The Impact of Air Pollutant Exposure on Diabetes Hospital Admissions in a City in Xinjiang
Abstract
1. Introduction
2. Materials and Methods
2.1. Resident Health Data
2.2. Atmospheric Pollutant Data
2.3. Meteorological Data
2.4. Research Methods
2.4.1. Processing of Missing Data
2.4.2. The Definition Range of the Analysis Time
2.4.3. Subgroup Population and Season Division
2.5. Statistical Analysis
2.5.1. Descriptive Analysis
2.5.2. Correlation Analysis
2.5.3. Establishment and Analysis of the Statistical Model
2.5.4. Statistical Software
3. Results
3.1. General Characteristics
3.1.1. Air Pollutants and Meteorological Data
3.1.2. Daily Hospitalization of Diabetic Patients
3.2. Correlation Analysis
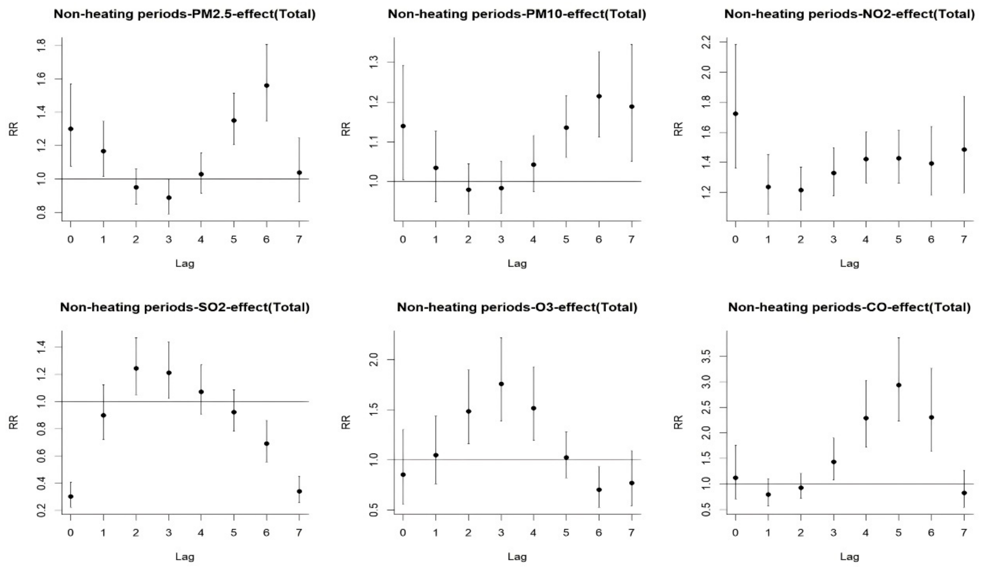
3.3. Analysis of the Exposure–Hysteresis–Effect Relationship
3.4. Subgroup Analysis
3.4.1. Effects of Air Pollutants on Daily Hospitalization of T2DM Patients of Different Genders and Ages
All-Day Period
The 9 AM to 9 PM Period
3.4.2. Effect of Pollutants on Daily Hospitalization of T2DM Patients During the Heating Season and Non-Heating Season
All-Day Period
The 9 AM to 9 PM Period
4. Discussion
4.1. The Effects of Different Air Pollutants on the Daily Hospitalization of T2DM Patients
4.2. Subgroup Discussion
4.3. Effects of Whole-Day and 9 AM to 9 PM Periods on Daily Hospitalizations in T2DM Patients
4.4. Mechanistic Link Between NO2 and Diabetes Pathophysiology
4.5. Innovation and Limitations
5. Conclusions
- Both air pollutant concentrations and meteorological factors display seasonal and regular fluctuations, showing positive U-shaped or inverted U-shaped changes, especially in heating and non-heating seasons.
- Exposure to NO2, SO2, O3, and CO increases the risk of hospitalization for diabetes mellitus.
- Women and people over 65 years of age with diabetes are more susceptible to exposure to NO2 and CO, leading to an increased risk of hospitalization.
- The effect of the NO2 trend change on the daily hospitalization rate of diabetic patients exhibited the biggest difference between the whole day and the 9 AM to 9 PM period. At the same time, the other pollutants showed no significant change trend.
Author Contributions
Funding
Institutional Review Board Statement
Informed Consent Statement
Data Availability Statement
Conflicts of Interest
Nomenclature
| Symbol/Term | Full Name/Definition |
| Air Pollutants | |
| PM2.5 | particulate matter ≤2.5 μm: fine inhalable particles with a diameter of 2.5 μm or smaller. |
| PM10 | particulate matter ≤10 μm: coarse inhalable particles with a diameter of 10 μm or smaller. |
| NO2 | nitrogen dioxide: a gaseous pollutant primarily emitted from combustion processes. |
| SO2 | sulfur dioxide: a gas produced by fossil fuel combustion and industrial processes. |
| O3-8 h | ozone maximum daily 8-hour average: average ozone concentration over an 8-h period. |
| CO | carbon monoxide: a colorless, odorless gas produced by incomplete combustion of carbon-containing fuels. |
| Statistical Terms | |
| RR | relative risk: the ratio of the probability of an outcome in an exposed group versus a non-exposed group. |
| 95% CI | 95% confidence interval: a range of values indicating the precision of the effect estimate. |
| p-value | probability value: a measure of statistical significance (e.g., p < 0.05 indicates significance). |
| IQR (P25–P75) | interquartile range: the range between the 25th and 75th percentiles of a dataset. |
| Lag (e.g., lag0) | time delay (in days): the interval between pollutant exposure and health outcome measurement. |
| DLNM | distributed lag non-linear model: a statistical model analyzing delayed and nonlinear effects of exposures. |
| Medical Terms | |
| T2DM | type 2 diabetes mellitus: a chronic metabolic disorder characterized by insulin resistance. |
| ICD-10 | International Classification of Diseases, 10th Revision: a coding system for diseases and health conditions. |
| Other Key Terms | |
| Heating Season | period with centralized heating (15 October–15 April in Xinjiang, China). |
| Non-Heating Season | period without centralized heating (16 April–14 October in Xinjiang, China). |
References
- Chen, Z.; Zhao, Z.; Deng, C.; Li, N. Association between air pollution and type 2 diabetes mellitus in developing countries: A systematic review and meta-analysis. Chin. Med. Sci. J. 2022, 37, 218–228. [Google Scholar] [CrossRef] [PubMed]
- GBD 2019 Risk Factors Collaborators; Ärnlöv, J. Global burden of 87 risk factors in 204 countries and territories, 1990–2019: A systematic analysis for the Global Burden of Disease Study 2019. Lancet 2020, 396, 1223–1249. [Google Scholar] [CrossRef]
- Cesaroni, G.; Forastiere, F.; Stafoggia, M.; Andersen, Z.J.; Badaloni, C.; Beelen, R.; Caracciolo, B.; de Faire, U.; Erbel, R.; Eriksen, K.T.; et al. Long term exposure to ambient air pollution and incidence of acute coronary events: Prospective cohort study and meta-analysis in 11 European cohorts from the ESCAPE Project. BMJ 2014, 348, f7412. [Google Scholar] [CrossRef] [PubMed]
- Beelen, R.; Raaschou-Nielsen, O.; Stafoggia, M.; Andersen, Z.J.; Weinmayr, G.; Hoffmann, B.; Wolf, K.; Samoli, E.; Fischer, P.; Nieuwenhuijsen, M.; et al. Effects of long-term exposure to air pollution on natural-cause mortality: An analysis of 22 European cohorts within the multicentre ESCAPE project. Lancet 2014, 383, 785–795. [Google Scholar] [CrossRef]
- Yu, H.; Feng, L.; Hou, C.; Zeng, Q.; Wang, F.; Zhao, Y.; Wang, Y.; Zhang, X.; Zhang, J. The Relationship Between Air Quality Improvement and the Onset of Type 2 Diabetes Mellitus: A Prospective Cohort Study. J. Public Health Prev. Med. 2020, 11–15. Available online: https://pesquisa.bvsalud.org/portal/resource/pt/wpr-820928 (accessed on 1 December 2024).
- Ruiz, D.; Becerra, M.; Jagai, J.S.; Ard, K.; Sargis, R.M. Disparities in environmental exposures to endocrine-disrupting chemicals and diabetes risk in vulnerable populations. Diabetes Care 2018, 41, 193–205. [Google Scholar] [CrossRef]
- International Diabetes Federation. IDF Diabetes Atlas Atias 10th Edition 2021. [EB/OL]. Available online: https://diabetesatlas.org/atlas/tenth-edition/ (accessed on 1 December 2024).
- International Diabetes Federation. IDF Diabetes Atlas, 9th ed. Brussels, Belgium: 2019. [EB/OL]. Available online: https://diabetesatlas.org/atlas/ninth-edition/ (accessed on 1 December 2024).
- Xu, Y.; Wang, L.; He, J.; Bi, Y.; Li, M.; Wang, T.; Wang, L.; Jiang, Y.; Dai, M.; Lu, J.; et al. Prevalence and control of diabetes in Chinese adults. JAMA 2013, 310, 948–959. [Google Scholar] [CrossRef]
- China CDC. Chinese Cause-of-Death Surveillance Dataset 2016[M]. Beijing Science and Technology Press of China, 2017. Available online: https://ncncd.chinacdc.cn/jcysj/siyinjcx/syfxbg/202403/t20240327_275142.htm (accessed on 1 December 2024).
- Hvidtfeldt, U.A.; Sørensen, M.; Geels, C.; Ketzel, M.; Khan, J.; Tjønneland, A.; Overvad, K.; Brandt, J.; Raaschou-Nielsen, O. Long-term residential exposure to PM2.5, PM10, black carbon, NO2, and ozone and mortality in a Danish cohort. Environ. Int. 2019, 123, 265–272. [Google Scholar] [CrossRef]
- Paoin, K.; Ueda, K.; Vathesatogkit, P.; Ingviya, T.; Buya, S.; Phosri, A.; Seposo, X.T.; Thongmung, N.; Yingchoncharoen, T.; Honda, A.; et al. Long-term air pollution exposure and serum lipids and blood sugar: A longitudinal cohort study from the electricity generating authority of Thailand study. Atmos. Environ. 2021, 259, 118515. [Google Scholar] [CrossRef]
- Yang, Y.; Guo, Y.; Qian, Z.; Ruan, Z.; Zheng, Y.; Woodward, A.; Ai, S.; Howard, S.W.; Vaughn, M.G.; Ma, W.; et al. Ambient fine particulate pollution associated with diabetes mellitus among the elderly aged 50 years and older in China. Environ. Pollut. 2018, 243, 815–823. [Google Scholar] [CrossRef]
- Orioli, R.; Cremona, G.; Ciancarella, L.; Solimini, A.G. Association between PM10, PM2.5, NO2, O3 and self-reported diabetes in Italy: A cross-sectional, ecological study. PLoS ONE 2018, 13, e0191112. [Google Scholar] [CrossRef]
- Curto, A.; Ranzani, O.; Milà, C.; Sanchez, M.; Marshall, J.D.; Kulkarni, B.; Bhogadi, S.; Kinra, S.; Wellenius, G.A.; Tonne, C. Lack of association between particulate air pollution and blood glucose levels and diabetic status in peri-urban India. Environ. Int. 2019, 131, 105033. [Google Scholar] [CrossRef] [PubMed]
- Renzi, M.; Cerza, F.; Gariazzo, C.; Agabiti, N.; Cascini, S.; Di Domenicantonio, R.; Davoli, M.; Forastiere, F.; Cesaroni, G. Air pollution and occurrence of type 2 diabetes in a large cohort study. Environ. Int. 2018, 112, 68–76. [Google Scholar] [CrossRef] [PubMed]
- Park, S.K.; Adar, S.D.; O'Neill, M.S.; Auchincloss, A.H.; Szpiro, A.; Bertoni, A.G.; Navas-Acien, A.; Kaufman, J.D.; Diez-Roux, A.V. Long-term exposure to air pollution and type 2 diabetes mellitus in a multiethnic cohort. Am. J. Epidemiol. 2015, 181, 327–336. [Google Scholar] [CrossRef] [PubMed]
- Puett, R.C.; Hart, J.E.; Schwartz, J.; Hu, F.B.; Liese, A.D.; Laden, F. Are particulate matter exposures associated with risk of type 2 diabetes? Environ. Health Perspect. 2011, 119, 384–389. [Google Scholar] [CrossRef] [PubMed]
- Zhai, T.; Zhang, Y.; Wan, Q.; Chai, P.P.; Wei, Q.; Wang, C.C.; Guo, F.; Zhao, Y. New System of Health Accounts Introduction of System of Health Accounts 2011. Chin. Health Econ. 2013, 1, 15–17. Available online: https://kns.cnki.net/kcms2/article/abstract?v=AGqaFAGiW5_PUv_V5XUtkiMnXYAa4cnxzQfxNThLYbHlIZ4y0V3bG6ic-FjgY3luw8tPS3qHRyXKA4GLx3S_l2tYt64ArMXOSfDEOcSh2J7Nly44GrotrL2GzbDctZFY-IVP5nolh1Xnur1-fQ3O04n1SN9w-CPOMXTMR0BF8X-ubl-KhFCKm0Ge6DQv8Mdt&uniplatform=NZKPT&language=CHS (accessed on 1 December 2024).
- World Health Organization. International Statistical Classification of Diseases and Related Health Problems, 10th revision, 5th ed.; World Health Organization: Geneva, Switzerland, 2016; Available online: https://iris.who.int/handle/10665/246208 (accessed on 1 December 2024).
- Bergen, S.; Sheppard, L.; Kaufman, J.D.; Szpiro, A.A. Multipollutant measurement error in air pollution epidemiology studies arising from predicting exposures with penalized regression splines. J. R. Stat. Soc. Ser. C Appl. Stat. 2016, 65, 731–753. [Google Scholar] [CrossRef]
- Qiu, C.C.; Yu, X.N.; Ding, C.; Shi, Z.; Zhang, R.F.; Hou, S.Y.; Hou, X.H. Diurnal Variations and Source Apportionment of Water-soluble Ions in PM2.5 During Winter in Nanjing Jiangbei New Area. Huan Jing Ke Xue= Huanjing Kexue 2020, 41, 529–536. [Google Scholar] [CrossRef]
- Wang, H.; Wang, H.; Lu, X.; Lu, K.; Zhang, L.; Tham, Y.J.; Shi, Z.; Aikin, K.; Fan, S.; Brown, S.S.; et al. Increased night-time oxidation over China despite widespread decrease across the globe. Nat. Geosci. 2023, 16, 217–223. [Google Scholar] [CrossRef]
- Mi, X. Relationship Between Exposure to Ultra-Fine Particulate Matter and Nitrogen Dioxide and Incidence of Hypertension and Diabetes. Chin. J. Prev. Med. 2019, 53, 9. Available online: https://rs.yiigle.com/CN112150201901/1090296.htm (accessed on 1 December 2024).
- Hansen, A.B.; Ravnskjær, L.; Loft, S.; Andersen, K.K.; Bräuner, E.V.; Baastrup, R.; Yao, C.; Ketzel, M.; Becker, T.; Brandt, J.; et al. Long-term exposure to fine particulate matter and incidence of diabetes in the Danish Nurse Cohort. Environ. Int. 2016, 91, 243–250. [Google Scholar] [CrossRef] [PubMed]
- Lee, M.; Ohde, S. PM2.5 and diabetes in the Japanese population. Int. J. Environ. Res. Public Health 2021, 18, 6653. [Google Scholar] [CrossRef] [PubMed]
- Li, R.; Cai, M.; Qian, Z.; Wang, X.; Zhang, Z.; Wang, C.; Wang, Y.; Arnold, L.D.; Howard, S.W.; Li, H.; et al. Ambient air pollution, lifestyle, and genetic predisposition associated with type 2 diabetes: Findings from a national prospective cohort study. Sci. Total Environ. 2022, 849, 157838. [Google Scholar] [CrossRef] [PubMed]
- Zhang, W.; Zhang, R.; Tian, T.; Liu, T.; Dong, J.; Ruan, Y. Acute effects of air pollution on type II diabetes mellitus hospitalization in Lanzhou, China. Environ. Geochem. Health 2023, 45, 5927–5941. [Google Scholar] [CrossRef] [PubMed]
- Liu, C.; Yang, C.; Zhao, Y.; Ma, Z.; Bi, J.; Liu, Y.; Meng, X.; Wang, Y.; Cai, J.; Kan, H.; et al. Associations between long-term exposure to ambient particulate air pollution and type 2 diabetes prevalence, blood glucose and glycosylated hemoglobin levels in China. Environ. Int. 2016, 92, 416–421. [Google Scholar] [CrossRef]
- Liu, F.; Guo, Y.; Liu, Y.; Chen, G.; Wang, Y.; Xue, X.; Liu, S.; Huo, W.; Mao, Z.; Hou, Y.; et al. Associations of long-term exposure to PM10, PM2.5, NO2 with type 2 diabetes mellitus prevalence and fasting blood glucose levels in Chinese rural populations. Environ. Int. 2019, 133, 105213. [Google Scholar] [CrossRef]
- Wu, C.; Yan, Y.; Chen, X.; Gong, J.; Guo, Y.; Zhao, Y.; Yang, N.; Dai, J.; Zhang, F.; Xiang, H. Short-term exposure to ambient air pollution and type 2 diabetes mortality: A population-based time series study. Environ. Pollut. 2021, 289, 117886. [Google Scholar] [CrossRef]
- Du, N.; Ji, A.-L.; Liu, X.-L.; Tan, C.-L.; Huang, X.-L.; Xiao, H.; Zhou, Y.-M.; Tang, E.-J.; Hu, Y.-G.; Yao, T.; et al. Association between short-term ambient nitrogen dioxide and type 2 diabetes outpatient visits: A large hospital-based study. Environ. Res. 2022, 215, 114395. [Google Scholar] [CrossRef]
- Xu, R.; Zhao, Q.; Coelho, M.S.; Saldiva, P.H.; Zoungas, S.; Huxley, R.R.; Abramson, M.J.; Guo, Y.; Li, S. Association between heat exposure and hospitalization for diabetes in Brazil during 2000–2015: A nationwide case-crossover study. Environ. Health Perspect. 2019, 127, 117005. [Google Scholar] [CrossRef]
- Weinmayr, G.; Hennig, F.; Fuks, K.; Nonnemacher, M.; Jakobs, H.; Möhlenkamp, S.; Erbel, R.; Jöckel, K.H.; Hoffmann, B.; Moebus, S.; et al. Long-term exposure to fine particulate matter and incidence of type 2 diabetes mellitus in a cohort study: Effects of total and traffic-specific air pollution. Environ. Health 2015, 14, 53. [Google Scholar] [CrossRef]
- Kahar, K.; Sulistyorini, L.; Keman, S. Nitrogen Dioxide Concentrations in the Air in Increasing Superoxide Dismutase Enzyme and Malondialdehyde Serum Levels in Bus Terminal Officers. J. Kesehat. Lingkung. 2021, 13, 166–173. Available online: http://repo.poltekkesbandung.ac.id/id/eprint/2856 (accessed on 10 December 2024). [CrossRef]
- Kodavanti, U.P. Air pollution and insulin resistance: Do all roads lead to Rome? Diabetes 2015, 64, 712–714. [Google Scholar] [CrossRef] [PubMed]
- Xu, M.-X.; Zhu, Y.-F.; Chang, H.-F.; Liang, Y. Nanoceria restrains PM2.5-induced metabolic disorder and hypothalamus inflammation by inhibition of astrocytes activation related NF-κB pathway in Nrf2 deficient mice. Free Radic. Biol. Med. 2016, 99, 259–272. [Google Scholar] [CrossRef] [PubMed]
- Escribano, O.; Beneit, N.; Rubio-Longás, C.; López-Pastor, A.R.; Gómez-Hernández, A. The role of insulin receptor isoforms in diabetes and its metabolic and vascular complications. J. Diabetes Res. 2017, 2017, 1403206. [Google Scholar] [CrossRef]
- Ruiz, L.; Gurlo, T.; Ravier, M.A.; Wojtusciszyn, A.; Mathieu, J.; Brown, M.R.; Broca, C.; Bertrand, G.; Butler, P.C.; Matveyenko, A.V.; et al. Proteasomal degradation of the histone acetyl transferase p300 contributes to beta-cell injury in a diabetes environment. Cell Death Dis. 2018, 9, 600. [Google Scholar] [CrossRef]
- Wolf, K.; Popp, A.; Schneider, A.; Breitner, S.; Hampel, R.; Rathmann, W.; Herder, C.; Roden, M.; Koenig, W.; Meisinger, C.; et al. Association between long-term exposure to air pollution and biomarkers related to insulin resistance, subclinical inflammation, and adipokines. Diabetes 2016, 65, 3314–3326. [Google Scholar] [CrossRef]








| Pollutants and Meteorology | Period | Med | Min | Max | P25–P75 | Season (Mean) | |
|---|---|---|---|---|---|---|---|
| Non-Heating | Heating | ||||||
| PM2.5 (μg/m3) | 9 AM to 9 PM | 19.73 | 5.23 | 304.15 | 12.85–55.27 | 15.41 | 66.15 |
| All day | 20.21 | 6.79 | 320.67 | 13.49–55.94 | 16.01 | 66.81 | |
| PM10 (μg/m3) | 9 AM to 9 PM | 51.96 | 8.69 | 672.85 | 34.37–92.87 | 50.52 | 95.16 |
| All day | 56.5 | 10.41 | 488.08 | 38.80–91.45 | 54.99 | 95.64 | |
| NO2 (μg/m3) | 9 AM to 9 PM | 22.08 | 3.62 | 80.08 | 15.15–42.52 | 16.57 | 42.70 |
| All day | 30.08 | 6.83 | 84.25 | 21.06–46.31 | 23.07 | 46.25 | |
| SO2 (μg/m3) | 9 AM to 9 PM | 7.15 | 3.58 | 17.55 | 6.08–8.48 | 7.48 | 7.47 |
| All day | 6.79 | 3.70 | 14.63 | 5.88–7.96 | 7.11 | 7.01 | |
| O3-8 h (μg/m3) | 9 AM to 9 PM | 75.58 | 20.23 | 139.50 | 45.54–102.37 | 98.21 | 50.20 |
| All day | 65.21 | 17.88 | 134.13 | 38.29–84.49 | 82.11 | 43.19 | |
| CO (mg/m3) | 9 AM to 9 PM | 0.54 | 0.23 | 2.40 | 0.40–0.99 | 0.43 | 1.08 |
| All day | 0.55 | 0.24 | 2.50 | 0.42–1.01 | 0.44 | 1.10 | |
| Average temperature (°C) | 9 AM to 9 PM | 10.65 | −23.16 | 33.50 | −3.75–21.97 | 20.52 | −3.06 |
| All day | 10.66 | −22.18 | 32.31 | −3.55–21.78 | 20.45 | −2.87 | |
| Average air pressure (Pa) | 9 AM to 9 PM | 102,026 | 99,562 | 105,700 | 100,981–103,059 | 101,087 | 103,035 |
| All day | 102,048 | 99,655 | 105,686 | 101,002–103,040 | 101,112 | 103,047 | |
| Average wind speed (m/s) | 9 AM to 9 PM | 2.00 | 0.52 | 8.00 | 1.59–2.40 | 2.37 | 1.69 |
| All day | 2.00 | 0.88 | 8.25 | 1.63–2.38 | 2.38 | 1.79 | |
| Period 9 AM to 9 PM (n = 730) | All-Day (n = 730) | p | |
|---|---|---|---|
| PM2.5 (μg/m3) | 40.57 ± 44.01 | 41.21 ± 44.29 | 0.009 * |
| PM10 (μg/m3) | 72.65 ± 59.31 | 75.15 ± 58.31 | 0.000 * |
| NO2 (μg/m3) | 29.53 ± 18.71 | 34.57 ± 18.06 | 0.000 * |
| SO2 (μg/m3) | 7.48 ± 2.08 | 7.06 ± 1.70 | 0.000 * |
| O3-8 h (μg/m3) | 74.41 ± 31.40 | 62.81 ± 25.84 | 0.000 * |
| CO (mg/m3) | 0.75 ± 0.48 | 0.77 ± 0.49 | 0.000 * |
| Average temperature (°C) | 8.83 ± 14.16 | 8.89 ± 13.97 | 0.000 * |
| Average air pressure (Pa) | 102,053.37± 1311.31 | 102,071.30 ± 1294.23 | 0.000 * |
| Average wind speed (m/s) | 2.03 ± 0.76 | 2.09 ± 0.69 | 0.000 * |
| Variables | Total | Mean ± Standard Deviation | Med | Maximum Daily Admissions | P25–P75 | Season (Mean) | |
|---|---|---|---|---|---|---|---|
| Mid-April–Mid-October | Mid-October–Mid-April | ||||||
| Total | 38,590 | 52.86 ± 35.23 | 52 | 152 | 24.00–80.00 | 52.26 | 53.47 |
| Sex | |||||||
| male | 22,091 | 30.26 ± 20.13 | 30 | 105 | 14.00–45.00 | 29.40 | 31.14 |
| female | 16,499 | 22.60 ± 16.24 | 21 | 72 | 9.00–35.00 | 22.87 | 22.33 |
| Age | |||||||
| ≤65 | 25,212 | 34.54 ± 23.12 | 34 | 96 | 15.00–53.00 | 33.24 | 35.86 |
| >65 | 13,378 | 18.33 ± 13.31 | 17 | 70 | 7.00–28.00 | 19.02 | 17.62 |
| Days of Lag | PM2.5 (μg/m3) | PM10 (μg/m3) | NO2 (μg/m3) | SO2 (μg/m3) | O3-8 h (μg/m3) | CO (mg/m3) | |
|---|---|---|---|---|---|---|---|
| Sex | |||||||
| Male | lag0 | 1.06 (0.91, 1.24) | 1.16 (1.05, 1.28) | 1.06 (0.92, 1.22) | 0.84 (0.64, 1.11) | 0.69 (0.57, 0.84) | 0.92 (0.71, 1.20) |
| lag1 | 1.01 (0.91, 1.13) | 1.03 (0.96, 1.10) | 0.99 (0.89, 1.11) | 1.79 (1.44, 2.24) | 1.08 (0.94, 1.25) | 0.83 (0.67, 1.01) | |
| lag2 | 0.98 (0.91, 1.07) | 0.99 (0.94, 1.05) | 1.00 (0.92, 1.08) | 1.70 (1.44, 1.99) | 1.25 (1.12, 1.39) | 0.87 (0.74, 1.01) | |
| lag3 | 1.01 (0.92, 1.08) | 1.00 (0.95, 1.05) | 1.05 (0.97, 1.14) | 1.28 (1.08, 1.51) | 1.18 (1.06, 1.31) | 1.01 (0.87, 1.18) | |
| lag4 | 1.04 (0.96, 1.12) | 1.01 (0.96, 1.07) | 1.13 (1.04, 1.22) | 1.08 (0.92, 1.28) | 1.01 (0.90, 1.12) | 1.23 (1.05, 1.44) | |
| lag5 | 1.08 (1.00, 1.17) | 1.02 (0.97, 1.07) | 1.20 (1.11, 1.30) | 1.15 (0.98, 1.35) | 0.86 (0.77, 0.95) | 1.42 (1.22, 1.65) | |
| lag6 | 1.04 (0.94, 1.16) | 1.00 (0.93, 1.07) | 1.22 (1.09, 1.35) | 1.35 (1.08, 1.68) | 0.80 (0.69, 0.92) | 1.41 (1.15, 1.72) | |
| lag7 | 0.85 (0.74, 0.98) | 0.96 (0.87, 1.06) | 1.13 (0.99, 1.30) | 1.20 (0.90, 1.60) | 0.89 (0.74, 1.07) | 1.07 (0.83, 1.39) | |
| Female | lag0 | 0.99 (0.85, 1.15) | 0.97 (0.87, 1.09) | 1.19 (1.01, 1.40) | 0.72 (0.53, 0.99) | 0.88 (0.70, 1.11) | 0.85 (0.63, 1.15) |
| lag1 | 0.99 (0.89, 1.12) | 1.05 (0.97, 1.14) | 1.26 (1.11, 1.44) | 1.55 (1.20, 1.99) | 1.28 (1.08, 1.52) | 1.02 (0.80, 1.28) | |
| lag2 | 0.99 (0.91, 1.08) | 1.03 (0.97, 1.09) | 1.24 (1.13, 1.36) | 1.52 (1.26, 1.83) | 1.22 (1.07, 1.38) | 1.16 (0.97, 1.38) | |
| lag3 | 1.01 (0.93, 1.1) | 0.99 (0.93, 1.05) | 1.19 (1.09, 1.31) | 1.19 (0.98, 1.43) | 1.04 (0.92, 1.19) | 1.25 (1.05, 1.50) | |
| lag4 | 1.03 (0.95, 1.13) | 0.98 (0.92, 1.04) | 1.17 (1.06, 1.28) | 1.01 (0.84, 1.22) | 0.96 (0.85, 1.10) | 1.29 (1.08, 1.55) | |
| lag5 | 1.05 (0.96, 1.14) | 0.99 (0.93, 1.06) | 1.18 (1.07, 1.29) | 1.02 (0.85, 1.22) | 0.98 (0.87, 1.11) | 1.28 (1.08, 1.53) | |
| lag6 | 1.01 (0.9, 1.14) | 1.01 (0.93, 1.09) | 1.19 (1.05, 1.35) | 1.02 (0.79, 1.31) | 0.98 (0.82, 1.16) | 1.25 (1.00, 1.57) | |
| lag7 | 0.87 (0.74, 1.02) | 0.95 (0.85, 1.06) | 1.14 (0.97, 1.34) | 0.68 (0.49, 0.94) | 0.73 (0.58, 0.90) | 1.23 (0.91, 1.66) | |
| Age | |||||||
| ≤65 | lag0 | 0.94 (0.81, 1.09) | 1.08 (0.99, 1.18) | 1.17 (1.03, 1.34) | 0.87 (0.67, 1.12) | 0.79 (0.66, 0.94) | 0.94 (0.74, 1.21) |
| lag1 | 0.98 (0.89, 1.09) | 1.02 (0.95, 1.09) | 1.07 (0.96, 1.18) | 1.83 (1.49, 2.25) | 1.09 (0.95, 1.24) | 0.83 (0.68, 1.01) | |
| lag2 | 1.01 (0.93, 1.08) | 1.01 (0.96, 1.06) | 1.06 (0.98, 1.14) | 1.67 (1.44, 1.95) | 1.22 (1.10, 1.34) | 0.91 (0.79, 1.05) | |
| lag3 | 1.02 (0.94, 1.10) | 1.02 (0.97, 1.07) | 1.11 (1.02, 1.19) | 1.23 (1.05, 1.43) | 1.17 (1.06, 1.29) | 1.09 (0.94, 1.26) | |
| lag4 | 1.05 (0.97, 1.13) | 1.03 (0.98, 1.08) | 1.16 (1.07, 1.25) | 1.03 (0.89, 1.20) | 1.03 (0.93, 1.14) | 1.28 (1.11, 1.49) | |
| lag5 | 1.06 (0.99, 1.15) | 1.03 (0.98, 1.08) | 1.18 (1.11, 1.28) | 1.10 (0.95, 1.28) | 0.89 (0.81, 0.98) | 1.39 (1.20, 1.61) | |
| lag6 | 1.02 (0.93, 1.13) | 1.02 (0.95, 1.09) | 1.19 (1.08, 1.32) | 1.27 (1.03, 1.56) | 0.81 (0.71, 0.93) | 1.35 (1.12, 1.63) | |
| lag7 | 0.86 (0.75, 0.99) | 0.99 (0.90, 1.08) | 1.15 (1.01, 1.31) | 1.02 (0.78, 1.33) | 0.84 (0.71, 1.00) | 1.19 (0.93, 1.52) | |
| >65 | lag0 | 1.06 (0.89, 1.26) | 1.06 (0.94, 1.20) | 1.01 (0.83, 1.20) | 0.66 (0.46, 0.94) | 0.73 (0.56, 0.94) | 0.78 (0.56, 1.10) |
| lag1 | 1.02 (0.90, 1.16) | 1.07 (0.98, 1.17) | 1.17 (1.02, 1.35) | 1.44 (1.08, 1.90) | 1.32 (1.09, 1.60) | 1.07 (0.83, 1.39) | |
| lag2 | 0.96 (0.87, 1.06) | 1.01 (0.94, 1.08) | 1.16 (1.05, 1.29) | 1.51 (1.23, 1.86) | 1.27 (1.10, 1.46) | 1.14 (0.94, 1.39) | |
| lag3 | 0.95 (0.86, 1.04) | 0.96 (0.90, 1.03) | 1.12 (1.01, 1.24) | 1.25 (1.01, 1.55) | 1.03 (0.89, 1.19) | 1.15 (0.94, 1.40) | |
| lag4 | 0.98 (0.89, 1.08) | 0.95 (0.88, 1.01) | 1.12 (1.01, 1.24) | 1.08 (0.88, 1.34) | 0.91 (0.78, 1.05) | 1.20 (0.99, 1.47) | |
| lag5 | 1.04 (0.95, 1.15) | 0.97 (0.90, 1.03) | 1.18 (1.06, 1.31) | 1.07 (0.87, 1.31) | 0.94 (0.82, 1.08) | 1.30 (1.07, 1.58) | |
| lag6 | 1.03 (0.90, 1.17) | 0.98 (0.90, 1.07) | 1.23 (1.07, 1.41) | 1.07 (0.81, 1.41) | 0.99 (0.82, 1.20) | 1.33 (1.03, 1.71) | |
| lag7 | 0.83 (0.69, 0.98) | 0.91 (0.81, 1.03) | 1.11 (0.93, 1.33) | 0.80 (0.56, 1.15) | 0.76 (0.60, 0.97) | 1.05 (0.75, 1.46) | |
| Lag Days | PM2.5 (μg/m3) | PM10 (μg/m3) | NO2 (μg/m3) | SO2 (μg/m3) | O3-8 h (μg/m3) | CO (mg/m3) | |
|---|---|---|---|---|---|---|---|
| Sex | |||||||
| Male | lag0 | 1.03 (0.89, 1.19) | 1.13 (1.02, 1.24) | 1.14 (0.95, 1.37) | 0.81 (0.64, 1.02) | 0.75 (0.62, 0.91) | 0.85 (0.66, 1.09) |
| lag1 | 1.02 (0.92, 1.14) | 1.01 (0.95, 1.09) | 0.96 (0.83, 1.10) | 1.53 (1.26, 1.85) | 1.16 (1.01, 1.35) | 0.92 (0.75, 1.12) | |
| lag2 | 1.01 (0.92, 1.08) | 0.98 (0.93, 1.04) | 0.98 (0.89, 1.09) | 1.48 (1.29, 1.70) | 1.22 (1.09, 1.37) | 0.98 (0.85, 1.14) | |
| lag3 | 0.99 (0.92, 1.08) | 0.99 (0.94, 1.04) | 1.08 (0.97, 1.19) | 1.19 (1.03, 1.38) | 1.10 (0.98, 1.23) | 1.07 (0.92, 1.25) | |
| lag4 | 1.02 (0.95, 1.11) | 1.01 (0.95, 1.06) | 1.16 (1.05, 1.29) | 1.06 (0.92, 1.23) | 0.97 (0.87, 1.09) | 1.20 (1.02, 1.40) | |
| lag5 | 1.06 (0.98, 1.14) | 1.01 (0.95, 1.06) | 1.19 (1.07, 1.32) | 1.14 (0.99, 1.31) | 0.91 (0.82, 1.01) | 1.31 (1.12, 1.52) | |
| lag6 | 1.03 (0.93, 1.14) | 0.99 (0.92, 1.06) | 1.15 (1.01, 1.32) | 1.29 (1.06, 1.57) | 0.90 (0.78, 1.03) | 1.29 (1.06, 1.57) | |
| lag7 | 0.84 (0.73, 0.96) | 0.96 (0.87, 1.06) | 1.11 (0.92, 1.33) | 1.13 (0.88, 1.44) | 0.85 (0.71, 1.02) | 1.02 (0.80, 1.32) | |
| Female | lag0 | 1.05 (0.91, 1.22) | 0.95 (0.85, 1.06) | 1.22 (0.99, 1.51) | 0.77 (0.59, 1.01) | 0.90 (0.72, 1.13) | 0.98 (0.73, 1.32) |
| lag1 | 0.97 (0.87, 1.08) | 1.03 (0.95, 1.11) | 1.21 (1.03, 1.43) | 1.10 (0.89, 1.37) | 1.33 (1.11, 1.59) | 0.96 (0.76, 1.20) | |
| lag2 | 0.98 (0.90, 1.07) | 1.01 (0.95, 1.07) | 1.19 (1.06, 1.34) | 1.26 (1.07, 1.47) | 1.23 (1.07, 1.40) | 1.14 (0.96, 1.35) | |
| lag3 | 1.02 (0.94, 1.11) | 0.97 (0.91, 1.03) | 1.15 (1.02, 1.30) | 1.22 (1.03, 1.44) | 1.05 (0.92, 1.20) | 1.31 (1.10, 1.56) | |
| lag4 | 1.05 (0.97, 1.14) | 0.96 (0.90, 1.02) | 1.11 (0.98, 1.25) | 1.08 (0.92, 1.28) | 1.02 (0.87, 1.15) | 1.31 (1.10, 1.57) | |
| lag5 | 1.04 (0.96, 1.13) | 0.97 (0.91, 1.03) | 1.08 (0.96, 1.22) | 0.93 (0.79, 1.09) | 1.08 (0.95, 1.23) | 1.18 (0.99, 1.39) | |
| lag6 | 0.99 (0.88, 1.11) | 0.99 (0.91, 1.07) | 1.10 (0.94, 1.30) | 0.81 (0.65, 1.01) | 1.08 (0.92, 1.28) | 1.09 (0.87, 1.36) | |
| lag7 | 0.92 (0.79, 1.07) | 0.95 (0.85, 1.06) | 1.21 (0.98, 1.50) | 0.75 (0.57, 0.99) | 0.70 (0.56, 0.86) | 1.38 (1.04, 1.84) | |
| Age | |||||||
| ≤65 | lag0 | 0.97 (0.85, 1.12) | 1.07 (0.98, 1.17) | 1.23 (1.04, 1.47) | 0.83 (0.67, 1.04) | 0.84 (0.71, 1.02) | 0.96 (0.76, 1.22) |
| lag1 | 0.97 (0.88, 1.08) | 1.00 (0.94, 1.07) | 1.00 (0.88, 1.14) | 1.45 (1.21, 1.73) | 1.13 (0.99, 1.30) | 0.87 (0.73, 1.05) | |
| lag2 | 1.00 (0.92, 1.07) | 0.99 (0.94, 1.04) | 1.02 (0.93, 1.12) | 1.44 (1.26, 1.64) | 1.19 (1.07, 1.32) | 0.97 (0.85, 1.12) | |
| lag3 | 1.02 (0.95, 1.10) | 1.00 (0.96, 1.06) | 1.11 (1.01, 1.22) | 1.21 (1.05, 1.38) | 1.12 (1.01, 1.25) | 1.13 (0.98, 1.30) | |
| lag4 | 1.04 (0.97, 1.12) | 1.01 (0.96, 1.07) | 1.17 (1.06, 1.28) | 1.07 (0.93, 1.22) | 1.04 (0.93, 1.16) | 1.24 (1.07, 1.43) | |
| lag5 | 1.03 (0.96, 1.11) | 1.01 (0.96, 1.06) | 1.16 (1.05, 1.27) | 1.07 (0.94, 1.22) | 0.98 (0.88, 1.08) | 1.25 (1.09, 1.44) | |
| lag6 | 0.97 (0.88, 1.07) | 0.99 (0.93, 1.06) | 1.13 (0.99, 1.29) | 1.12 (0.94, 1.34) | 0.91 (0.80, 1.04) | 1.21 (1.01, 1.45) | |
| lag7 | 0.86 (0.76, 0.98) | 0.98 (0.89, 1.07) | 1.20 (1.01, 1.43) | 0.95 (0.76, 1.20) | 0.79 (0.67, 0.94) | 1.25 (0.99, 1.58) | |
| >65 | lag0 | 1.05 (0.89, 1.24) | 1.00 (0.88, 1.13) | 1.06 (0.84, 1.35) | 0.71 (0.53, 0.97) | 0.76 (0.59, 0.97) | 0.79 (0.58, 1.1) |
| lag1 | 1.02 (0.90, 1.16) | 1.06 (0.97, 1.16) | 1.18 (0.98, 1.41) | 1.12 (0.88, 1.43) | 1.45 (1.19, 1.77) | 1.07 (0.83, 1.37) | |
| lag2 | 0.97 (0.89, 1.07) | 1.01 (0.94, 1.07) | 1.16 (1.02, 1.32) | 1.27 (1.06, 1.52) | 1.30 (1.12, 1.51) | 1.20 (0.99, 1.45) | |
| lag3 | 0.96 (0.87, 1.05) | 0.94 (0.88, 1.01) | 1.11 (0.97, 1.27) | 1.20 (1.01, 1.45) | 0.99 (0.85, 1.15) | 1.24 (1.02, 1.51) | |
| lag4 | 0.99 (0.91, 1.09) | 0.93 (0.87, 0.99) | 1.09 (0.95, 1.24) | 1.08 (0.90, 1.30) | 0.88 (0.76, 1.03) | 1.25 (1.03, 1.52) | |
| lag5 | 1.05 (0.96, 1.15) | 0.96 (0.89, 1.02) | 1.11 (0.97, 1.26) | 0.98 (0.82, 1.17) | 0.98 (0.85, 1.13) | 1.25 (1.03, 1.51) | |
| lag6 | 1.04 (0.92, 1.18) | 0.98 (0.90, 1.08) | 1.13 (0.94, 1.35) | 0.94 (0.74, 1.19) | 1.10 (0.91, 1.32) | 1.19 (0.93, 1.52) | |
| lag7 | 0.85 (0.72, 1.01) | 0.91 (0.81, 1.03) | 1.08 (0.86, 1.37) | 0.93 (0.68, 1.26) | 0.76 (0.60, 0.97) | 1.02 (0.74, 1.40) | |
Disclaimer/Publisher’s Note: The statements, opinions and data contained in all publications are solely those of the individual author(s) and contributor(s) and not of MDPI and/or the editor(s). MDPI and/or the editor(s) disclaim responsibility for any injury to people or property resulting from any ideas, methods, instructions or products referred to in the content. |
© 2025 by the authors. Licensee MDPI, Basel, Switzerland. This article is an open access article distributed under the terms and conditions of the Creative Commons Attribution (CC BY) license (https://creativecommons.org/licenses/by/4.0/).
Share and Cite
Fu, Z.; Gong, H.; Hu, X.; Xie, Y.; Rui, D. The Impact of Air Pollutant Exposure on Diabetes Hospital Admissions in a City in Xinjiang. Atmosphere 2025, 16, 244. https://doi.org/10.3390/atmos16030244
Fu Z, Gong H, Hu X, Xie Y, Rui D. The Impact of Air Pollutant Exposure on Diabetes Hospital Admissions in a City in Xinjiang. Atmosphere. 2025; 16(3):244. https://doi.org/10.3390/atmos16030244
Chicago/Turabian StyleFu, Zhicong, Haoxuan Gong, Xiaopeng Hu, Yuting Xie, and Dongsheng Rui. 2025. "The Impact of Air Pollutant Exposure on Diabetes Hospital Admissions in a City in Xinjiang" Atmosphere 16, no. 3: 244. https://doi.org/10.3390/atmos16030244
APA StyleFu, Z., Gong, H., Hu, X., Xie, Y., & Rui, D. (2025). The Impact of Air Pollutant Exposure on Diabetes Hospital Admissions in a City in Xinjiang. Atmosphere, 16(3), 244. https://doi.org/10.3390/atmos16030244
