Numerical Investigation of Track and Intensity Evolution of Typhoon Doksuri (2023)
Abstract
1. Introduction
2. Model Configuration and Numerical Experiments
2.1. Model Settings
2.2. Sensitivity Experiments
3. Simulation Results of Sensitivity Experiments
3.1. Simulation Sensitivity to Cumulus Parameterization Schemes
3.2. Simulation Sensitivity to Cloud Microphysics Schemes
3.3. Simulated Precipitation
4. Analysis for Track Deflection
4.1. Circulation Structure
4.2. Dynamics of Track Evolution
4.3. Track Forecast without Terrain
5. Dynamics on Typhoon Intensity
5.1. Thermodynamic Conditions
5.2. Evolutions of Secondary Circulation
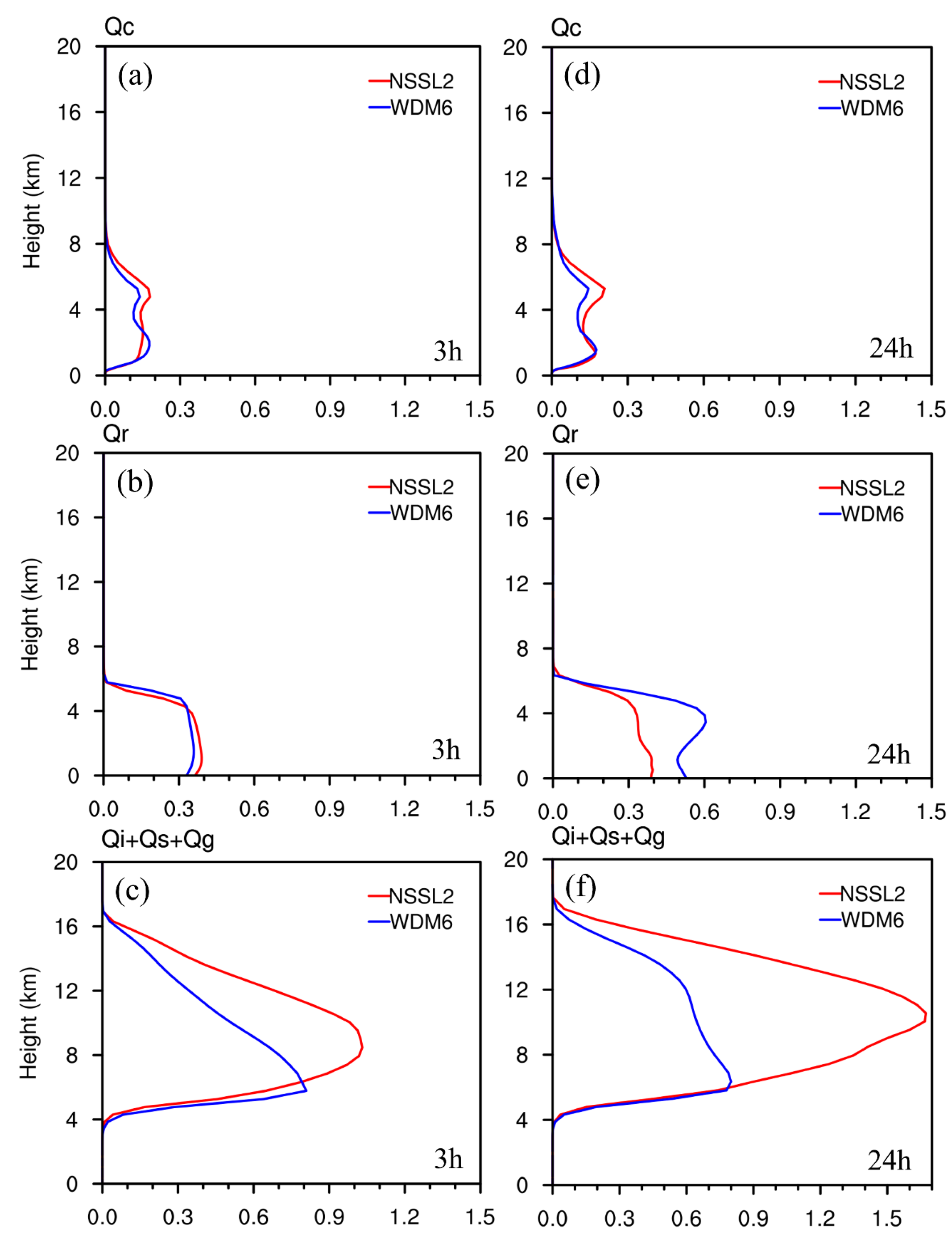
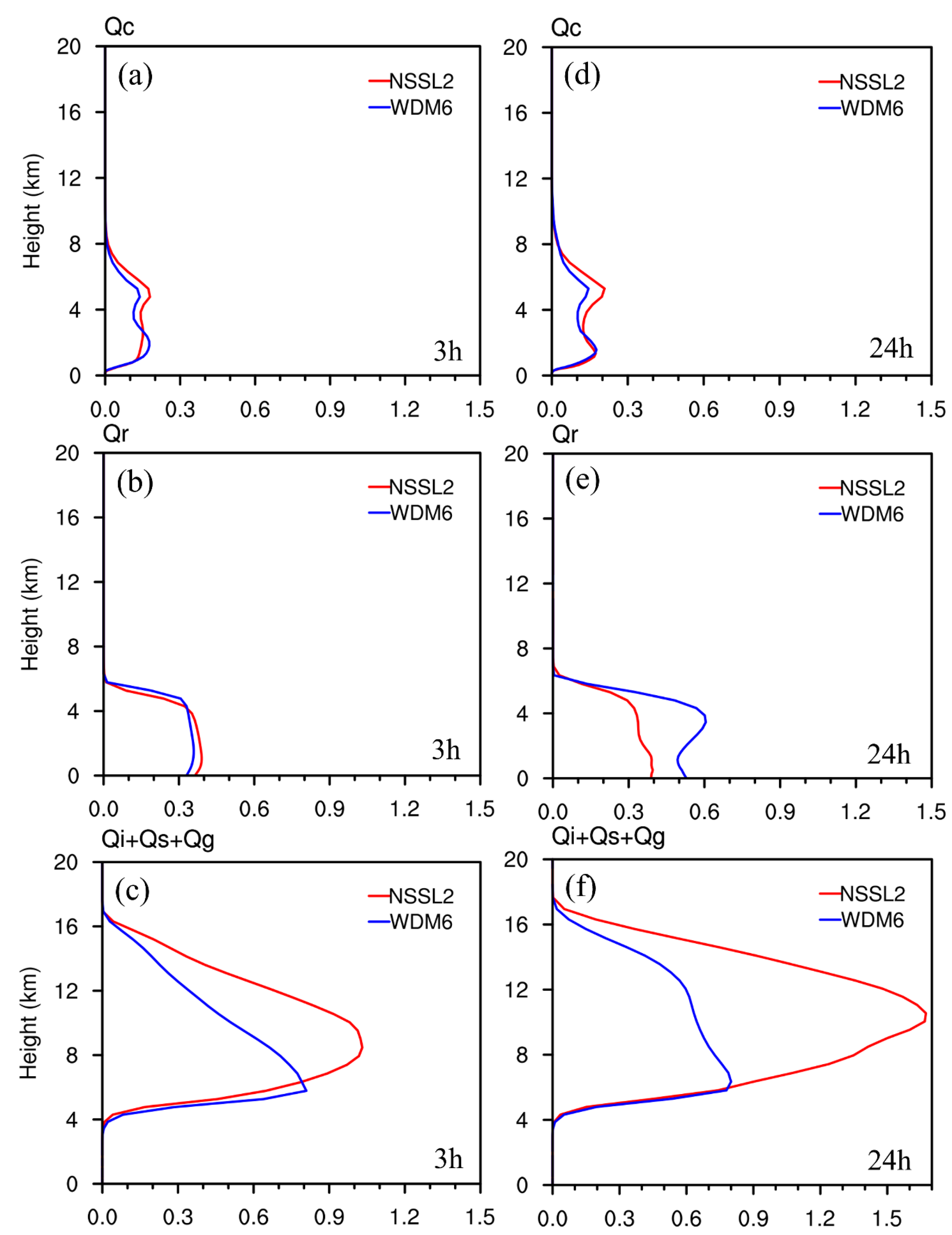
5.3. Cloud Microphysical Impacts
6. Conclusions
Author Contributions
Funding
Institutional Review Board Statement
Informed Consent Statement
Data Availability Statement
Acknowledgments
Conflicts of Interest
References
- Emanuel, K.; DesAutels, C.; Holloway, C.; Korty, R. Environmental Control of Tropical Cyclone Intensity. J. Atmos. Sci. 2004, 61, 843–858. [Google Scholar] [CrossRef]
- Cangialosi, J.P.; Blake, E.; DeMaria, M.; Penny, A.; Latto, A.; Rappaport, E.; Tallapragada, V. Recent progress in tropical cyclone intensity forecasting at the National Hurricane Center. Weather Forecast. 2020, 35, 1913–1922. [Google Scholar] [CrossRef]
- Gall, R.; Franklin, J.; Marks, F.; Rappaport, E.N.; Toepfer, F. The hurricane forecast improvement project. Bull. Am. Meteorol. Soc. 2013, 94, 329–343. [Google Scholar] [CrossRef]
- Jiang, G.Q.; Xu, J.; Wei, J. A deep learning algorithm of neural network for the parameterization of typhoon-ocean feedback in typhoon forecast models. Geophys. Res. Lett. 2018, 45, 3706–3716. [Google Scholar] [CrossRef]
- Knaff, J.A.; Sampson, C.R.; Strahl, B.R. A tropical cyclone rapid intensification prediction aid for the Joint Typhoon Warning Center’s areas of responsibility. Weather Forecast. 2020, 35, 1173–1185. [Google Scholar] [CrossRef]
- Shi, D.; Chen, G. The implication of outflow structure for the rapid intensification of tropical cyclones under vertical wind shear. Mon. Weather Rev. 2021, 149, 4107–4127. [Google Scholar] [CrossRef]
- Holliday, C.R.; Thompson, A.H. Climatological characteristics of rapidly intensifying typhoons. Mon. Weather Rev. 1979, 107, 1022–1034. [Google Scholar] [CrossRef]
- Kaplan, J.; DeMaria, M. Large-scale characteristics of rapidly intensifying tropical cyclones in the North Atlantic basin. Weather Forecast. 2003, 18, 1093–1108. [Google Scholar] [CrossRef]
- Li, X. Sensitivity of WRF simulated typhoon track and intensity over the Northwest Pacific Ocean to cumulus schemes. Sci. China Earth Sci. 2013, 56, 270–281. [Google Scholar] [CrossRef]
- Chen, S.; Qian, Y.-K.; Peng, S. Effects of various combinations of boundary layer schemes and microphysics schemes on the track forecasts of tropical cyclones over the South China Sea. Nat. Hazards 2015, 78, 61–74. [Google Scholar] [CrossRef]
- Islam, T.; Srivastava, P.K.; Rico-Ramirez, M.A.; Dai, Q.; Gupta, M.; Singh, S.K. Tracking a tropical cyclone through WRF–ARW simulation and sensitivity of model physics. Nat. Hazards 2015, 76, 1473–1495. [Google Scholar] [CrossRef]
- Chandrasekar, R.; Balaji, C. Sensitivity of tropical cyclone Jal simulations to physics parameterizations. J. Earth Syst. Sci. 2012, 121, 923–946. [Google Scholar] [CrossRef]
- Kanase, R.D.; Salvekar, P. Effect of physical parameterization schemes on track and intensity of cyclone LAILA using WRF model. Asia-Pac. J. Atmos. Sci. 2015, 51, 205–227. [Google Scholar] [CrossRef]
- Mandal, M.; Mohanty, U.C.; Raman, S. A study on the impact of parameterization of physical processes on prediction of tropical cyclones over the Bay of Bengal with NCAR/PSU mesoscale model. Nat. Hazards 2004, 31, 391–414. [Google Scholar] [CrossRef]
- Raju, P.; Potty, J.; Mohanty, U. Sensitivity of physical parameterizations on prediction of tropical cyclone Nargis over the Bay of Bengal using WRF model. Meteorol. Atmos. Phys. 2011, 113, 125–137. [Google Scholar] [CrossRef]
- Srinivas, C.; Venkatesan, R.; Bhaskar Rao, D.; Hari Prasad, D. Numerical simulation of Andhra severe cyclone (2003): Model sensitivity to the boundary layer and convection parameterization. Atmos. Ocean. Mesoscale Process 2007, 164, 1465–1487. [Google Scholar] [CrossRef]
- Chan, J.C. The physics of tropical cyclone motion. Annu. Rev. Fluid Mech. 2005, 37, 99–128. [Google Scholar] [CrossRef]
- Tang, C.K.; Chan, J.C. Idealized simulations of the effect of Taiwan and Philippines topographies on tropical cyclone tracks. Q. J. R. Meteorol. Soc. 2014, 140, 1578–1589. [Google Scholar] [CrossRef]
- Huang, C.-Y.; Chen, C.-A.; Chen, S.-H.; Nolan, D.S. On the upstream track deflection of tropical cyclones past a mountain range: Idealized experiments. J. Atmos. Sci. 2016, 73, 3157–3180. [Google Scholar] [CrossRef][Green Version]
- Li, D.Y.; Huang, C.Y. The influences of orography and ocean on track of Typhoon Megi (2016) past Taiwan as identified by HWRF. J. Geophys. Res. Atmos. 2018, 123, 11492–11517. [Google Scholar] [CrossRef]
- Huang, C.-Y.; Juan, T.-C.; Kuo, H.-C.; Chen, J.-H. Track deflection of Typhoon Maria (2018) during a westbound passage offshore of northern Taiwan: Topographic influence. Mon. Weather Rev. 2020, 148, 4519–4544. [Google Scholar] [CrossRef]
- Rostami, M.; Zeitlin, V. Evolution, propagation and interactions with topography of hurricane-like vortices in a moist-convective rotating shallow-water model. J. Fluid Mech. 2020, 902, A24. [Google Scholar] [CrossRef]
- Chang, S.W.; Madala, R.V. Numerical simulation of the influence of sea surface temperature on translating tropical cyclones. J. Atmos. Sci. 1980, 37, 2617–2630. [Google Scholar] [CrossRef][Green Version]
- Wu, L.; Wang, B.; Braun, S.A. Impacts of air–sea interaction on tropical cyclone track and intensity. Mon. Weather Rev. 2005, 133, 3299–3314. [Google Scholar] [CrossRef]
- Yun, K.-S.; Chan, J.C.; Ha, K.-J. Effects of SST magnitude and gradient on typhoon tracks around East Asia: Acase study for Typhoon Maemi (2003). Atmos. Res. 2012, 109, 36–51. [Google Scholar] [CrossRef]
- Sun, J.; Oey, L.-Y. The influence of the ocean on Typhoon Nuri (2008). Mon. Weather Rev. 2015, 143, 4493–4513. [Google Scholar] [CrossRef]
- Wu, L.; Wang, B. A potential vorticity tendency diagnostic approach for tropical cyclone motion. Mon. Weather Rev. 2000, 128, 1899–1911. [Google Scholar] [CrossRef]
- Hsu, L.-H.; Su, S.-H.; Fovell, R.G.; Kuo, H.-C. On typhoon track deflections near the east coast of Taiwan. Mon. Weather Rev. 2018, 146, 1495–1510. [Google Scholar] [CrossRef]
- Bui, H.H.; Smith, R.K.; Montgomery, M.T.; Peng, J. Balanced and unbalanced aspects of tropical cyclone intensification. Q. J. R. Meteorol. Soc. A J. Atmos. Sci. Appl. Meteorol. Phys. Oceanogr. 2009, 135, 1715–1731. [Google Scholar] [CrossRef]
- Heng, J.; Wang, Y.; Zhou, W. Revisiting the balanced and unbalanced aspects of tropical cyclone intensification. J. Atmos. Sci. 2017, 74, 2575–2591. [Google Scholar] [CrossRef]
- Montgomery, M.T.; Persing, J. Does balance dynamics well capture the secondary circulation and spinup of a simulated hurricane? J. Atmos. Sci. 2021, 78, 75–95. [Google Scholar] [CrossRef]
- Ji, D.; Qiao, F. Does extended Sawyer–Eliassen equation effectively capture the secondary circulation of a simulated tropical cyclone? J. Atmos. Sci. 2023, 80, 871–888. [Google Scholar] [CrossRef]
- Nguyen, T.-C.; Huang, C.-Y. Investigation on the Intensification of Supertyphoon Yutu (2018) Based on Symmetric Vortex Dynamics Using the Sawyer–Eliassen Equation. Atmosphere 2023, 14, 1683. [Google Scholar] [CrossRef]
- Montgomery, M.T.; Smith, R.K. Paradigms for tropical cyclone intensification. Aust. Meteorol. Oceanogr. J. 2014, 64, 37–66. [Google Scholar] [CrossRef]
- Skamarock, W.; Klemp, J.; Dudhia, J.; Gill, D.; Liu, Z.; Berner, J.; Wang, W.; Powers, J.; Duda, M.; Barker, D. A Description of the Advanced Research WRF Model Version 4.3; No. NCAR/TN556+ STR; NCAR: Boulder, CO, USA, 2021. [Google Scholar] [CrossRef]
- Sun, J.; He, H.; Hu, X.; Wang, D.; Gao, C.; Song, J. Numerical simulations of typhoon Hagupit (2008) using WRF. Weather Forecast. 2019, 34, 999–1015. [Google Scholar] [CrossRef]
- Park, J.; Moon, J.; Cho, W.; Cha, D.H.; Lee, M.I.; Chang, E.C.; Kim, J.; Park, S.H.; An, J. Sensitivity of Real-Time Forecast for Typhoons Around Korea to Cumulus and Cloud Microphysics Schemes. J. Geophys. Res. Atmos. 2023, 128, e2022JD036709. [Google Scholar] [CrossRef]
- Lin, Y.-L.; Farley, R.D.; Orville, H.D. Bulk parameterization of the snow field in a cloud model. J. Appl. Meteorol. Climatol. 1983, 22, 1065–1092. [Google Scholar] [CrossRef]
- Hong, S.-Y.; Dudhia, J.; Chen, S.-H. A revised approach to ice microphysical processes for the bulk parameterization of clouds and precipitation. Mon. Weather Rev. 2004, 132, 103–120. [Google Scholar] [CrossRef]
- Hong, S.-Y.; Lim, J.-O.J. The WRF single-moment 6-class microphysics scheme (WSM6). Asia-Pac. J. Atmos. Sci. 2006, 42, 129–151. [Google Scholar]
- Tao, W.K.; Wu, D.; Lang, S.; Chern, J.D.; Peters-Lidard, C.; Fridlind, A.; Matsui, T. High-resolution NU-WRF simulations of a deep convective-precipitation system during MC3E: Further improvements and comparisons between Goddard microphysics schemes and observations. J. Geophys. Res. Atmos. 2016, 121, 1278–1305. [Google Scholar] [CrossRef]
- Thompson, G.; Field, P.R.; Rasmussen, R.M.; Hall, W.D. Explicit forecasts of winter precipitation using an improved bulk microphysics scheme. Part II: Implementation of a new snow parameterization. Mon. Weather Rev. 2008, 136, 5095–5115. [Google Scholar] [CrossRef]
- Rogers, E.; Black, T.; Ferrier, B.; Lin, Y.; Parrish, D.; DiMego, G. National Oceanic and Atmospheric Administration Changes to the NCEP Meso Eta Analysis and Forecast System: Increase in resolution, new cloud microphysics, modified precipitation assimilation, modified 3DVAR analysis. NWS Tech. Proced. Bull. 2001, 488, 15. [Google Scholar]
- Milbrandt, J.; Yau, M. A multimoment bulk microphysics parameterization. Part I: Analysis of the role of the spectral shape parameter. J. Atmos. Sci. 2005, 62, 3051–3064. [Google Scholar] [CrossRef]
- Morrison, H.; Thompson, G.; Tatarskii, V. Impact of cloud microphysics on the development of trailing stratiform precipitation in a simulated squall line: Comparison of one-and two-moment schemes. Mon. Weather Rev. 2009, 137, 991–1007. [Google Scholar] [CrossRef]
- Lin, Y.; Colle, B.A. A new bulk microphysical scheme that includes riming intensity and temperature-dependent ice characteristics. Mon. Weather Rev. 2011, 139, 1013–1035. [Google Scholar] [CrossRef]
- Lim, K.-S.S.; Hong, S.-Y. Development of an effective double-moment cloud microphysics scheme with prognostic cloud condensation nuclei (CCN) for weather and climate models. Mon. Weather Rev. 2010, 138, 1587–1612. [Google Scholar] [CrossRef]
- Mansell, E.R.; Ziegler, C.L.; Bruning, E.C. Simulated electrification of a small thunderstorm with two-moment bulk microphysics. J. Atmos. Sci. 2010, 67, 171–194. [Google Scholar] [CrossRef]
- Gilmore, M.S.; Straka, J.M.; Rasmussen, E.N. Precipitation uncertainty due to variations in precipitation particle parameters within a simple microphysics scheme. Mon. Weather Rev. 2004, 132, 2610–2627. [Google Scholar] [CrossRef]
- Morrison, H.; Milbrandt, J.A. Parameterization of cloud microphysics based on the prediction of bulk ice particle properties. Part I: Scheme description and idealized tests. J. Atmos. Sci. 2015, 72, 287–311. [Google Scholar] [CrossRef]
- Kain, J.S. The Kain–Fritsch convective parameterization: An update. J. Appl. Meteorol. 2004, 43, 170–181. [Google Scholar] [CrossRef]
- Grell, G.A.; Freitas, S.R. A scale and aerosol aware stochastic convective parameterization for weather and air quality modeling. Atmos. Chem. Phys. 2014, 14, 5233–5250. [Google Scholar] [CrossRef]
- Grell, G.A.; Dévényi, D. A generalized approach to parameterizing convection combining ensemble and data assimilation techniques. Geophys. Res. Lett. 2002, 29, 38-1–38-4. [Google Scholar] [CrossRef]
- Zhang ChunXi, Z.C.; Wang YuQing, W.Y. Projected future changes of tropical cyclone activity over the western North and South Pacific in a 20-km-mesh regional climate model. J. Clim. 2017, 30, 5923–5941. [Google Scholar] [CrossRef]
- Hong, S.-Y.; Noh, Y.; Dudhia, J. A new vertical diffusion package with an explicit treatment of entrainment processes. Mon. Weather Rev. 2006, 134, 2318–2341. [Google Scholar] [CrossRef]
- Dudhia, J. Numerical study of convection observed during the winter monsoon experiment using a mesoscale two-dimensional model. J. Atmos. Sci. 1989, 46, 3077–3107. [Google Scholar] [CrossRef]
- Mlawer, E.J.; Taubman, S.J.; Brown, P.D.; Iacono, M.J.; Clough, S.A. Radiative transfer for inhomogeneous atmospheres: RRTM, a validated correlated-k model for the longwave. J. Geophys. Res. Atmos. 1997, 102, 16663–16682. [Google Scholar] [CrossRef]
- Nguyen, T.-C.; Huang, C.-Y. A comparative modeling study of Supertyphoons Mangkhut and Yutu (2018) past the Philippines with ocean-coupled HWRF. Atmosphere 2021, 12, 1055. [Google Scholar] [CrossRef]
- Chang, C.-C.; Wu, C.-C. On the processes leading to the rapid intensification of Typhoon Megi (2010). J. Atmos. Sci. 2017, 74, 1169–1200. [Google Scholar] [CrossRef]

















| Physics Options | Schemes |
|---|---|
| Microphysics parameterization scheme (MPS) | Lin [38] |
| WSM3 [39] | |
| WSM5 [39] | |
| WSM6 [40] | |
| Goddard [41] | |
| Thompson [42] | |
| Eta [43] | |
| Milbrandt-Yau [44] | |
| Morrison 2 [45] | |
| Stony-Brook [46] | |
| WDM5 [47] | |
| WDM6 [47] | |
| NSSL2 [48] | |
| NSSL1 [49] | |
| P3 [50] | |
| Cumulus parameterization scheme (CPS) | KF [51] |
| GF [52] | |
| GD [53] | |
| New Tiedtke [54] | |
| Planetary boundary layer (PBL) physics scheme | Yonsei University [55] |
| Shortwave scheme | Dudhia [56] |
| Longwave scheme | RRTM [57] |
Disclaimer/Publisher’s Note: The statements, opinions and data contained in all publications are solely those of the individual author(s) and contributor(s) and not of MDPI and/or the editor(s). MDPI and/or the editor(s) disclaim responsibility for any injury to people or property resulting from any ideas, methods, instructions or products referred to in the content. |
© 2024 by the authors. Licensee MDPI, Basel, Switzerland. This article is an open access article distributed under the terms and conditions of the Creative Commons Attribution (CC BY) license (https://creativecommons.org/licenses/by/4.0/).
Share and Cite
Vu, D.-H.; Huang, C.-Y.; Nguyen, T.-C. Numerical Investigation of Track and Intensity Evolution of Typhoon Doksuri (2023). Atmosphere 2024, 15, 1105. https://doi.org/10.3390/atmos15091105
Vu D-H, Huang C-Y, Nguyen T-C. Numerical Investigation of Track and Intensity Evolution of Typhoon Doksuri (2023). Atmosphere. 2024; 15(9):1105. https://doi.org/10.3390/atmos15091105
Chicago/Turabian StyleVu, Dieu-Hong, Ching-Yuang Huang, and Thi-Chinh Nguyen. 2024. "Numerical Investigation of Track and Intensity Evolution of Typhoon Doksuri (2023)" Atmosphere 15, no. 9: 1105. https://doi.org/10.3390/atmos15091105
APA StyleVu, D.-H., Huang, C.-Y., & Nguyen, T.-C. (2024). Numerical Investigation of Track and Intensity Evolution of Typhoon Doksuri (2023). Atmosphere, 15(9), 1105. https://doi.org/10.3390/atmos15091105

