2010 and 2020 and observing that total emissions in 2020 dropped to levels similar to 2015–2016, after continuous growth during the decade.
The aim of this study is to assess the impact of the COVID-19 pandemic on aircraft emissions in the LTO cycle (defined by ICAO) at Václav Havel Airport Prague (LKPR) in 2020. Specifically, the aim is to quantify the reduction in emissions caused by the lockdowns and estimate the business-as-usual emissions that could have been expected at the airport under normal circumstances during 2020, assuming that patterns in traffic numbers from previous years would have continued. For this purpose, real aircraft LTO emissions of NOX, CO, HC, CO2, H2O and SO2 were first computed for all flights at the airport in 2020, using various openly available data on engine emissions characteristics as well as surveillance data that were provided by the airport authority, which included 49,873 flights during the year for which individual taxi times were available. Next, data on daily numbers of movements between 1 January 2018 and 31 January 2020 were used to develop a time series traffic model, which was then used to estimate the business-as-usual traffic at the airport during 2020 in the form of daily numbers of movements, assuming a scenario where the pandemic would have never occurred. The real aircraft LTO emissions that had been computed earlier were then used to estimate emission factors (i.e., emissions per movement) that were subsequently utilized in order to calculate the daily business-as-usual emissions in 2020 (using the estimated business-as-usual traffic). In order to account for uncertainty, the calculations of emissions (both real and business-as-usual) as well as of the daily business-as-usual airport traffic were performed repeatedly; over 10,000 iterations.
According to the results, median real LTO aircraft emissions at the airport in 2020 were 220.859 t of NOX, 101.364 t of CO, 15.025 t of HC, 44,039.468 t of CO2, 17,201.825 t of H2O and 11.748 t of SO2. The most emissions, regardless of species, were produced in January, with a sharp decline following in March and April, after which a steady growth followed, peaking in August at around 40% of January levels. Assuming business-as-usual conditions, we estimate that mean monthly aircraft movements at LKPR would have peaked at around 15,600 in July and August, with a standard deviation of around 235 movements. The median business-as-usual LTO aircraft emissions at the airport during 2020 according to our estimations would have been 697.177 t of NOX, 305.362 t of CO, 43.413 t of HC, 139,996.746 t of CO2, 54,678.224 t of H2O and 37.342 t of SO2, following a pattern of constant growth from February, peaking in July and August and decreasing for the remainder of the year. We estimated the maximal percentage differences between the total business-as-usual and real LTO aircraft emissions at the airport in 2020 to be −68.985% for NOX, −67.621% for CO, −66.238% for HC, −69.249% for CO2, −69.254% for H2O and −69.247% for SO2, with the absolute differences peaking in June 2020 and the relative differences peaking in May for all species except HC, where the peak occurred in April. To the best of our knowledge, this study is among the first that have focused on estimating the business-as-usual aircraft LTO emissions that could have been expected in 2020 under normal, pandemic-free circumstances, rather than comparing the 2020 emissions to 2019 (pre-pandemic) levels.

2. Materials and Methods

This chapter covers the description of the data used in this study, which included both data on airport traffic and aircraft fuel and emission characteristics, as well as of the methodology that was used to calculate the real LTO aircraft emissions at LKPR in 2020 and to estimate the business-as-usual traffic and LTO emissions for that year at the airport.

2.1. Data Used

The data utilized in this study included data covering the individual aircraft ground movements at LKPR during 2020 as well as publicly available daily traffic numbers at the airport in 2018–2020 and emission databanks for the various engine types, which provided information on fuel consumption and emission indices.

2.1.1. Airport Traffic Data

To account for the aircraft ground movements at LKPR for the entire year 2020, data from the airport’s Advanced Surface Movement Guidance and Control System (A-SMGCS) were provided by the airport authority. In total, data covering 50,324 movements were included (25,092 arrivals and 25,232 departures). For each movement, the data included information on the date, time and type of movement (arrival/departure). Information was also available regarding the aircraft type, which was necessary for the subsequent emissions calculations. Finally, individual taxi times were included, which for simplification purposes were assumed to be equal to the time during which the aircraft engines were running on idle. These values were used to improve the accuracy of the emissions calculations, as will be explained later.
Upon inspecting the data, it was observed that the recorded taxi times for certain movements were either unusually short (for 212 movements, the taxi time was 0 s) or long (as much as 13 h in one case). Such values were assumed to be erroneous and caused by technical limitations of the A-SMGCS; therefore, the corresponding records were removed from the data. In the case of arrivals, this concerned 298 values shorter than 40 s or longer than 1620 s (27 min); in the case of departures, 147 values shorter than 60 s or longer than 2040 s (34 min) were removed. The boundaries were set heuristically based on inspection of the data, with the aim of minimizing the number of false positives (i.e., correct values wrongly removed). Finally, 6 records corresponding to the aircraft type designator “ULAC” (ultralight aircraft) were removed as further specification of aircraft type necessary for the emissions calculations was missing here. The data remaining after the filtration described above were used in all further analysis; the monthly and weekly variations in movement numbers are shown in Figure 1.
Besides these data, openly available data from EUROCONTROL on daily numbers of aircraft ground movements at LKPR between the 1 January 2018 and 31 January 2020 were also used in this study, as will be explained further. These data were found on the EUROCONTROL Aviation Intelligence Portal website; specifically, the “Airport traffic” dataset [43] was used. In the dataset, the total number of daily IFR movements (arrivals and departures) as reported by the airport operator was used. As will be explained below, the purpose of these data was to estimate the annual traffic trends at LKPR. According to these data, there were 49,299 IFR movements at the airport in 2020, compared to 49,873 records from A-SMGCS (after filtration).

2.1.2. Aircraft Emissions Data

In order to estimate the LTO emissions of individual aircraft movements at the airport, publicly available emission databanks were used. For jet engines, which accounted for approximately 85.7% (42,743) of all movements in 2020, the ICAO Aircraft Engine Emissions Databank (Issue 30, from 23 July 2024) [44] was used. For each aircraft type, its engine model was found, with the corresponding emission indices (i.e., emissions per kilogram fuel burned) and fuel flow characteristics then being taken from the databank. Where multiple engine models from different manufacturers were used by a given aircraft type, a single engine model assumed to be the most commonly used option was chosen. If multiple measurements were available in the databank for the given engine model, priority was given to the most recently measured values, as well as to values that did not correspond to any modifications to the combustor (such as reduced smoke or improved fuel injectors), since it was impossible to determine how many of the movements covered by the data had these modifications.
In the case of aircraft equipped with piston engines, which are not covered by the previously mentioned emissions databank, generic emission indices available within the databank of piston engine emissions [45] curated by the Swiss Federal Office of Civil Aviation (FOCA) were used. As aircraft with piston engines made up only 1.7% (850) of all aircraft movements analyzed, it was assumed that this simplification would not bring an unacceptable error to the calculations. The generic values were based on the horsepower of the engine. The databank covers the following intervals of horsepower values:
  • Of 200 hp or less;
  • Between 201 hp and 300 hp;
  • Between 301 hp and 500 hp;
  • Of 501 hp or more.
Similarly, in the case of turboprop engines, only generic emission indices were used, with the defining criterion being the shaft horsepower in this case. The reason for this was that there is as of yet no publicly available emissions databank covering turboprop engines. The ICAO Airport Air Quality Manual (Doc 9889) [46] provides the total LTO emissions of various aircraft types, including several aircraft equipped with turboprop engines, chosen to represent the different intervals of shaft horsepower values, as stated below. The emission indices used in this study were calculated based on the methodology described by Stloukal [47], based on the total LTO emissions. This simplification used for the aircraft with turboprop engines affected 12.6% of all aircraft movements (6280); it was considered as necessary by the authors because of the lack of publicly available alternatives. The shaft horsepower (shp) intervals, including selected examples of aircraft, were as follows:
  • Of 1000 shp or less (Beechcraft 99, Cessna 208)
  • Between 1001 shp and 2000 shp (Pilatus PC-12, Beechcraft 350)
  • Of 2001 shp or more (ATR-72, Bombardier Q400)
Helicopter emissions are not covered in this study at all since helicopter movements were not included in the provided data. Nevertheless, their impact was assumed to be close to negligible relative to the other aircraft types considered in this study.

2.2. Calculations of Real Aircraft Emissions

In this study, real emissions of six different species (NOX, CO, HC, CO2, H2O and SO2) were calculated for every aircraft movement at LKPR in 2020. The calculations were based on the so-called Landing and Take-Off (LTO) cycle. For the first three species, emission indices unique to the individual engine types available in emission databanks were used.
The LTO cycle, originally defined by ICAO for engine certification purposes, is a common approach to calculating emissions of aircraft at airports. According to ICAO [46], the LTO cycle describes an idealized model of engine operations while at and near airports; covering aircraft activities below the mixing height, which is generally assumed to be at 3000 feet (914 m) above ground level (AGL). For these purposes, four operating modes are recognized with given constant time duration values, or time-in-mode (TIM) values. These operating modes are namely “Idle” (7% thrust setting for 7.0 min for taxi-in and 19.0 min for taxi-out), “Take-Off” (100% thrust setting for 0.7 min), “Climb-Out” (85% thrust setting for 2.2 min) and “Approach” (30% thrust setting for 4.0 min). The TIM values listed above are valid for jet engines, for which ICAO certification standards apply. For turboprop and piston engines, these values were different; their comparison is included in Table 1.
Different studies have shown that the LTO cycle is too simplified for the purposes of accurately estimating aircraft emissions at airports. A limitation is that the TIM values are too generalized and do not reflect local conditions, which may have a significant impact on the accuracy of the emissions calculations [50]. As a result, various studies focusing on the emissions of aircraft at airports have modified these values in different ways [51,52,53]. A review by Masiol and Harrison [12] has also found that the actual engine thrust setting used by aircraft at airports often does not correspond with the default LTO cycle values, leading to less reliable emissions estimates. For this reason, the default, constant TIM values were not used in this study. Instead, similarly to Taghizadeh et al. [54], the TIM values of the “Idle” operating mode were replaced by the actual taxi times of every individual movement as given by A-SMGCS, regardless of engine type. For the remaining operating modes, the TIM values were considered to be random variables, with the mean corresponding to the default TIM value and the standard deviation being equal to 5% of the mean.
The real LTO emissions for all emission species and every aircraft movement were calculated using Equation (1), which was derived from other similar formulae appearing in the literature, such as in Zhang et al. [55]. The equation used was as follows:
E i , p = n i m f m , i e m , i t m ,
where Ei,p are the total LTO emissions of pollutant p and movement i, m is the given LTO operating mode, ni is the number of engines for the given movement, fm,i is the fuel flow value (specific fuel consumption) for the given operating mode and aircraft type of the movement, em,i is the emission index for the given operating mode and aircraft type of the movement and tm is the TIM value for the given operating mode. If the movement was a departure, then only emissions in operating modes “Idle”, “Take-Off” and “Climb-Out” were calculated. Conversely, if the movement was an arrival, then only emissions in operating modes “Approach” and “Idle” were calculated.
For emissions of NOX, CO and HC, emission indices corresponding to individual engine models and operating modes of the LTO cycle were used; these were taken from the aforementioned emission databanks, along with the fuel flow values. In the case of CO2, H2O and SO2, these have constant emission indices throughout the entire flight (these emissions are directly proportional to fuel consumption), therefore a single, constant value was used for each species regardless of engine model or LTO operating mode. The values of these indices were taken from Tait et al. [11] and were as follows: 3149.00 g/kg for CO2, 1230.00 g/kg for H2O and 0.84 g/kg for SO2.
Since the TIM values used were not constants but random variables (with the exception of the operating mode “Idle”, where real values were used), the real emissions were computed repeatedly; over 10,000 iterations. This made it possible to account for the uncertainty in the TIM values and provide a certain interval of possible results, rather than one single value. As will be elaborated further below, this was also practical for other reasons.

2.3. Estimating Business-as-Usual Airport Traffic

In order to estimate the business-as-usual traffic at LKPR in 2020, i.e., in a hypothetical scenario where COVID-19 would have never appeared in late 2019, data on daily numbers of airport movements in 2018 and 2019, as well as January 2020, were used. Data from February 2020 and onwards were not used due to the effects of the COVID-19 pandemic, which was beginning at the time. The data were used to estimate a time series model in the form
y = c 1 sin c 2 x + c 3 + c 4 + c 5 x
where y is the number of daily airport aircraft movements, x is the index of day (where the 1 January 2018 corresponds to the value 1) and c1 through c5 are coefficients of the model that were estimated. As can be seen, the model is made up of two parts. The first part includes coefficients c1 to c4 and represents the seasonal aspect of airport operations, where daily traffic numbers tend to decrease during the winter season and increase during the summer season. The second, linear part (including the coefficient c5), accounts for year-to-year growth in traffic numbers. While this growth is non-linear in the long run, it was assumed here to be linear since only two years of data were used, covering the situation right before the pandemic; therefore, this can be considered an acceptable simplification. The model was then used to generate the business-as-usual daily airport movements, as will be explained below.
The model coefficients were estimated in MATLAB R2024a using the Curve Fitting Toolbox 24.1. First, the coefficient c5 was estimated using the poly1 fit type. Then, the last term of Equation (2) was subtracted from y. The mean of the remainder was then evaluated, which gave the coefficient c4. This, too, was then subtracted from the remaining y, which allowed the remaining coefficients c1c3 to be evaluated using the sin1 fit type. Table 2 lists the resulting values of the model coefficients that were used for the subsequent estimation, while Figure 2 shows the time series model defined by Equation (2) plotted against the real data (daily numbers of IFR movements as per EUROCONTROL [43]). The R squared of the model was 0.695 (0.971 when using daily traffic data smoothed using the moving mean with window size 100).
To add an uncertain (stochastic) term to the time series model (i.e., a fourth term to Equation (2)), the residuals (i.e., differences between the real and modeled values) were computed, with their standard deviation then being evaluated. Its resulting value of 43.099 was used for generating the noise (the stochastic term of the model) that was added to the deterministic part of the model defined by Equation (2). As has already been mentioned, the derived time series model was then used to estimate the business-as-usual daily numbers of aircraft movements at LKPR during 2020. With this, it was assumed that the traffic trend from 2018 and 2019 would have continued in 2020 as well; in other words, the model explaining the traffic in 2018 and 2019 was extrapolated into 2020. In order to account for the uncertainty, specifically the stochastic part of the model, the process of estimating (i.e., generating the traffic) was repeated iteratively: 10,000 times. Finally, the generated values were rounded to whole numbers.

2.4. Estimating Business-as-Usual Aircraft Emissions

When estimating the business-as-usual traffic at LKPR in 2020, the traffic mix was not considered; only the total number of aircraft movements per day were estimated. The calculations of the business-as-usual LTO emissions therefore had to be adapted to this, since it was not possible to use specific emission indices for individual aircraft types. Thus, it was necessary to make a simplifying assumption that each aircraft movement, regardless of aircraft type, produced a certain amount of emissions, which could be estimated in the form of an emission factor. For this purpose, the real calculated emissions were used, as well as the traffic model introduced in the previous section. Firstly, for each emission species separately, linear regression was performed, where the daily number of movements was the independent variable, while the total amount of LTO emissions on that day was the dependent variable. The intercept of the regression line with the x-axis was presumed to be 0 for all species, since no movements on a given day must lead to exactly zero emissions. The slope of the regression line was then given as the amount of emissions corresponding to one movement, or, in other words, the emission factor of one movement.
Since the real emissions were estimated 10,000 times, this process was also repeated the same number of times (in each iteration, the results of one given iteration of computing the real emissions were used). For the subsequent calculations, only the median value for each species was used (the standard deviation was negligible); these are shown in Table 3. The table also includes the R squared values for each emission species, as well as the standard deviations of the computed residuals (differences between daily real values and values predicted by the linear curve).
Using the derived emission factors and standard deviations, the business-as-usual LTO aircraft emissions were computed over 10,000 iterations in order to match the number of iterations when the real emissions were computed as well as the number of iterations when the business-as-usual daily numbers of movements were estimated. Specifically, the “deterministic” LTO emissions for each day were computed by multiplying the emission factor of the given emission species with the estimated number of daily movements. Next, the “stochastic” part was calculated, which was given by the corresponding standard deviation of the residuals (with a mean equal to 0) and added to the “deterministic” part. This latter part effectively accounted for the hidden variables that were not explicitly accounted for, such as traffic mix or movement-specific taxi time.

3. Results

The results presented in this chapter are divided into several sections. Firstly, results of calculations of real LTO aircraft emissions at LKPR during 2020 are shown. Next, the estimated business-as-usual aircraft movements for 2020 are shown, including a comparison with the real data. The estimated business-as-usual aircraft LTO emissions for the same year are then presented, as well as their comparison with the real emissions.

3.1. Real Aircraft Emissions at LKPR in 2020

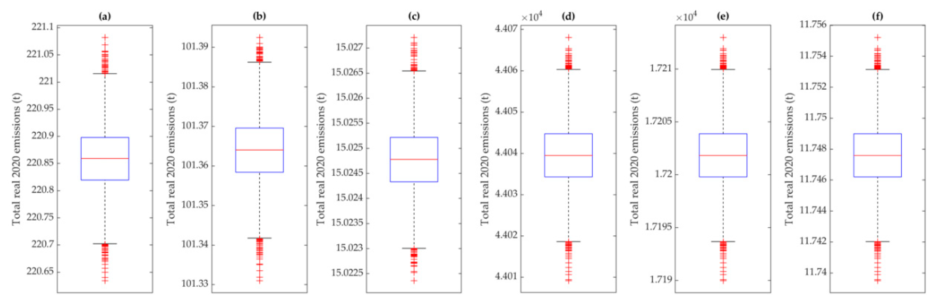
Figure 3 shows the total real LTO aircraft emissions at LKPR in tons during the year 2020 for each emission species, presented in the form of boxplots (since the calculations were performed over 10,000 iterations, a range of values was obtained). As can be seen, CO2 emissions were dominant with a median value of 44,039.5 tons. From the non-CO2 species, H2O emissions were the most abundant with a median value of 17,201.8 tons. In the case of remaining non-CO2 emissions, the total amounts were in hundreds of tons at most.
For each emission species, the median and mean total emissions, standard deviation, as well as the minimal and maximal obtained values, are shown in Table 4. It can be noticed that the medians and means were either identical or very similar, which can be explained by the symmetrical distributions of the data as seen in the boxplots in Figure 3. Since this was a general occurrence throughout the results, the presentation of median values in some of the subsequent tables is omitted in favor of mean values only. As can be seen, the ranges of the results are very limited, which is also shown by the standard deviations (e.g., the standard deviation for NOX is just around 0.026% of the corresponding mean and median). As such, the mean or median alone can be considered sufficient regarding the assessment of total real LTO aircraft emissions at LKPR in 2020.
The evolution of monthly mean real LTO aircraft emissions for each emission species is shown in Figure 4. For practical reasons related to the order of magnitude (e.g., CO2 emissions are on a scale of thousands of tons, compared to tens of tons in the case of NOX), the emission species are divided appropriately into three plots; this is applied in subsequent figures as well. Error bars are included in the graphs; these correspond with the individual standard deviations. As the graphs show, most emissions regardless of species were emitted in January, with a slight decrease in February. A larger decrease occurred during March, which is when the first local lockdown due to the COVID-19 pandemic began, and the emissions reached a low point in April, falling on average to just 10% of January values. From May and June, the monthly emissions increased again, corresponding to a gradual recovery from the initial shock, peaking in August, still well below the values from early 2020 (e.g., CO2 emissions in August were at only 40.8% compared to January). From September onwards, emissions decreased again up until December, when a slight increase likely caused by the holidays was observed. It should be noted that the trends for CO2, H2O and SO2 should be expected to be very similar since these species are directly related to fuel consumption, having a constant emission index independent of engine thrust setting.
The monthly mean values from Figure 4 are also presented in Table 5. As can be seen in Figure 4, the standard deviations represented by the error bars are very small relative to the mean values and can thus be considered negligible; therefore, they are not presented in the table.

3.2. Real and Estimated Business-as-Usual Traffic at LKPR in 2020

Figure 5 shows the real monthly numbers of aircraft movements at LKPR, in the form of bar plots. For the years 2018 and 2019, data from EUROCONTROL [43] were used; for 2020, data from this source were also used, as well as the provided airport A-SMGCS data. As can be seen, the values given by these two data sources were very similar, with slightly larger differences being observed in July and August 2020 relative to the other months. The estimated business-as-usual airport traffic is also presented here, in the form of boxplots. As expected, the general trend suggested by the boxplots is similar to the real data from 2018 and 2019, which were used as a reference for the traffic model introduced earlier. As the results show, the monthly real and estimated business-as-usual numbers of movements are very similar in the case of January and February 2020, which is an expected result due to the fact that no traffic disruption had happened yet during these months, and since the data for January 2020 were also included in the traffic model.
The monthly mean numbers of estimated business-as-usual aircraft movements at LKPR are presented in Table 6. Similarly to previous results, the presentation of corresponding median values was deemed redundant due to the large similarity between both statistical characteristics. Besides the mean values, standard deviations are included, as well as the minima and maxima (from the 10,000 iterations). As can be seen, under normal, business-as-usual circumstances and assuming a continuation of the trend from 2018 and 2019, mean monthly aircraft movements at LKPR would have peaked at around 15,600 in July and August, with a standard deviation of 235–240 for both months.
In Figure 6, the weekly numbers of aircraft movements at LKPR for weeks 1–16 in years 2018, 2019 and 2020 are shown (N.B.: lower values for week 1 can be explained by the fact that days belonging to the preceding year were not included). The estimated business-as-usual airport traffic is again presented in the form of boxplots. The figure shows in more detail the initial divergence of real and estimated business-as-usual traffic, as well as real 2020 and 2018/2019 traffic, which began during week 10 (2 March 2020–8 March 2020). As can be seen, the largest decrease happened between weeks 11 (9 March 2020–15 March 2020) and 12 (16 March 2020–22 March 2020). By late March and early April, weekly numbers of aircraft movements had fallen to less than 300, more than eight times less than in 2018 and 2019 around the same time.

3.3. Estimated Business-as-Usual Aircraft Emissions at LKPR in 2020

Figure 7 shows the total daily emissions plotted against the corresponding number of daily movements for each emission species separately. Linear regression using the least squares method was performed, with the resulting regression lines included in the plots. The purpose of the regression was to estimate the emission factors (slopes of the lines) that are listed in Table 3. As explained earlier, these emission factors were used to estimate the business-as-usual daily aircraft LTO emissions by multiplying their values with the daily number of movements (while also accounting for the uncertainty or the “stochastic” emissions). Corresponding R squared values, ranging from 0.904 to 0.977, are available in the same table.
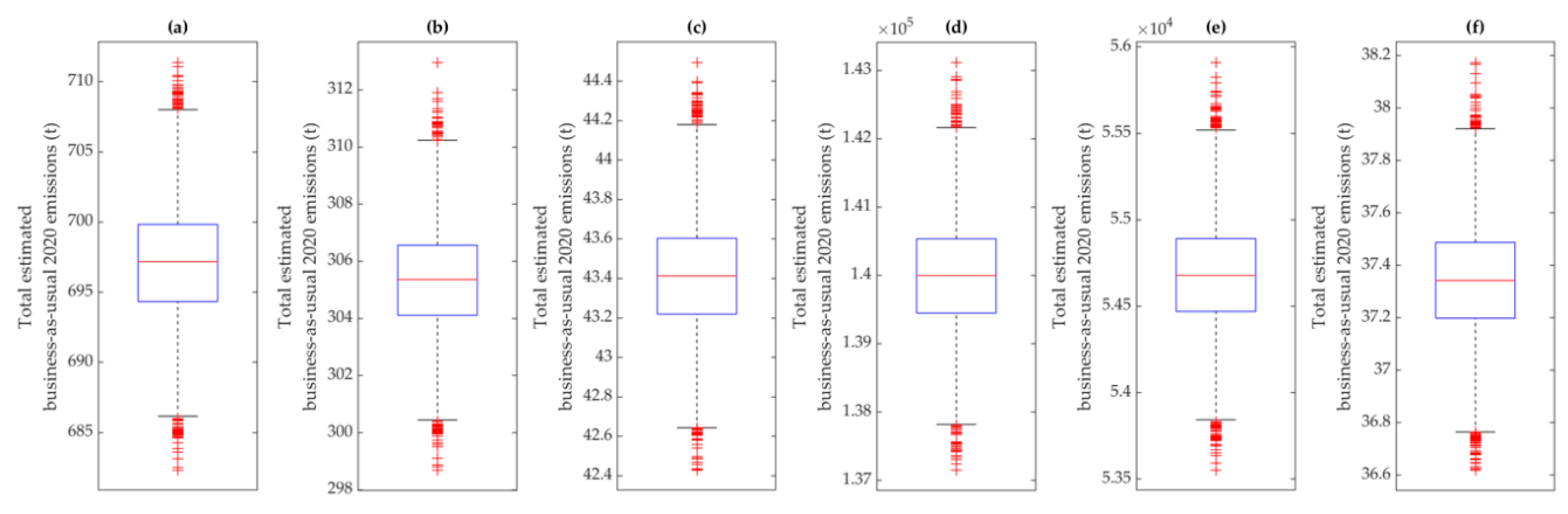
Figure 8 shows the total estimated business-as-usual LTO aircraft emissions at LKPR in tons during 2020 for each emission species. Once again, the results are presented in the form of boxplots. Similarly to the real emissions, CO2 emissions were dominant, with a median value of around 140,000 tons, representing a 317.9% increase compared to the real emissions. Similar percentage increases were observed for other species, such as 315.7% for NOX or 301.3% for CO. In other words, according to the results, the total real LTO emissions for 2020 were, in general, at around a third of what could have been expected under normal circumstances.
Table 7 shows the median and mean total estimated business-as-usual LTO aircraft emissions, standard deviation and minimal and maximal values for each emission species. It can be noted that the ranges of the values here are much larger than in the case of the real emissions (e.g., the standard deviation for CO2 was 809.761 tons here compared to 7.744 tons as given by Table 4), which can be attributed to the higher uncertainty during the calculations, since these are predictions rather than real values.
The evolution of monthly mean estimated business-as-usual LTO aircraft emissions for each emission species is shown in Figure 9, with the error bars corresponding to the individual standard deviations. As can be seen, the emissions loosely follow a trend similar to the traffic trends in 2018 and 2019, a continuous increase from February, peaking during July and August, followed by a decrease during the remaining months of the year.
The monthly mean values presented in Figure 9 are shown for each emission species individually in Table 8. Large similarities with the monthly mean real LTO aircraft emissions can be seen during the first two months of the year, after which the two sets of values diverge.
The monthly standard deviations represented by the error bars in Figure 9 are plotted in Figure 10, where the mean standard deviation for each emission species is also included. As can be seen, the monthly standard deviations (expressed here in tons of emissions) remained relatively unchanged throughout the year.

3.4. Comparison Between Real and Estimated Business-as-Usual Aircraft Emissions at LKPR in 2020

In Table 9, the differences between the total real and estimated business-as-usual LTO aircraft emissions at LKPR during 2020 are shown for each emission species. Specifically, the estimated reductions in emissions caused by the fall in traffic due to the COVID-19 pandemic are shown. Differences in the mean and median total emissions are shown, as well as the minimal difference (between maximal real emissions and minimal estimated business-as-usual emissions) and maximal difference (between maximal estimated business-as-usual emissions and minimal real emissions). As the results show, the COVID-19 pandemic caused emissions of all species at LKPR in 2020 to decrease on average by around two thirds compared to the expected emissions during that year under normal, business-as-usual conditions. For example, due to the pandemic, around 96,000 tons of CO2 or 476 tons of NOX LTO aircraft emissions (median estimates) were never emitted.
Figure 11 shows the plotted cumulative LTO aircraft emissions (real and estimated business-as-usual) for each emission species. Specifically, the cumulative sums of the first and third quartiles (Q1 and Q3, respectively) and the second quartile (i.e., median) are plotted. These quartiles were based on the 10,000 iterations over which the total daily business-as-usual emissions were estimated. The effect of the COVID-19 pandemic on aircraft LTO emissions at LKPR throughout 2020 can thus be observed as the difference between two corresponding curves (e.g., those representing medians). As can be seen for all emission species, the sums began diverging in mid-March 2020, which is consistent with other previously presented results. It should also be noted that the quartiles for the real emissions were very similar, which explains the significant overlap of the red curves and thus the seemingly single red curve in the plots.
The absolute monthly differences between the mean real and estimated business-as-usual LTO aircraft emissions are shown for each emission species in Table 10. As has already been the case with other previously presented results, due to the large similarity between the mean and median values, only the mean values are presented in the table. The similarity between the two sets of values in January and February 2020 can be seen here by the significantly smaller differences during these two months relative to the remainder of the year. The largest absolute differences between monthly mean real and estimated business-as-usual emissions were observed in June 2020, equally for all emission species.
In the same manner, relative percentage differences between the monthly mean real and estimated business-as-usual LTO aircraft emissions at LKPR during 2020 are shown for each emission species in Table 11. As can be seen, the largest relative percentage differences were observed in May 2020 for all emission species except HC, where this was the case in April. The largest differences ranged between approximately 89.4% and 92.0%. Very similar results can be observed for CO2, H2O and SO2, which are all directly dependent on fuel consumption.

4. Discussion

The results presented in the previous section showed that aircraft LTO emissions at LKPR in 2020 were lower by around 65–70% compared to what could have been expected that year under normal, business-as-usual operations had the COVID-19 pandemic never occurred, thereby quantifying its impact in accordance with the formulated aim of the study. While low relative percentage differences between the real and business-as-usual aircraft emissions were observed during the first two months of the year, suggesting high accuracy of the business-as-usual emissions estimation (since the real operations were not yet affected by the pandemic, they can be considered business-as-usual up until early March 2020), differences of up to 90% were observed for most emission species during the spring of 2020, when traffic at LKPR was at its lowest during the initial lockdown.
The real LTO aircraft emissions at LKPR during 2020 were marginal relative to all emissions produced in the Czech Republic. According to the report by the Czech Hydrometeorological Institute focusing on the country’s emissions in 2020 [56], a total of 91,697,360 tons of CO2 were emitted in the country, mostly within the energy sector; approximately 2082 times more than the median total CO2 emissions at the airport as per our results. Moreover, 137,200 tons of NOX (approximately 621 times more than at LKPR), 788,730 tons of CO (approximately 7781 times more) and 67,220 tons of SO2 (approximately 5722 times more) were produced in the country. As such, it can be seen that the relevance of LKPR on the national level in terms of being an emission source was different based on which emission species is considered—clearly, in 2020, it was a more significant source of NOX emissions than of CO or SO2 emissions. Nevertheless, to assess its impact on the local scale, it would be necessary to account for the emissions of surrounding sources and other airport emission sources.
The real aircraft LTO emissions were computed using the methodology based on the LTO cycle, which is a commonly used approach in the literature to develop airport emission inventories [57]. In order to address some of the inherent limitations of the methodology, additional data were used. Specifically, in this case, A-SMGCS data were used to replace the standardized TIM value of the “Idle” operating mode of the LTO cycle with actual taxi times of the individual movements. For emission species mainly appearing during taxiing, i.e., CO and HC, this meant a large improvement in the accuracy of the resulting emissions estimates. By considering the TIM values of the remaining operating modes to be random variables with different values for each movement, a range of possible total emissions was produced, rather than a single value. Thus, the uncertainty in the calculations was addressed. The business-as-usual airport traffic was estimated based on a time series model considering daily numbers of aircraft movements at the airport during the years 2018 and 2019. Since the R squared of the model was 0.971 when assessing smoothed traffic data (more long-term), the model may be considered valid for the given time period. By assuming that the trend from 2018 and 2019 would have remained the same during 2020, it was possible to extrapolate into that year and estimate the business-as-usual traffic. Including the stochastic term within the model defined by the residuals can be considered an appropriate means of addressing the variability in the data. Since the traffic mix was not accounted for within the estimated business-as-usual traffic, it was deemed necessary to make the simplification of estimating emission factors per movement and emission species, which were again considered to be random variables with a standard deviation given by the residuals of the performed linear regression. As such, the resulting total business-as-usual emissions were on a wider range, which is also why repeating the calculations over 10,000 iterations can be considered a correct approach.
When comparing the results of this study with the available literature, it is necessary to account for differences in the local response to the pandemic, which varied significantly across countries and regions. Clearly, the reduction in traffic and thus emissions across airports worldwide during 2020 was therefore not uniform but largely depended among others on the proportion of international and domestic flights. For example, Chung and Sunwoo [25] found that aircraft emissions at South Korean airports that were at the time largely dependent on international flights decreased much more than in the case of airports serving domestic flights, where slight increases were even observed in some cases. Another factor that should be considered is the proportion of passenger and cargo traffic at the airport, since the latter was far less affected by the pandemic, as the study by To and Lee [41] focusing on Hong Kong Airport shows. Nevertheless, some similarities with other airports can be found; for example, the reduction in emissions by 90% in April and May 2020 at Van Airport in Turkey according to Akyüz [33] is very similar to our results that compared the real and business-as-usual emissions, while the reduction at Split Airport was by 100% in April 2020 according to Nižetić [37]. Moreover, Zeydan and Zeydan [39] found that emissions at Turkish airports decreased by around 60% on average between 2019 and 2020, which is relatively similar to our reported reduction by 65–70% across the emission species considered. However, it is necessary to acknowledge that there is a difference between comparing 2020 levels of emissions with 2019 levels and with expected 2020 levels. Since the time series model, which was used to estimate the business-as-usual traffic and thus the emissions in 2020, estimated a growth in traffic between 2019 and 2020, the reduction in emissions at LKPR relative to 2019 would have likely been smaller.
There are some limitations associated with this study that should be mentioned. Firstly, the study does not quantify the full impact of the COVID-19 pandemic on aircraft emissions at LKPR, since only the year 2020 was included. Although the effect of the pandemic on the aviation industry was most profound in 2020, the subsequent years during which the industry was recovering, partially still during the pandemic, should also be considered in a potential future comprehensive analysis. In such a case, however, the traffic model used to estimate the business-as-usual traffic would likely require a reconceptualization to allow for more long-term estimation. Regarding the traffic model, although it did not consider the traffic mix or variation during the week (e.g., increased traffic during the weekend), this issue was partially addressed by using the repeated generating of the values over 10,000 iterations. Moreover, due to limited data availability, the traffic model was derived based on the general data from EUROCONTROL and not the more comprehensive A-SMGCS data; nevertheless, as shown by the results, the differences between the two datasets were only marginal. In this regard, it was found that a small number of A-SMGCS records was missing for arrivals of general aviation aircraft, likely due to lower stringency regarding transponder use. Availability of data was also an issue in the case of the aircraft engine emissions characteristics, which included emission indices and specific fuel consumption. For example, detailed data were not available for turboprop or piston engines or engines of business jets, which are not within the scope of regulatory requirements. In these cases, the only option was to use generic emission indices that provided less accurate but still acceptable estimates. Nevertheless, for the majority of airport movements included in this study, aircraft type-specific emissions characteristics were available. Alternate taxiing procedures, which aim to reduce emissions, such as single-engine taxiing, were not considered in this study since it was not possible to determine the extent of their use. Finally, some limitations regarding the LTO TIM values used in this study should be addressed. In the case of the “Idle” operating mode, the values were based on the taxi time provided within the A-SMGCS data. While they were a significant improvement over the generic standardized value, they did not account for the exact time of engine start-up or shutdown. Similarly, the exact procedure of determining the taxi time by the system was not known, therefore incorrect records were identified only based on irregular taxi time. Nevertheless, utilizing these values can still be considered beneficial compared to using the standardized value given by ICAO, which does not reflect real conditions. In the case of the remaining operating modes, the standardized values were used, since no alternative data sources were available. However, the chosen approach of generating these values as random variables (i.e., with the standard deviation of 5% of the mean) was deemed an acceptable solution.
Regarding future research, there are various possible research avenues that may be pursued. Firstly, this study only focused on 2020, the first year of the pandemic. Although the largest reduction in airport traffic was observed in 2020, with traffic numbers gradually recovering during the following years, it would be desirable to include these years in the scope of future research to fully quantify the impact of the COVID-19 pandemic on aircraft emissions at LKPR. When estimating the business-as-usual airport traffic, attention may be paid to exploring further options regarding the methods employed. For example, the weekly fluctuation in traffic volume could be added to the traffic model, accounting for increased flight activity during weekends, for example. Similarly, it may be beneficial to consider improving the accuracy of the emissions calculations. In this study, TIM values of the “Idle” operating mode of the LTO cycle were refined using actual surveillance data from the airport’s A-SMGCS, while for the other operating modes, the default values were used. While the solution used in this study was to consider these values to be random variables, it may be desirable to incorporate further surveillance data (for example from the ADS-B surveillance technology), allowing the refinement of TIM values of all operating modes in future research. Alternatively, attention should be paid to refining the generating of the TIM values, for example, by investigating the distributions of the real values for the individual operating modes. Although LKPR, which this study focused on, is the largest airport in the Czech Republic in terms of traffic and passenger volume, including other Czech airports such as Brno, Ostrava or Pardubice in future research may not only enable the development of a comprehensive emission inventory covering Czech civil airports during the pandemic, but also provide insight into the effects of the pandemic on aircraft emissions at smaller, regional airports. When assessing emission reductions, modern alternative procedures aimed at reducing fuel consumption such as single-engine taxiing may be included in the emissions estimation framework. Finally, in future research, the impacts of reduced aircraft traffic at LKPR during the pandemic on local air quality could be investigated, thus assessing the implications for the local population.

5. Conclusions

In this study, we have quantified the total real LTO aircraft emissions (i.e., emissions emitted by aircraft at or below 3000 feet above ground, which are assumed to impact local air quality) at LKPR during the year 2020, which saw the COVID-19 pandemic make an unprecedented impact on civil aviation through the disruption of international air travel. According to the results, aircraft emissions decreased sharply in March and April due to the imposed lockdowns, then started increasing again before the summer of 2020, peaking at around 40% of January levels before decreasing again with the onset of autumn. By considering the daily numbers of movements at the airport in 2018 and 2019, we developed a time series model estimating the business-as-usual traffic at the airport, which could have been expected in 2020 had the pandemic never occurred. Upon estimating the business-as-usual LTO aircraft emissions at the airport using derived emission factors per movement, we found that the COVID-19 pandemic caused a reduction in emissions by around 65–70% on average at LKPR across all emission species considered (for example, total median reduction in LTO CO2 emissions was estimated at around 96,000 tons), with the largest absolute and relative differences being observed during early summer of 2020.
To conclude, it is necessary to continue research in this area, in order to fully comprehend the impacts of the COVID-19 pandemic on the environment from the perspective of the aviation industry, and to be able to use this experience to help estimate the impact of a potential similar disruptive event in the future. Attention should not only be paid to the quantification of the reduction in emissions, but also to the implications for local air quality. In this regard, it should be acknowledged that this is a unique opportunity to better assess the actual impact of airport operations on local air quality due to the observed large variation in traffic volumes at the same airport. However, at the same time, many of the data potentially viable for future research discussed above are often restricted and not openly available, underscoring the importance of establishing close collaboration with stakeholders possessing such data. Collaborative engagement with entities such as airport authorities, airline operators or air navigation service providers is therefore indispensable in future research.

Author Contributions

Conceptualization, B.S., J.H. and I.N.; methodology, B.S., J.H. and I.N.; software, B.S.; validation, B.S. and J.H.; formal analysis, B.S. and I.N.; investigation, B.S.; resources, B.S. and J.H.; data curation, B.S.; writing—original draft preparation, B.S.; writing—review and editing, B.S., J.H. and I.N.; visualization, B.S.; supervision, J.H.; project administration, B.S.; funding acquisition, J.H. All authors have read and agreed to the published version of the manuscript.

Funding

This research was funded by the research support budget of the Czech Technical University in Prague.

Institutional Review Board Statement

Not applicable.

Informed Consent Statement

Not applicable.

Data Availability Statement

Data on aircraft movements at LKPR from the airport’s A-SMGCS were provided by the airport authority for the purpose of this study and are not publicly available. Data on daily airport traffic numbers can be found at the EUROCONTROL Aviation Intelligence Portal website at https://www.eurocontrol.int/performance/data/download/xls/Airport_Traffic.xlsx (accessed on 21 November 2024) [43]. All emission databanks used in this study are publicly available; their up-to-date versions can be found at https://www.easa.europa.eu/en/downloads/131424/en (accessed on 29 November 2024) [44] and https://www.bazl.admin.ch/dam/bazl/de/dokumente/Fachleute/Regulationen_und_Grundlagen/foca_aircraft_piston_engine_database.xlsx.download.xlsx/FOCA_Aircraft_Piston_Engine_Database.xlsx (accessed on 29 November 2024) [45] for jet and piston engines, respectively. Aircraft type-specific data on emission indices and fuel flow values per LTO operating mode used in this study are available on request from the authors.

Acknowledgments

The authors would like to thank the Václav Havel Airport Prague authority for providing the non-public A-SMGCS data that were used in this study.

Conflicts of Interest

The authors declare no conflicts of interest.

References

  1. Hammad, H.M.; Nauman, H.M.F.; Abbas, F.; Jawad, R.; Farhad, W.; Shahid, M.; Bakhat, H.F.; Farooque, A.A.; Mubeen, M.; Fahad, S.; et al. Impacts of COVID-19 pandemic on environment, society, and food security. Environ. Sci. Pollut. Res. 2023, 30, 99261–99272. [Google Scholar] [CrossRef] [PubMed]
  2. Simunek, M.; Smutny, Z.; Dolezel, M. The Impact of the COVID-19 Movement Restrictions on the Road Traffic in the Czech Republic during the State of Emergency. J. Adv. Transp. 2021, 2021, 6622028. [Google Scholar] [CrossRef]
  3. Sugiyanto, G.; Santoso, P.B.; Santi, M.Y. The effect of novel coronavirus disease (COVID-19) on air transport. In Proceedings of the 3rd International Conference on Engineering, Technology and Innovative Researches, Purbalingga, Indonesia, 1 September 2021. [Google Scholar]
  4. Sun, X.; Wandelt, S.; Fricke, H.; Rosenow, J. The Impact of COVID-19 on Air Transportation Network in the United States, Europe, and China. Sustainability 2021, 13, 9656. [Google Scholar] [CrossRef]
  5. Li, Y.; Wang, J. The impact of COVID-19 pandemic on air passenger travel: A focus on empirical findings. Transp. Rev. 2024, 44, 461–483. [Google Scholar] [CrossRef]
  6. International Civil Aviation Organization (ICAO). Effects of Novel Coronavirus (COVID-19) on Civil Aviation: Economic Impact Analysis, Montréal, Canada, 27 April 2023. Available online: https://www.icao.int/sustainability/Documents/COVID-19/ICAO%20COVID-19%20Economic%20Impact_2023%2004%2027.pdf (accessed on 30 December 2024).
  7. Air Transport Action Group (ATAG). Aviation: Benefits Beyond Borders. 2020. Available online: https://aviationbenefits.org/media/167517/aw-oct-final-atag_abbb-2020-publication-digital.pdf (accessed on 30 December 2024).
  8. International Air Transport Association (IATA). Air Passenger Market Analysis, September 2024. Available online: https://www.iata.org/en/iata-repository/publications/economic-reports/air-passenger-market-analysis-september-2024/ (accessed on 30 December 2024).
  9. EUROCONTROL. Seven-Year Forecast 2024–2030: Update Autumn 2024. Available online: https://www.eurocontrol.int/sites/default/files/2024-10/eurocontrol-seven-year-forecast-2024-2030-october-2024.pdf (accessed on 30 December 2024).
  10. Rupcic, L.; Pierrat, E.; Saavedra-Rubio, K.; Thonemann, N.; Ogugua, C.; Laurent, A. Environmental impacts in the civil aviation sector: Current state and guidance. Transp. Res. D Transp. Environ. 2023, 119, 103717. [Google Scholar] [CrossRef]
  11. Tait, K.N.; Khan, M.A.H.; Bullock, S.; Lowenberg, M.H.; Shallcross, D.E. Aircraft Emissions, Their Plume-Scale Effects, and the Spatio-Temporal Sensitivity of the Atmospheric Response: A Review. Aerospace 2022, 9, 355. [Google Scholar] [CrossRef]
  12. Masiol, M.; Harrison, R.M. Aircraft engine exhaust emissions and other airport-related contributions to ambient air pollution: A review. Atmos. Environ. 2014, 95, 409–455. [Google Scholar] [CrossRef]
  13. Riley, K.; Cook, R.; Carr, E.; Manning, B. A systematic review of the impact of commercial aircraft activity on air quality near airports. City Environ. Interact. 2021, 11, 100066. [Google Scholar] [CrossRef]
  14. Bendtsen, K.M.; Bengtsen, E.; Saber, A.T.; Vogel, U. A review of health effects associated with exposure to jet engine emissions in and around airports. Environ. Health 2021, 20, 10. [Google Scholar] [CrossRef]
  15. Zambrano-Monserrate, M.A.; Ruano, M.A.; Sanchez-Alcalde, L. Indirect effects of COVID-19 on the environment. Sci. Total Environ. 2020, 728, 138813. [Google Scholar] [CrossRef]
  16. Kumar, A.; Singh, P.; Raizada, P.; Hussain, C.M. Impact of COVID-19 on greenhouse gases emissions: A critical review. Sci. Total Environ. 2022, 806, 150349. [Google Scholar] [CrossRef] [PubMed]
  17. Liu, F.; Wang, M.; Zheng, M. Effects of COVID-19 lockdown on global air quality and health. Sci. Total Environ. 2021, 755, 142533. [Google Scholar] [CrossRef] [PubMed]
  18. Xu, H.; Xiao, K.; Pan, J.; Fu, Q.; Wei, X.; Zhou, J.; Yu, Y.; Hu, X.; Ren, H.; Cheng, J.; et al. Evidence of aircraft activity impact on local air quality: A study in the context of uncommon airport operation. J. Environ. Sci. 2023, 125, 603–615. [Google Scholar] [CrossRef]
  19. Avdoulou, M.M.; Golfinopoulos, A.G.; Kalavrouziotis, I.K. Monitoring Air Pollution in Greek Urban Areas During the Lockdowns, as a Response Measure of SARS-CoV-2 (COVID-19). Water Air Soil Pollut. 2023, 234, 13. [Google Scholar] [CrossRef]
  20. Clark, H.; Bennouna, Y.; Tsivlidou, M.; Wolff, P.; Sauvage, B.; Barret, B.; Le Flochmoën, E.; Blot, R.; Boulanger, D.; Cousin, J.-M.; et al. The effects of the COVID-19 lockdowns on the composition of the troposphere as seen by In-service Aircraft for a Global Observing System (IAGOS) at Frankfurt. Atmos. Chem. Phys. 2021, 21, 16237–16256. [Google Scholar] [CrossRef]
  21. Shikwambana, L.; Kganyago, M. Assessing the Responses of Aviation-Related SO2 and NO2 Emissions to COVID-19 Lockdown Regulations in South Africa. Remote Sens. 2021, 13, 4156. [Google Scholar] [CrossRef]
  22. Kanniah, K.D.; Kamarul Zaman, N.A.F.; Perumal, K. Analysis of NO2 Tropospheric Column Amount at Airports in Malaysia Before and During COVID-19 Pandemic using Sentinel-5p Tropomi Data. In Proceedings of the 2021 24th ISPRS Congress Commission III: Imaging Today, Foreseeing Tomorrow, Nice, France, 5–9 July 2021. [Google Scholar]
  23. Samad, A.; Arango, K.; Chourdakis, I.; Vogt, U. Contribution of Airplane Engine Emissions on the Local Air Quality around Stuttgart Airport during and after COVID-19 Lockdown Measures. Atmosphere 2022, 13, 2062. [Google Scholar] [CrossRef]
  24. Han, B.; Yao, T.; Li, G.; Song, Y.; Zhang, Y.; Dai, Q.; Yu, J. Marginal reduction in surface NO2 attributable to airport shutdown: A machine learning regression-based approach. Environ. Res. 2022, 214, 114117. [Google Scholar] [CrossRef]
  25. Chung, Y.; Sunwoo, Y. Impact of Aviation Emissions and its Changes Due to the COVID-19 Pandemic on Air Quality in South Korea. Atmosphere 2022, 13, 1553. [Google Scholar] [CrossRef]
  26. Ngo, T.H.; Pan, W.C.; Waits, A. Reduction in Aviation Volume due to COVID-19 and Changes in Air Pollution near the International Airport in Taiwan. Aerosol Air Qual. Res. 2022, 22, 210297. [Google Scholar] [CrossRef]
  27. Fleuti, E. Effects of COVID-19-related air traffic restrictions on local air quality at Zurich airport. J. Airpt. Manag. 2020, 15, 59–70. [Google Scholar] [CrossRef]
  28. Joy, K.S.; Zaman, S.U.; Pavel, M.R.S.; Islam, M.S.; Salam, A. Spatio-temporal variation of aerosol optical depth and black carbon mass concentration over five airports across Bangladesh: Emphasis on effect of COVID-19 lockdown. Asian J. Atmos. Environ. 2024, 18, 15. [Google Scholar] [CrossRef]
  29. Dröge, J.; Klingelhöfer, D.; Braun, M.; Groneberg, D.A. Influence of a large commercial airport on the ultrafine particle number concentration in a distant residential area under different wind conditions and the impact of the COVID-19 pandemic. Environ. Pollut. 2024, 345, 123390. [Google Scholar] [CrossRef] [PubMed]
  30. Rottmann, O.; Herrmann, W.; Müller-Starck, G.; Kendlbacher, R.; Fingerle, J. COVID-19 restrictions expose air traffic at the Munich Airport as hotspot of ultrafine particle pollution–implications for regional air quality. Gefahrstoffe Reinhalt. Luft 2023, 83, 209–217. [Google Scholar] [CrossRef]
  31. Herrmann, W.; Kendlbacher, R.; Cyrys, J.; Rottmann, O. Effects of reduced aircraft movements after the COVID-19-shutdown on the concentration of ultrafine particles. Gefahrstoffe Reinhalt. Luft 2021, 81, 458–469. [Google Scholar]
  32. Mueller, S.C.; Hudda, N.; Levy, J.I.; Durant, J.L.; Patil, P.; Lee, N.F.; Weiss, I.; Tatro, T.; Duhl, T.; Lane, K. Changes in Ultrafine Particle Concentrations near a Major Airport Following Reduced Transportation Activity during the COVID-19 Pandemic. Environ. Sci. Technol. Lett. 2022, 9, 706–711. [Google Scholar] [CrossRef]
  33. Akyüz, M.K. Environmental and enviroeconomic impacts of COVID-19 pandemic on commercial flights. Aircr. Eng. Aerosp. Technol. 2022, 94, 1449–1457. [Google Scholar] [CrossRef]
  34. Bao, D.; Tian, S.; Kang, D.; Zhang, Z.; Zhu, T. Impact of the COVID-19 pandemic on air pollution from jet engines at airports in central eastern China. Air Qual. Atmos. Health 2023, 16, 641–659. [Google Scholar] [CrossRef]
  35. Bao, D.; Tian, S.; Zhang, Z.; Cheng, H.; Zhu, T.; Carpeggiani, N. Spatial-Temporal Patterns of Air Pollutant Emissions from Landing and Take-Off Cycles in the Yangtze River Delta of China During the COVID-19 Outbreak. Front. Public Health 2021, 9, 673666. [Google Scholar] [CrossRef]
  36. Akyüz, M.K. Global warming potential and enviroeconomic impact of commercial flights: A pre- to post-COVID-19 analysis. Energy Sources A Recovery Util. Environ. Eff. 2025, 47, 624–641. [Google Scholar] [CrossRef]
  37. Nižetić, S. Impact of coronavirus (COVID-19) pandemic on air transport mobility, energy, and environment: A case study. Int. J. Energy Res. 2020, 44, 10953–10961. [Google Scholar] [CrossRef]
  38. Xu, X.; You, Q.; Zhang, Z.; Zhao, Z.; Wang, Z.; Zhang, B.; Bo, X. Insights into civil aviation emissions in China: Analysis of an emission inventory of air pollutants and the ChinaHighAirPollutants (CHAP) dataset. Atmos. Environ. X 2024, 22, 100270. [Google Scholar] [CrossRef]
  39. Zeydan, Ö.; Zeydan, İ. Impacts of travel bans and travel intention changes on aviation emissions due to COVID-19 pandemic. Environ. Dev. Sustain. 2024, 26, 4955–4972. [Google Scholar] [CrossRef] [PubMed]
  40. Sahin, O.; Sag, C.D. Assessing the Carbon Footprint of Istanbul Airport: Emission Estimates and Sustainable Solutions. In Proceedings of the 2024 International Conference on Green Energy, Computing and Sustainable Technology (GECOST 2024), Miri, Malaysia, 17–19 January 2024. [Google Scholar]
  41. To, W.M.; Lee, P.K.C. The COVID-19 impacts on air transport—A case study of Hong Kong. Int. J. Shipping Transp. Logist. 2023, 16, 256–276. [Google Scholar] [CrossRef]
  42. Wang, K.; Wang, X.; Cheng, S.; Cheng, L.; Wang, R. National emissions inventory and future trends in greenhouse gases and other air pollutants from civil airports in China. Environ. Sci. Pollut. Res. 2022, 29, 81703–81712. [Google Scholar] [CrossRef]
  43. EUROCONTROL. Airport Traffic [Dataset]. Available online: https://www.eurocontrol.int/performance/data/download/xls/Airport_Traffic.xlsx (accessed on 21 November 2024).
  44. European Union Aviation Safety Agency (EASA). ICAO Aircraft Engine Emissions Databank, Issue 30 [Dataset]. Available online: https://www.easa.europa.eu/en/downloads/131424/en (accessed on 29 November 2024).
  45. Federal Office of Civil Aviation (FOCA). Aircraft Piston Engine Database [Dataset]. Available online: https://www.bazl.admin.ch/dam/bazl/en/dokumente/Fachleute/Regulationen_und_Grundlagen/foca_aircraft_piston_engine_database.xlsx.download.xlsx/FOCA_Aircraft_Piston_Engine_Database.xlsx (accessed on 29 November 2024).
  46. International Civil Aviation Organization (ICAO). Doc 9889: Airport Air Quality Manual, 2nd ed.; ICAO: Montréal, Canada, 2020; ISBN 978-92-9258-963-9. [Google Scholar]
  47. Stloukal, B. Air Quality Near Airports During the COVID-19 Pandemic. Bachelor’s Thesis, Czech Technical University in Prague, Prague, Czech Republic, 8 August 2022. [Google Scholar]
  48. Federal Office of Civil Aviation (FOCA). Schadstoffemissionen von Flugzeug-Kolbenmotoren: Zusammenfassender Bericht. Available online: https://www.bazl.admin.ch/dam/bazl/de/dokumente/Fachleute/Regulationen_und_Grundlagen/kolbenmotoremissionenberichtohneanhaenge.pdf.download.pdf/kolbenmotoremissionenberichtohneanhaenge.pdf (accessed on 5 December 2024).
  49. Swedish Defence Research Agency (FOI). The Environmental Impact of Aircraft. Available online: https://www.foi.se/en/foi/research/aeronautics-and-space-issues/environmental-impact-of-aircraft.html (accessed on 5 December 2024).
  50. Zhu, C.; Hu, R.; Liu, B.; Zhang, J. Uncertainty and its driving factors of airport aircraft pollutant emissions assessment. Transp. Res. D Transp. Environ. 2021, 94, 102791. [Google Scholar] [CrossRef]
  51. Turgut, E.T.; Cavcar, M.; Usanmaz, O.; Yay, O.D.; Dogeroglu, T.; Armutlu, K. Investigating actual landing and takeoff operations for time-in-mode, fuel and emissions parameters on domestic routes in Turkey. Transp. Res. D Transp. Environ. 2017, 53, 249–262. [Google Scholar] [CrossRef]
  52. Zhou, Y.; Jiao, Y.; Lang, J.; Chen, D.; Huang, C.; Wei, P.; Li, S.; Cheng, S. Improved estimation of air pollutant emissions from landing and takeoff cycles of civil aircraft in China. Environ. Pollut. 2019, 249, 463–471. [Google Scholar] [CrossRef]
  53. Yang, X.; Cheng, S.; Lang, J.; Xu, R.; Lv, Z. Characterization of aircraft emissions and air quality impacts of an international airport. J. Environ. Sci. 2018, 72, 198–207. [Google Scholar] [CrossRef]
  54. Taghizadeh, S.A.; Shafabakhsh, G.H.; Aghayan, I. Evaluation of aircraft emission at Imam Khomeini International Airport and Mehrabad International Airport. Int. J. Environ. Sci. Technol. 2019, 16, 6587–6598. [Google Scholar] [CrossRef]
  55. Zhang, Q.; Xu, H.S.; Wu, Y.; Sun, S.L.; Yan, D.B.; Gui, T. Estimation on LTO Cycle Emissions from Aircrafts at Civil Airports. Appl. Mech. Mater. 2014, 694, 34–38. [Google Scholar] [CrossRef]
  56. Czech Hydrometeorological Institute (CHMI). National Greenhouse Gas Inventory Report of the Czech Republic (reported inventories 1990–2020), April 2022; ISBN 978-80-7653-035-5. Available online: https://www.chmi.cz/files/portal/docs/uoco/oez/nis/NIR/CZE_NIR-2022-2020_UNFCCC_complete_ISBN.pdf (accessed on 8 January 2025).
  57. Wang, J.; Zu, L.; Zhang, S.; Jiang, H.; Ni, H.; Wang, Y.; Zhang, H.; Ding, Y. Recent Advances and Implications for Aviation Emission Inventory Compilation Methods. Sustainability 2024, 16, 8507. [Google Scholar] [CrossRef]
Figure 1. LKPR traffic in 2020 according to A-SMGCS data: (a) number of movements per month; (b) number of movements per week.
Figure 1. LKPR traffic in 2020 according to A-SMGCS data: (a) number of movements per month; (b) number of movements per week.
Atmosphere 16 00296 g001
Figure 2. Time series daily traffic model plotted against real data (absolute and smoothed values); time period 1 January 2018–31 January 2020.
Figure 2. Time series daily traffic model plotted against real data (absolute and smoothed values); time period 1 January 2018–31 January 2020.
Atmosphere 16 00296 g002
Figure 3. Total real LTO aircraft emissions at LKPR in 2020 of (a) NOX; (b) CO; (c) HC; (d) CO2; (e) H2O and (f) SO2.
Figure 3. Total real LTO aircraft emissions at LKPR in 2020 of (a) NOX; (b) CO; (c) HC; (d) CO2; (e) H2O and (f) SO2.
Atmosphere 16 00296 g003
Figure 4. Evolution of monthly mean real LTO aircraft emissions at LKPR in 2020 of (a) CO2 and H2O; (b) HC and SO2; (c) NOX and CO.
Figure 4. Evolution of monthly mean real LTO aircraft emissions at LKPR in 2020 of (a) CO2 and H2O; (b) HC and SO2; (c) NOX and CO.
Atmosphere 16 00296 g004
Figure 5. (a) Estimated monthly business-as-usual numbers of aircraft movements and real monthly numbers of aircraft movements according to A-SMGCS and EUROCONTROL [43] at LKPR in 2020. (b) Real monthly numbers of aircraft movements according to EUROCONTROL [43] at LKPR in 2018 and 2019.
Figure 5. (a) Estimated monthly business-as-usual numbers of aircraft movements and real monthly numbers of aircraft movements according to A-SMGCS and EUROCONTROL [43] at LKPR in 2020. (b) Real monthly numbers of aircraft movements according to EUROCONTROL [43] at LKPR in 2018 and 2019.
Atmosphere 16 00296 g005
Figure 6. Estimated weekly business-as-usual numbers of aircraft movements and weekly real numbers of aircraft movements at LKPR in 2018, 2019 and 2020 (according to A-SMGCS and EUROCONTROL [43]) (weeks 1–16).
Figure 6. Estimated weekly business-as-usual numbers of aircraft movements and weekly real numbers of aircraft movements at LKPR in 2018, 2019 and 2020 (according to A-SMGCS and EUROCONTROL [43]) (weeks 1–16).
Atmosphere 16 00296 g006
Figure 7. Comparison between the numbers of daily aircraft movements and total daily LTO aircraft emissions of (a) CO2 and H2O; (b) HC and SO2; (c) NOX and CO.
Figure 7. Comparison between the numbers of daily aircraft movements and total daily LTO aircraft emissions of (a) CO2 and H2O; (b) HC and SO2; (c) NOX and CO.
Atmosphere 16 00296 g007
Figure 8. Total estimated business-as-usual LTO aircraft emissions at LKPR in 2020 of (a) NOX; (b) CO; (c) HC; (d) CO2; (e) H2O and (f) SO2.
Figure 8. Total estimated business-as-usual LTO aircraft emissions at LKPR in 2020 of (a) NOX; (b) CO; (c) HC; (d) CO2; (e) H2O and (f) SO2.
Atmosphere 16 00296 g008
Figure 9. Evolution of monthly mean estimated business-as-usual LTO aircraft emissions at LKPR in 2020 of (a) CO2 and H2O; (b) HC and SO2; (c) NOX and CO.
Figure 9. Evolution of monthly mean estimated business-as-usual LTO aircraft emissions at LKPR in 2020 of (a) CO2 and H2O; (b) HC and SO2; (c) NOX and CO.
Atmosphere 16 00296 g009
Figure 10. Monthly standard deviations including mean values per emission species: (a) CO2 and H2O; (b) HC and SO2; (c) NOX and CO.
Figure 10. Monthly standard deviations including mean values per emission species: (a) CO2 and H2O; (b) HC and SO2; (c) NOX and CO.
Atmosphere 16 00296 g010
Figure 11. Cumulative real and estimated business-as-usual (BAU) LTO aircraft emissions at LKPR in 2020 of (a) NOX; (b) CO; (c) HC; (d) CO2; (e) H2O and (f) SO2.
Figure 11. Cumulative real and estimated business-as-usual (BAU) LTO aircraft emissions at LKPR in 2020 of (a) NOX; (b) CO; (c) HC; (d) CO2; (e) H2O and (f) SO2.
Atmosphere 16 00296 g011
Table 1. Time-in-mode (TIM) values used in this study for each LTO operating mode per aircraft engine type.
Table 1. Time-in-mode (TIM) values used in this study for each LTO operating mode per aircraft engine type.
Operating ModeTake-OffClimb-OutApproachIdle
TIM—jet engines (s) [46]42132240Individual *
TIM—piston engines (s) [48]18150180Individual *
TIM—turboprop engines (s) [49]30150270Individual *
* Specific TIM values according to the provided A-SMGCS data.
Table 2. Time series model coefficients for estimating business-as-usual traffic at LKPR in 2020.
Table 2. Time series model coefficients for estimating business-as-usual traffic at LKPR in 2020.
Coefficientc1c2c3c4c5
Value90.5400.017−1.993399.4410.020
Table 3. Emission factors for the individual emission species used for the calculations of business-as-usual emissions, including the corresponding R squared values and standard deviations of residuals.
Table 3. Emission factors for the individual emission species used for the calculations of business-as-usual emissions, including the corresponding R squared values and standard deviations of residuals.
Emission SpeciesEmission Factor (kg/Movement)R SquaredStandard Deviation of Residuals (kg)
NOX4.5570.97282.766
CO1.9960.95941.886
HC0.2840.9048.293
CO2915.1370.97715,129.007
H2O357.4530.9775909.393
SO20.2440.9774.036
Table 4. Total real LTO aircraft emissions per emission species at LKPR in 2020.
Table 4. Total real LTO aircraft emissions per emission species at LKPR in 2020.
Emission SpeciesMedian Total Emissions (t)Mean Total Emissions (t)Standard Deviation (t)Minimal Estimated Emissions (t)Maximal Estimated Emissions (t)
NOX220.859220.8590.058220.634221.082
CO101.364101.3640.008101.331101.392
HC15.02515.0250.00115.02215.027
CO244,039.46844,039.4897.74444,009.14244,068.070
H2O17,201.82517,201.8333.02517,189.97917,212.997
SO211.74811.7480.00211.73911.755
Table 5. Monthly mean real LTO aircraft emissions per emission species at LKPR in 2020.
Table 5. Monthly mean real LTO aircraft emissions per emission species at LKPR in 2020.
MonthNOX (t)CO (t)HC (t)CO2 (t)H2O (t)SO2 (t)
January48.40720.9142.7409800.6383828.1312.614
February43.98818.3812.5298806.7663439.9252.349
March27.57011.3221.6805423.9172118.5831.447
April5.4862.6810.332956.784373.7200.255
May5.2712.8890.446991.463387.2660.264
June5.6883.9850.6661207.929471.8170.322
July15.8377.7691.2673240.6611265.8030.864
August20.3159.2121.4664003.2001563.6511.068
September18.2218.1191.2053605.6751408.3770.962
October12.1555.7921.0162405.038939.4080.642
November8.0354.6960.8001604.330626.6520.428
December9.8865.6030.8781993.089778.5010.532
Table 6. Estimated monthly business-as-usual numbers of aircraft movements at LKPR in 2020.
Table 6. Estimated monthly business-as-usual numbers of aircraft movements at LKPR in 2020.
MonthMeanStandard DeviationMinimumMaximum
January10,148.518239.986921310,963
February9524.345234.229852010,407
March10,906.389240.100983711,836
April11,767.439239.39710,90112,618
May13,608.483237.54212,70814,576
June14,394.637235.91413,56015,267
July15,620.164236.60314,55016,549
August15,658.646239.31014,68016,642
September14,493.842237.36813,64115,442
October13,763.777236.74912,85414,646
November11,958.632236.20711,04012,773
December11,126.063238.80710,14712,108
Table 7. Total estimated business-as-usual LTO aircraft emissions per emission species at LKPR in 2020.
Table 7. Total estimated business-as-usual LTO aircraft emissions per emission species at LKPR in 2020.
Emission SpeciesMedian Total Emissions (t)Mean Total Emissions (t)Standard Deviation (t)Minimal Estimated Emissions (t)Maximal Estimated Emissions (t)
NOX697.177697.1144.065682.315711.368
CO305.362305.3391.827298.687312.957
HC43.41343.4120.28442.42844.495
CO2139,996.746139,991.440809.761137,147.855143,114.935
H2O54,678.22454,678.449315.65353,551.17755,909.668
SO237.34237.3420.21536.61938.174
Table 8. Monthly mean estimated business-as-usual LTO aircraft emissions per emission species at LKPR in 2020.
Table 8. Monthly mean estimated business-as-usual LTO aircraft emissions per emission species at LKPR in 2020.
MonthNOX (t)CO (t)HC (t)CO2 (t)H2O (t)SO2 (t)
January46.24420.2552.8819286.8403626.8212.477
February43.40719.0132.7028716.9443404.4622.325
March49.70021.7693.0959980.2283897.9522.662
April53.63023.4933.33910,767.8044206.3812.873
May62.01527.1623.86212,454.9914864.2803.322
June65.59928.7314.08613,173.1885145.1163.514
July71.18531.1784.43314,293.7545583.4373.813
August71.35831.2544.44414,330.5715597.0583.822
September66.04728.9284.11313,264.9485181.0473.538
October62.72527.4743.90612,595.6214920.1033.360
November54.50323.8723.39310,943.0974274.5502.919
December50.70122.2093.15810,183.4543977.2412.716
Table 9. Comparison between the total real and estimated business-as-usual LTO aircraft emissions per emission species at LKPR in 2020.
Table 9. Comparison between the total real and estimated business-as-usual LTO aircraft emissions per emission species at LKPR in 2020.
Emission SpeciesDifference in Mean Total Emissions (t)Difference in Median Total Emissions (t)Minimal Difference (t)Minimal Change (%)Maximal Difference (t)Maximal Change (%)
NOX−476.255−476.317−461.233−67.598−490.734−68.985
CO−203.975−203.998−197.294−66.054−211.626−67.621
HC−28.387−28.388−27.401−64.582−29.472−66.238
CO2−95,951.950−95,957.278−93,079.785−67.868−99,105.793−69.249
H2O−37,476.616−37,476.400−36,338.181−67.857−38,719.689−69.254
SO2−25.594−25.595−24.864−67.898−26.434−69.247
Table 10. Absolute differences between the monthly mean real and estimated business-as-usual LTO aircraft emissions per emission species at LKPR in 2020.
Table 10. Absolute differences between the monthly mean real and estimated business-as-usual LTO aircraft emissions per emission species at LKPR in 2020.
MonthNOX (t)CO (t)HC (t)CO2 (t)H2O (t)SO2 (t)
January2.1630.659−0.141513.798201.3100.137
February0.581−0.632−0.17389.82335.4630.024
March−22.130−10.447−1.415−4556.311−1779.369−1.215
April−48.144−20.812−3.008−9811.021−3832.661−2.618
May−56.744−24.273−3.416−11,463.528−4477.015−3.058
June−59.910−24.745−3.419−11,965.259−4673.299−3.192
July−55.348−23.409−3.166−11,053.094−4317.634−2.948
August−51.043−22.042−2.978−10,327.371−4033.407−2.754
September−47.826−20.809−2.908−9659.273−3772.670−2.576
October−50.570−21.682−2.890−10,190.583−3980.694−2.718
November−46.468−19.176−2.593−9338.766−3647.898−2.491
December−40.816−16.606−2.280−8190.365−3198.740−2.184
Table 11. Relative percentage differences between the monthly mean real and estimated business-as-usual LTO aircraft emissions per emission species at LKPR in 2020.
Table 11. Relative percentage differences between the monthly mean real and estimated business-as-usual LTO aircraft emissions per emission species at LKPR in 2020.
MonthNOX (%)CO (%)HC (%)CO2 (%)H2O (%)SO2 (%)
January4.6763.252−4.8855.5335.5515.532
February1.337−3.322−6.4011.0301.0421.021
March−44.526−47.991−45.722−45.653−45.649−45.653
April−89.771−88.586−90.066−91.114−91.115−91.116
May−91.501−89.364−88.450−92.040−92.039−92.039
June−91.328−86.128−83.697−90.830−90.830−90.831
July−77.753−75.082−71.411−77.328−77.329−77.328
August−71.531−70.526−67.012−72.065−72.063−72.062
September−72.412−71.933−70.711−72.818−72.817−72.814
October−80.622−78.919−73.994−80.906−80.907−80.904
November−85.257−80.327−76.422−85.339−85.340−85.341
December−80.502−74.771−72.206−80.428−80.426−80.425
Disclaimer/Publisher’s Note: The statements, opinions and data contained in all publications are solely those of the individual author(s) and contributor(s) and not of MDPI and/or the editor(s). MDPI and/or the editor(s) disclaim responsibility for any injury to people or property resulting from any ideas, methods, instructions or products referred to in the content.

Share and Cite

MDPI and ACS Style

Stloukal, B.; Hospodka, J.; Nagy, I. Effect of COVID-19 Pandemic on Aircraft Emissions at Václav Havel Airport Prague in 2020. Atmosphere 2025, 16, 296. https://doi.org/10.3390/atmos16030296

AMA Style

Stloukal B, Hospodka J, Nagy I. Effect of COVID-19 Pandemic on Aircraft Emissions at Václav Havel Airport Prague in 2020. Atmosphere. 2025; 16(3):296. https://doi.org/10.3390/atmos16030296

Chicago/Turabian Style

Stloukal, Bo, Jakub Hospodka, and Ivan Nagy. 2025. "Effect of COVID-19 Pandemic on Aircraft Emissions at Václav Havel Airport Prague in 2020" Atmosphere 16, no. 3: 296. https://doi.org/10.3390/atmos16030296

APA Style

Stloukal, B., Hospodka, J., & Nagy, I. (2025). Effect of COVID-19 Pandemic on Aircraft Emissions at Václav Havel Airport Prague in 2020. Atmosphere, 16(3), 296. https://doi.org/10.3390/atmos16030296

Note that from the first issue of 2016, this journal uses article numbers instead of page numbers. See further details here.

Article Metrics

Back to TopTop