Volatile Organic Compounds in Early Childhood Education Facilities: Simultaneous Indoor and Outdoor Measurements in the Haifa Bay Area
Abstract
1. Introduction
2. Materials and Methods
2.1. Research Area
2.2. Air Sampling System
2.3. Analytical Methods
2.4. Air Exchange Rate (AER)
3. Results
3.1. Identification and Quantification of Compounds
3.2. Outdoor Environment
3.3. Indoor Environment
3.3.1. Indoor-to-Outdoor Concentration (I/O) Ratio
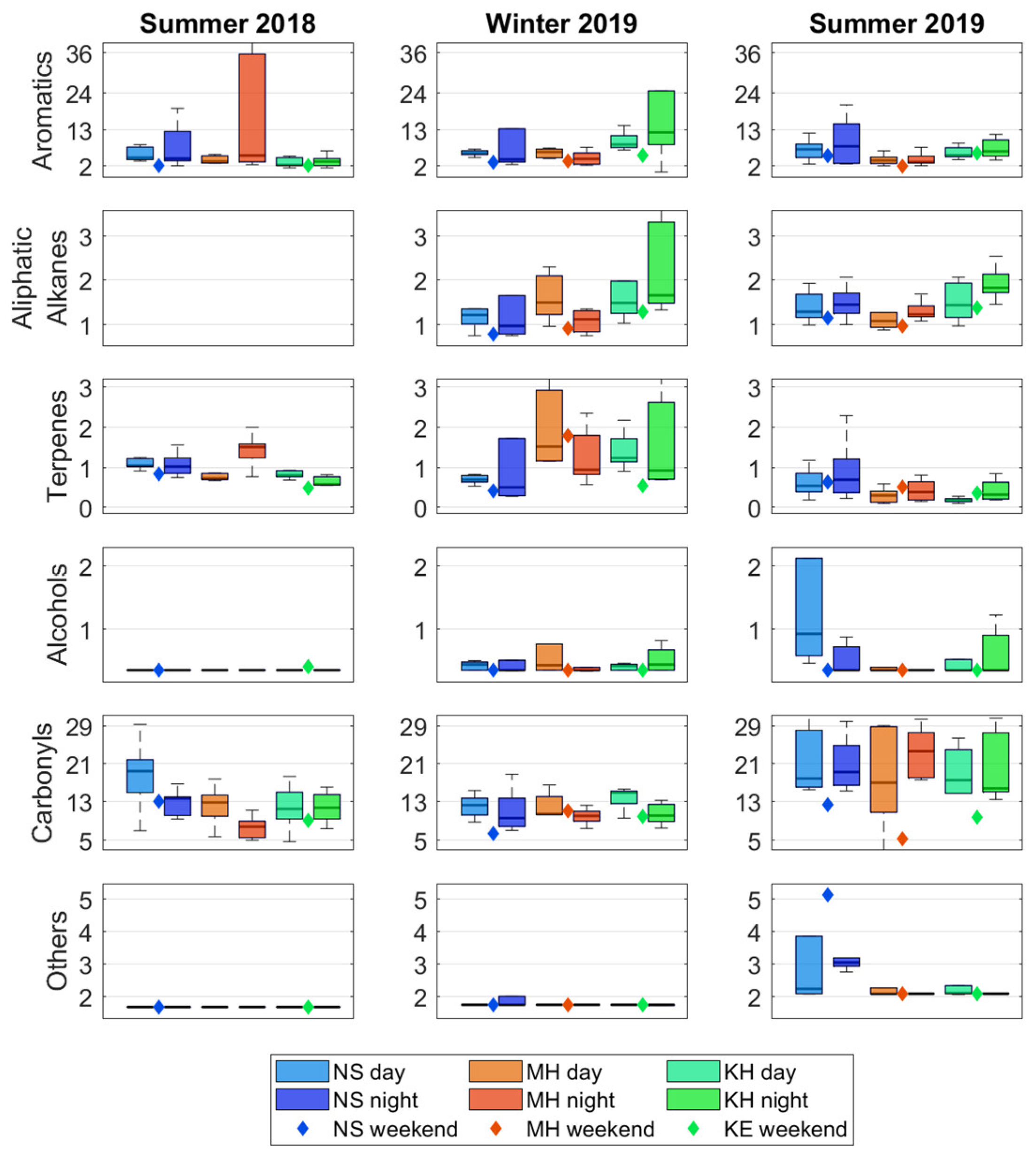
3.3.2. Spatial and Temporal Variations in Indoor Concentrations
3.4. Exposure Dose and Health Hazard Assessment
4. Conclusions
Supplementary Materials
Author Contributions
Funding
Institutional Review Board Statement
Informed Consent Statement
Data Availability Statement
Acknowledgments
Conflicts of Interest
References
- Ageel, H.K.; Harrad, S.; Abdallah, M.A.E. Occurrence, human exposure, and risk of microplastics in the indoor environment. Environ. Sci. Process. Impacts 2022, 24, 17–31. [Google Scholar] [CrossRef]
- Cetin, M.; Aisha, A.E.S.A. Variation of Al concentrations depending on the growing environment in some indoor plants that used in architectural designs. Environ. Sci. Pollut. Res. 2023, 30, 18748–18754. [Google Scholar] [CrossRef] [PubMed]
- Klepeis, N.E.; Nelson, W.C.; Ott, W.R.; Robinson, J.P.; Tsang, A.M.; Switzer, P.; Behar, J.V.; Hern, S.C.; Engelmann, W.H. The National Human Activity Pattern Survey (NHAPS): A resource for assessing exposure to environmental pollutants. J. Expo. Anal. Environ. Epidemiol. 2001, 11, 231–252. [Google Scholar] [CrossRef]
- Van Tran, V.; Park, D.; Lee, Y.C. Indoor air pollution, related human diseases, and recent trends in the control and improvement of indoor air quality. Int. J. Environ. Res. Public Health 2020, 17, 2927. [Google Scholar] [CrossRef]
- Haagen-Smit, A.J.; Bradley, C.E.; Fox, M.M. Ozone Formation in Photochemical Oxidation of Organic Substances. Ind. Eng. Chem. 1953, 45, 2086–2089. [Google Scholar] [CrossRef]
- Edwards, R.D.; Jurvwlin, J.; Koistinen, K.; Saarela, K.; Jantunen, M. VOC source identification from personal and residential indoor, outdoor and workplace microenvironment samples in EXPOLIS-Helsinki, Finland. Atmos. Environ. 2001, 35, 4829–4841. [Google Scholar] [CrossRef]
- Bradman, A.; Gaspar, F.; Castorina, R.; Williams, J.; Hoang, T.; Jenkins, P.L.; McKone, T.E.; Maddalena, R. Formaldehyde and acetaldehyde exposure and risk characterization in California early childhood education environments. Indoor Air 2016, 27, 104–113. [Google Scholar] [CrossRef] [PubMed]
- Cheng, M.; Galbally, I.E.; Molloy, S.B.; Selleck, P.W.; Keywood, M.D.; Lawson, S.J.; Powell, J.C.; Gillett, R.W.; Dunne, E. Factors controlling volatile organic compounds in dwellings in Melbourne, Australia. Indoor Air 2016, 26, 219–230. [Google Scholar] [CrossRef]
- Paciência, I.; Madureira, J.; Rufo, J.; Moreira, A.; Fernandes, E.d.O. A systematic review of evidence and implications of spatial and seasonal variations of volatile organic compounds (VOC) in indoor human environments. J. Toxicol. Environ. Health Part B Crit. Rev. 2016, 19, 47–64. [Google Scholar] [CrossRef]
- Dodson, R.E.; Udesky, J.O.; Colton, M.D.; McCauley, M.; Camann, D.E.; Yau, A.Y.; Adamkiewicz, G.; Rudel, R.A. Chemical exposures in recently renovated low-income housing: Influence of building materials and occupant activities. Environ. Int. 2017, 109, 114–127. [Google Scholar] [CrossRef]
- Goldizen, F.C.; Sly, P.D.; Knibbs, L.D. Respiratory effects of air pollution on children. Pediatr. Pulmonol. 2016, 51, 94–108. [Google Scholar] [CrossRef] [PubMed]
- Cakmak, S.; Dales, R.E.; Liu, L.; Kauri, L.M.; Lemieux, C.L.; Hebbern, C.; Zhu, J. Residential exposure to volatile organic compounds and lung function: Results from a population-based cross-sectional survey. Environ. Pollut. 2014, 194, 145–151. [Google Scholar] [CrossRef] [PubMed]
- Garrett, M.H.; Hooper, M.A.; Hooper, B.M.; Rayment, P.R.; Abramson, M.J. Increased risk of allergy in children due to formaldehyde exposure in homes. Allergy Eur. J. Allergy Clin. Immunol. 1999, 54, 330–337. [Google Scholar] [CrossRef] [PubMed]
- Landrigan, P.J.; Fuller, R.; Fisher, S.; Suk, W.A.; Sly, P.; Chiles, T.C.; Bose-O’Reilly, S. Pollution and children’s health. Sci. Total Environ. 2019, 650, 2389–2394. [Google Scholar] [CrossRef] [PubMed]
- Zheng, H.; Csemezová, J.; Loomans, M.; Walker, S.; Gauvin, F.; Zeiler, W. Species profile of volatile organic compounds emission and health risk assessment from typical indoor events in daycare centers. Sci. Total Environ. 2024, 918, 170734. [Google Scholar] [CrossRef] [PubMed]
- Etzel, R.A. The special vulnerability of children. Int. J. Hyg. Environ. Health 2020, 227, 113516. [Google Scholar] [CrossRef]
- Makri, A.; Stilianakis, N.I. Vulnerability to air pollution health effects. Int. J. Hyg. Environ. Health 2008, 211, 326–336. [Google Scholar] [CrossRef]
- Selevan, S.G.; Kimmel, C.A.; Mendola, P. Identifying critical windows of exposure for children’s health. Environ. Health Perspect. 2000, 108 (Suppl. S3), 451–455. [Google Scholar]
- Saadeh, R.; Klaunig, J. Child’s Development and Respiratory System Toxicity. J. Environ. Anal. Toxicol. 2014, 4, 5. [Google Scholar] [CrossRef]
- Zakaria, I.B.; Mahyuddin, N.; Mohd-Sahabuddin, M.F. Factors Influencing Indoor Air Pollution in Kindergarten: A Systematic Literature Review. J. Adv. Res. Appl. Sci. Eng. Technol. 2024, 256–277. [Google Scholar]
- Vardoulakis, S.; Giagloglou, E.; Steinle, S.; Davis, A.; Sleeuwenhoek, A.; Galea, K.S.; Dixon, K.; Crawford, J.O. Indoor exposure to selected air pollutants in the home environment: A systematic review. Int. J. Environ. Res. Public Health 2020, 17, 8972. [Google Scholar] [CrossRef]
- Abbatt, J.P.D.; Wang, C. The atmospheric chemistry of indoor environments. Environ. Sci. Process. Impacts 2019, 22, 25–48. [Google Scholar] [CrossRef]
- Xu, J.; Szyszkowicz, M.; Jovic, B.; Cakmak, S.; Austin, C.C.; Zhu, J. Estimation of indoor and outdoor ratios of selected volatile organic compounds in Canada. Atmos. Environ. 2016, 141, 523–531. [Google Scholar] [CrossRef]
- Portela, N.B.; Teixeira, E.C.; Agudelo-Castañeda, D.M.; da Silva Civeira, M.; Silva, L.F.; Vigo, A.; Kumar, P. Indoor-outdoor relationships of airborne nanoparticles, BC and VOCs at rural and urban preschools. Environ. Pollut. 2021, 268, 115751. [Google Scholar] [CrossRef]
- Pegas, P.N.; Alves, C.A.; Evtyugina, M.G.; Nunes, T.; Cerqueira, M.; Franchi, M.; Pio, C.A.; Almeida, S.M.; Verde, S.C.; Freitas, M.C. Seasonal evaluation of outdoor/indoor air quality in primary schools in Lisbon. J. Environ. Monit. 2011, 13, 657–667. [Google Scholar] [CrossRef]
- Hoang, T.; Castorina, R.; Gaspar, F.; Maddalena, R.; Jenkins, P.L.; Zhang, Q.; McKone, T.E.; Benfenati, E.; Shi, A.Y.; Bradman, A. VOC exposures in California early childhood education environments. Indoor Air 2016, 27, 609–621. [Google Scholar] [CrossRef] [PubMed]
- Vasile, V.; Catalina, T.; Dima, A.; Ion, M. Pollution Levels in Indoor School Environment—Case Studies. Atmosphere 2024, 15, 399. [Google Scholar] [CrossRef]
- Kruza, M.; Lewis, A.C.; Morrison, G.C.; Carslaw, N. Impact of surface ozone interactions on indoor air chemistry: A modeling study. Indoor Air 2017, 27, 1001–1011. [Google Scholar] [CrossRef]
- Weschler, C.J.; Wisthaler, A.; Cowlin, S.; Tamás, G.; Strøm-Tejsen, P.; Hodgson, A.T.; Destaillats, H.; Herrington, J.; Zhang, J. Ozone-initiated chemistry in an occupied simulated aircraft cabin. Environ. Sci. Technol. 2007, 41, 6177–6184. [Google Scholar] [CrossRef] [PubMed]
- EHF; MH—Environment and Health Fund, Ministry of Health. Environmental Health in Israel 2014; 2014. Available online: https://www.gov.il/en/pages/bsv-sviva2014h (accessed on 25 January 2024).
- Yuval; Broday, D.M. High-resolution spatial patterns of long-term mean concentrations of air pollutants in Haifa Bay area. Atmos. Environ. 2006, 40, 3653–3664. [Google Scholar] [CrossRef]
- Yuval; Tritscher, T.; Raz, R.; Levi, Y.; Levy, I.; Broday, D.M. Emissions vs. turbulence and atmospheric stability: A study of their relative importance in determining air pollutant concentrations. Sci. Total Environ. 2020, 733, 139300. [Google Scholar] [CrossRef] [PubMed]
- Pinthong, N.; Thepanondh, S.; Kondo, A. Source Identification of VOCs and their Environmental Health Risk in a Petrochemical Industrial Area. Aerosol Air Qual. Res. 2022, 22, 210064. [Google Scholar] [CrossRef]
- Uchiyama, S.; Noguchi, M.; Hishiki, M.; Shimizu, M.; Kunugita, N.; Isobe, T.; Nakayama, S.F. Long-term monitoring of indoor, outdoor, and personal exposure to gaseous chemical compounds. Sci. Total Environ. 2023, 906, 167830. [Google Scholar] [CrossRef]
- Rasmussen, R.A. What do the hydrocarbons from trees contribute to air pollution? J. Air Pollut. Control Assoc. 1972, 22, 537–543. [Google Scholar] [CrossRef]
- Kim, J.C.; Kim, K.J.; Kim, D.S.; Han, J.S. Seasonal variations of monoterpene emissions from coniferous trees of different ages in Korea. Chemosphere 2005, 59, 1685–1696. [Google Scholar] [CrossRef] [PubMed]
- Librando, V.; Tringali, G. Atmospheric fate of OH initiated oxidation of terpenes. Reaction mechanism of α-pinene degradation and secondary organic aerosol formation. J. Environ. Manag. 2005, 75, 275–282. [Google Scholar] [CrossRef] [PubMed]
- MoEP. Clean Air Law. 2008. Available online: https://www.gov.il/en/pages/clean_air_law_2008 (accessed on 24 December 2024).
- Kumar, A.; Singh, B.P.; Punia, M.; Singh, D.; Kumar, K.; Jain, V.K. Assessment of indoor air concentrations of VOCs and their associated health risks in the library of Jawaharlal Nehru University, New Delhi. Environ. Sci. Pollut. Res. 2014, 21, 2240–2248. [Google Scholar] [CrossRef]
- Vu, D.C.; Ho, T.L.; Vo, P.H.; Carlo, G.; McElroy, J.A.; Davis, A.N.; Nagel, S.C.; Lin, C.H. Determination of volatile organic compounds in child care centers by thermal desorption gas chromatography-mass spectrometry. Anal. Methods 2018, 10, 730–742. [Google Scholar] [CrossRef]
- Lucialli, P.; Marinello, S.; Pollini, E.; Scaringi, M.; Sajani, S.Z.; Marchesi, S.; Cori, L. Indoor and outdoor concentrations of benzene, toluene, ethylbenzene and xylene in some Italian schools evaluation of areas with different air pollution. Atmos. Pollut. Res. 2020, 11, 1998–2010. [Google Scholar] [CrossRef]
- Missia, D.A.; Demetriou, E.; Michael, N.; Tolis, E.I.; Bartzis, J.G. Indoor exposure from building materials: A field study. Atmos. Environ. 2010, 44, 4388–4395. [Google Scholar] [CrossRef]
- Yang, J.; Lei, G.; Liu, C.; Wu, Y.; Hu, K.; Zhu, J.; Bao, J.; Lin, W.; Jin, J. Characteristics of particulate-bound n-Alkanes indicating sources of PM2.5in Beijing, China. Atmos. Chem. Phys. 2023, 23, 3015–3029. [Google Scholar] [CrossRef]
- Milhem, S.A.; Verriele, M.; Nicolas, M.; Thevenet, F. Indoor use of essential oil-based cleaning products: Emission rate and indoor air quality impact assessment based on a realistic application methodology. Atmos. Environ. 2021, 246, 118060. [Google Scholar] [CrossRef]
- Harding-Smith, E.; Shaw, D.R.; Shaw, M.; Dillon, T.J.; Carslaw, N. Does green mean clean? Volatile organic emissions from regular versus green cleaning products. Environ. Sci. Process. Impacts 2024, 26, 436–450. [Google Scholar] [CrossRef] [PubMed]
- Maung, T.Z.; Bishop, J.E.; Holt, E.; Turner, A.M.; Pfrang, C. Indoor Air Pollution and the Health of Vulnerable Groups: A Systematic Review Focused on Particulate Matter (PM), Volatile Organic Compounds (VOCs) and Their Effects on Children and People with Pre-Existing Lung Disease. Int. J. Environ. Res. Public Health 2022, 19, 8752. [Google Scholar] [CrossRef]
- ATSDR. Public Health Assessment Guidance Manual; U.S. Department of Health and Human Services: Atlanta, GA, USA; Public Health Service: Atlanta, GA, USA; Agency for Toxic Substances and Disease Registry: Atlanta, GA, USA, 2005; pp. 1–357. [Google Scholar]
- OEHHA. Appendix B. In Acute, 8-Hour, and Chronic Reference Exposure Levels (RELs) Summary Table; Office of Environmental Health Hazard Assessment: Sacramento, CA, USA, 2013. Available online: https://oehha.ca.gov/air/general-info/oehha-acute-8-hour-and-chronic-reference-exposure-level-rel-summary (accessed on 17 July 2024).
- OEHHA. Proposition 65 Process for Developing Safe Harbor Numbers; Office of Environmental Health Hazard Assessment: Sacramento, CA, USA, 2001.
- EPA. Risk Assessment Guidance for Superfund: Volume III—Part A; U.S. Environmental Protection Agency: Washington, DC, USA, 2001.
- Bradman, A.; Castorina, R.; Gaspar, F.; Nishioka, M.; Colón, M.; Weathers, W.; Egeghy, P.P.; Maddalena, R.; Williams, J.; Jenkins, P.L.; et al. Flame retardant exposures in California early childhood education environments. Chemosphere 2014, 116, 61–66. [Google Scholar] [CrossRef] [PubMed]
- Bayati, M.; Vu, D.C.; Vo, P.H.; Rogers, E.; Park, J.; Ho, T.L.; Davis, A.N.; Gulseven, Z.; Carlo, G.; Palermo, F.; et al. Health risk assessment of volatile organic compounds at daycare facilities. Indoor Air 2021, 31, 977–988. [Google Scholar] [CrossRef] [PubMed]
- OEHHA. Technical Support Document for Cancer Potency Factors: Methodologies for Derivation, Listing of Available Values, and Adjustments to Allow for Early Life Stage Exposures; Office of Environmental Health Hazard Assessment: Sacramento, CA, USA, 2009.






| Indoor Concentration [μg m−3] | Outdoor Concentration [μg m−3] | |||||||||||
|---|---|---|---|---|---|---|---|---|---|---|---|---|
| Arithmetic Mean (stdv) | Median | Geometric Mean | Arithmetic Mean (stdv) | Median | Geometric Mean | |||||||
| Name (MDL [μg m−3]) | Day | Night | Day | Night | Day | Night | Day | Night | Day | Night | Day | Night |
| Aromatic hydrocarbons | ||||||||||||
| Toluene (0.120) | 8.58 (10.11) | 18.53 (18.38) | 4.88 | 12.64 | 5.58 | 12.31 | 2.31 (1.52) | 5.74 (12.50) | 1.86 | 1.98 | 1.89 | 2.43 |
| 2-EthylToluene (0.048) | 1.14 (3.92) | 0.74 (1.46) | 0.30 | 0.28 | 0.35 | 0.38 | 0.13 (0.07) | 0.15 (0.07) | 0.12 | 0.12 | 0.12 | 0.14 |
| Styrene (0.240) | 1.17 (1.96) | 1.93 (2.03) | 0.65 | 1.17 | 0.64 | 1.23 | 0.17 (0.00) | 0.21 (0.18) | 0.17 | 0.17 | 0.17 | 0.19 |
| m+p-Xylene (0.095) | 2.71 (3.34) | 4.31 (2.82) | 1.68 | 3.14 | 2.01 | 3.52 | 1.40 (0.83) | 1.80 (2.34) | 1.24 | 1.08 | 1.19 | 1.23 |
| o-Xylene (0.085) | 2.54 (4.25) | 5.23 (6.07) | 1.28 | 3.10 | 1.56 | 3.34 | 0.79 (0.82) | 1.00 (1.57) | 0.60 | 0.52 | 0.62 | 0.63 |
| Ethylbenzene (0.048) | 1.07 (0.78) | 1.83 (1.04) | 0.88 | 1.57 | 0.90 | 1.57 | 0.56 (0.31) | 0.67 (0.78) | 0.53 | 0.54 | 0.47 | 0.48 |
| Trimethylbenzene (0.500) | 1.89 (3.99) | 1.80 (2.59) | 0.78 | 0.87 | 0.93 | 1.06 | 0.49 (0.18) | 0.67 (0.69) | 0.45 | 0.35 | 0.46 | 0.49 |
| Naphthalene (0.071) | 0.29 (1.29) | 0.30 (1.28) | <MDL | <MDL | 0.08 | 0.09 | 0.08 (0.08) | 0.08 (0.03) | <MDL | <MDL | <MDL | <MDL |
| Aliphatic Alkanes | ||||||||||||
| Nonane (0.095) | 1.11 (1.55) | 1.31 (1.61) | 0.59 | 0.60 | 0.67 | 0.79 | 0.32 (0.17) | 0.37 (0.33) | 0.29 | 0.29 | 0.27 | 0.27 |
| Decane (0.480) | 3.45 (4.79) | 4.56 (4.44) | 1.63 | 2.33 | 2.05 | 3.12 | 0.75 (0.39) | 0.80 (0.41) | 0.63 | 0.80 | 0.67 | 0.71 |
| Undecane (0.480) | 2.36 (2.91) | 2.84 (2.90) | 1.08 | 1.29 | 1.30 | 1.77 | 0.37 (0.08) | 0.40 (0.22) | <MDL | <MDL | <MDL | <MDL |
| Terpenes | ||||||||||||
| α-Pinene (0.048) | 2.53 (1.53) | 7.06 (5.18) | 2.16 | 5.32 | 2.03 | 5.66 | 0.78 (0.63) | 0.86 (0.68) | 0.72 | 0.67 | 0.55 | 0.64 |
| β-Pinene (0.048) | 1.91 (3.54) | 1.18 (1.52) | 1.00 | 0.65 | 0.72 | 0.51 | 0.06 (0.05) | 0.07 (0.08) | 0.03 | 0.03 | 0.05 | 0.05 |
| Limonene (0.050) | 38.05 (69.49) | 19.44 (20.31) | 13.48 | 10.51 | 9.57 | 9.55 | 0.08 (0.14) | 0.11 (0.25) | <MDL | <MDL | 0.05 | 0.05 |
| Alcohols | ||||||||||||
| 1-Hexanol, 2-ethyl (0.240) | 3.12 (2.30) | 6.43 (5.45) | 2.82 | 4.65 | 2.17 | 4.38 | 0.20 (0.16) | 0.18 (0.04) | 0.17 | 0.17 | 0.18 | 0.18 |
| Ethanol, 2-butoxy (0.240) | 16.47 (53.54) | 19.71 (38.16) | 1.03 | 4.71 | 1.96 | 5.98 | 0.38 (0.74) | 0.23 (0.17) | 0.17 | 0.17 | 0.24 | 0.20 |
| Carbonyls | ||||||||||||
| Formaldehyde (0.400) | 14.97 (6.00) | 55.65 (28.78) | 14.55 | 60.54 | 13.87 | 46.82 | 3.55 (1.70) | 2.14 (1.15) | 3.13 | 2.09 | 3.15 | 1.76 |
| Acetaldehyde (0.200) | 12.21 (6.70) | 18.62 (9.51) | 10.95 | 16.63 | 10.60 | 16.40 | 2.13 (1.20) | 2.25 (1.60) | 2.12 | 2.21 | 1.62 | 1.55 |
| Nonanal (0.095) | 24.15 (14.99) | 39.39 (31.93) | 20.34 | 35.51 | 20.26 | 31.25 | 1.70 (1.67) | 1.43 (1.13) | 1.20 | 1.03 | 1.26 | 1.15 |
| Acetone (0.200) | 93.54 (324.70) | 65.18 (87.10) | 39.47 | 44.94 | 42.79 | 44.85 | 8.37 (4.07) | 8.12 (4.80) | 7.51 | 6.24 | 7.56 | 7.05 |
| Others | ||||||||||||
| Diethyl phthalate (0.095) | 0.60 (0.26) | 0.60 (0.31) | 0.57 | 0.49 | 0.55 | 0.52 | 0.07 (0.02) | 0.07 (0.01) | 0.07 | 0.07 | 0.07 | 0.07 |
| Methylene Chloride (0.480) | 0.60 (0.61) | 2.64 (2.32) | 0.34 | 2.31 | 0.46 | 1.57 | 0.48 (0.28) | 0.68 (0.52) | 0.34 | 0.34 | 0.43 | 0.54 |
| Cyclopentasiloxane (2.380) | 38.94 (66.93) | 17.01 (24.51) | 10.55 | 5.37 | 13.15 | 7.33 | 1.80 (0.89) | 1.70 (0.15) | 1.68 | 1.68 | 1.73 | 1.70 |
| Campaign | ECE | # Kids | Avg. Daytime AER [h−1] | AER Range [h−1] | Indoor CO2 [ppm] | Avg. Nighttime AER [h−1] | T [°C]/RH [%] |
|---|---|---|---|---|---|---|---|
| Summer 2018 | KH | 29 | 2.2 | 1.3–4.5 | 608–1366 | 0.83 | 24.6/47.7 |
| NS | 34 | 2.5 | 1.1–4.8 | 473–1724 | 0.63 | 27.0/42.6 | |
| MH | 30 | 7.4 | 2.8–11.8 | 410–982 | N/A | 24.0/65.3 | |
| Winter 2019 | KH | 31 | 6.3 | 1.3–12.9 | 435–1560 | N/A | 22.1/41.5 |
| NS | 32 | 4.4 | 1.0–9.0 | 480–1761 | 0.93 | 23.8/48.2 | |
| MH | 29 | 4.3 | 2.0–6.9 | 425–1599 | 0.67 | 20.0/41.0 | |
| Summer 2019 | KH | 31 | 1.7 | 0.8–4.8 | 470–2981 | 0.3 | 24.1/44.6 |
| NS | 31 | 1.2 | 0.6–2.5 | 593–3590 | N/A | 20.5/49.0 | |
| MH | 30 | 4.9 | 2.0–6.0 | 426–1362 | 2.2 | 24.6/60.0 |
| LADD 1 μg day−1 kg−1 | Exposure Dose 2 μg day−1 kg−1 | NSRL Child μg day−1 kg−1 | LADD/NSRLchild Ratio | |
|---|---|---|---|---|
| Acetaldehyde | 0.020 | 1.37 | 0.43 | 0.05 |
| Formaldehyde | 0.029 | 2.05 | 0.19 | 0.15 |
| Ethylbenzene | 0.002 | 0.14 | 0.26 | 0.01 |
| Naphthalene | 0.002 | 0.04 3 | 0.03 | 0.02 |
| Styrene | 0.002 | 0.14 | 0.13 | 0.02 |
| REL (A) | REL (8) | REL (C) | Measured Mean Value | Ratio (A) | Ratio (8) | Ratio (C) | |
|---|---|---|---|---|---|---|---|
| μg m−3 | μg m−3 | μg m−3 | μg m−3 | ||||
| Acetaldehyde | 470 | 300 | 140 | 10 | 0.02 | 0.03 | 0.07 |
| Formaldehyde | 55 | 9 | 9 | 15 | 0.27 | 1.67 | 1.67 |
| Ethylbenzene | 2000 | 1 | <0.01 | ||||
| Naphthalene | 9 | 0.3 | 0.03 | ||||
| Styrene | 21,000 | 900 | 1 | <0.01 | <0.01 | ||
| Toluene | 5000 | 830 | 420 | 8.6 | <0.01 | 0.01 | 0.02 |
| Xylene (m+p+o) | 22,000 | 700 | 3 | <0.01 | <0.01 | ||
| Methylene-chloride | 14,000 | 400 | 0.6 | <0.01 | <0.01 |
Disclaimer/Publisher’s Note: The statements, opinions and data contained in all publications are solely those of the individual author(s) and contributor(s) and not of MDPI and/or the editor(s). MDPI and/or the editor(s) disclaim responsibility for any injury to people or property resulting from any ideas, methods, instructions or products referred to in the content. |
© 2025 by the authors. Licensee MDPI, Basel, Switzerland. This article is an open access article distributed under the terms and conditions of the Creative Commons Attribution (CC BY) license (https://creativecommons.org/licenses/by/4.0/).
Share and Cite
Darzi, R.; Bareket, M.; Yuval; Dubowski, Y. Volatile Organic Compounds in Early Childhood Education Facilities: Simultaneous Indoor and Outdoor Measurements in the Haifa Bay Area. Atmosphere 2025, 16, 181. https://doi.org/10.3390/atmos16020181
Darzi R, Bareket M, Yuval, Dubowski Y. Volatile Organic Compounds in Early Childhood Education Facilities: Simultaneous Indoor and Outdoor Measurements in the Haifa Bay Area. Atmosphere. 2025; 16(2):181. https://doi.org/10.3390/atmos16020181
Chicago/Turabian StyleDarzi, Ran, Merav Bareket, Yuval, and Yael Dubowski. 2025. "Volatile Organic Compounds in Early Childhood Education Facilities: Simultaneous Indoor and Outdoor Measurements in the Haifa Bay Area" Atmosphere 16, no. 2: 181. https://doi.org/10.3390/atmos16020181
APA StyleDarzi, R., Bareket, M., Yuval, & Dubowski, Y. (2025). Volatile Organic Compounds in Early Childhood Education Facilities: Simultaneous Indoor and Outdoor Measurements in the Haifa Bay Area. Atmosphere, 16(2), 181. https://doi.org/10.3390/atmos16020181
