High Gravity-Enhanced Direct Air Capture: A Leap Forward in CO2 Adsorption Technology
Abstract
1. Introduction
2. Experimental Part
2.1. Experimental Materials
2.2. Synthesis of TEPA-Al2O3
2.3. Characterization of TEPA-Al2O3
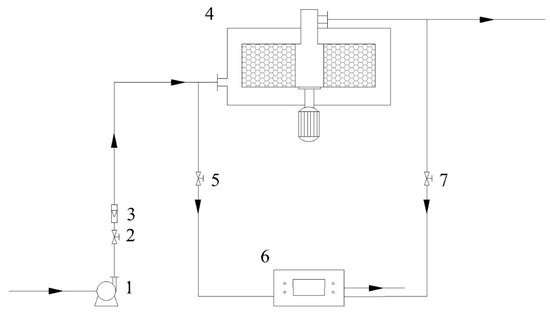
2.4. Adsorption Experiments
3. Results and Discussion
3.1. Characterization of TEPA-Al2O3
3.1.1. Analysis of Specific Surface Area, Pore Volume and Pore Size
3.1.2. Fourier Transform Infrared Spectroscopy (FT-IR)
3.1.3. X-ray Diffraction Analysis (XRD)
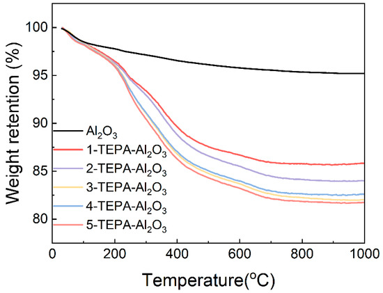
3.1.4. Thermal Gravimetric Analysis (TGA)
3.1.5. Scanning Electron Microscope and Energy Dispersive Spectrometer Analysis (SEM-EDS)
3.2. Impact of Rotating Adsorption Bed (RAB) Operational Parameters on the Adsorption Performance of TEPA-Al2O3
3.2.1. The Effect of TEPA Loading on CO2 Capture from Air
3.2.2. The Impact of the High gravity Factor on CO2 Capture from Air
3.2.3. The Effect of Inlet Air Flow Rate on the Capture of CO2 from Air
3.3. Kinetic Analysis of CO2 Adsorption from Air by Amine-Modified Adsorbents
3.3.1. Lagergren’s Pseudo-First-Order Adsorption Kinetics Model
3.3.2. Ho’s Pseudo-Second-Order Adsorption Kinetics Model
3.3.3. Avrami’s Fractional-Order Kinetics Model
3.4. Regeneration of Amine-Modified Adsorbents
4. Conclusions
Author Contributions
Funding
Institutional Review Board Statement
Informed Consent Statement
Data Availability Statement
Conflicts of Interest
Nomenclature
| DAC | Direct Air Capture |
| TEPA | Tetraethylenepentamine |
| Al2O3 | Alumina |
| BET | Brunner–Emmet–Teller measurements |
| FTIR | Fourier Transform Infrared Spectroscopy |
| TG | Thermal Gravimetric |
| XRD | X-ray Diffraction |
| SEM-EDS | Scanning Electron Microscope and Energy Dispersive Spectrometer analysis |
| RAB | Rotating Adsorption Bed |
| H | Height, mm |
| Inner diameter, mm | |
| Outer diameter, mm | |
| N | Rotating speed, r·min−1 |
| r | Radius of the rotor, m |
| β | High gravity factor |
| Adsorption capacity, mg·g−1 | |
| Q | Gas flow rate, L·min−1 |
| M | Mass of the adsorbent, g |
| and | Inlet and outlet CO2 volume concentrations (%) |
| Molar volume of gas (22.4 L·mol−1) | |
| Molar mass of CO2 (44g·mol−1) | |
| SBET | BET surface area, m2/g |
| Vpore | Total pore volume, cm3/g |
| Equilibrium adsorption capacity, mg/g | |
| Rate constant of the pseudo-first-order model, min−1 | |
| t | Adsorption time, min |
| Rate constant for pseudo-second-order adsorption, g·mg−1·min−1 | |
| Adsorption rate constant of Avrami’s Fractional-Order Kinetics Model, min−1 |
References
- Ozkan, M.; Nayak, S.P.; Ruiz, A.D.; Jiang, W. Current status and pillars of direct air capture technologies. iScience 2022, 25, 103990. [Google Scholar] [CrossRef] [PubMed]
- Leeson, D.; Mac Dowell, N.; Shah, N.; Petit, C.; Fennell, P.S. A Techno-economic analysis and systematic review of carbon capture and storage (CCS) applied to the iron and steel, cement, oil refining and pulp and paper industries, as well as other high purity sources. Int. J. Greenh. Gas Control 2017, 61, 71–84. [Google Scholar] [CrossRef]
- Abanades, J.C.; Criado, Y.A.; White, H.I. Direct capture of carbon dioxide from the atmosphere using bricks of calcium hydroxide. Cell Rep. Phys. Sci. 2023, 4, 101339. [Google Scholar] [CrossRef]
- Jones, C.W. CO2 Capture from dilute Gases as a Component of Modern Global Carbon Management. Annu. Rev. Chem. Biomol. Eng. 2011, 2, 31–52. [Google Scholar] [CrossRef]
- Castro-Muñoz, R.; Zamidi Ahmad, M.; Malankowska, M.; Coronas, J. A new relevant membrane application: CO2 direct air capture (DAC). Chem. Eng. J. 2022, 446, 137047. [Google Scholar] [CrossRef]
- Lee, J.W.; Ahn, H.; Kim, S.; Kang, Y.T. Low-concentration CO2 capture system with liquid-like adsorbent based on monoethanolamine for low energy consumption. J. Clean. Prod. 2023, 390, 136141. [Google Scholar] [CrossRef]
- Leonzio, G.; Fennell, P.S.; Shah, N. Analysis of Technologies for Carbon Dioxide Capture from the Air. Appl. Sci. 2022, 12, 8321. [Google Scholar] [CrossRef]
- Aboelmaaref, M.M.; Zhao, J.; Zayed, M.E.; Li, Y.; Gu, L.; Askalany, A.A.; Ghazy, M.; Alsaman, A.S.; Ali, E.S. Design and dynamic numerical modeling of a hybrid reverse osmosis/adsorption-based distillation system driven by solar dish Stirling engine for enhanced performance and waste heat recovery. Process Saf. Environ. Prot. 2023, 180, 324–338. [Google Scholar] [CrossRef]
- Sadek, S.; Deng, S.; Zhao, J.; Zayed, M.E. Solar-powered adsorption-based atmospheric water harvesting systems: Principles, materials, performance analysis, and configurations. Sustain. Energy Technol. Assess. 2022, 54, 102874. [Google Scholar] [CrossRef]
- Liu, R.-S.; Xu, S.; Hao, G.-P.; Lu, A.-H. Recent Advances of Porous Solids for Ultradilute CO2 Capture. Chem. Res. Chin. Univ. 2022, 38, 18–30. [Google Scholar] [CrossRef]
- Jiao, W.; Yang, P.; Qi, G.; Liu, Y. Selective absorption of H2S with High CO2 concentration in mixture in a rotating packed bed. Chem. Eng. Process. Process Intensif. 2018, 129, 142–147. [Google Scholar] [CrossRef]
- Li, X.; Liu, Y.; Li, Z.; Wang, X. Continuous Distillation Experiment with Rotating Packed Bed. Chin. J. Chem. Eng. 2008, 16, 656–662. [Google Scholar] [CrossRef]
- Jiao, W.; Liu, Y.; Qi, G. Micromixing Efficiency of Viscous Media in Novel Impinging Stream-Rotating Packed Bed Reactor. Ind. Eng. Chem. Res. 2012, 51, 7113–7118. [Google Scholar] [CrossRef]
- Qi, G.; Cheng, S.; Liu, Y.; Guo, Q. Pilot scale test of wet dust removal by high gravity intensification technology in fertilizer plant. J. Environ. Chem. Eng. 2021, 9, 106424. [Google Scholar] [CrossRef]
- Fan, H.-L.; Zhou, S.-F.; Gao, J.; Liu, Y.-Z. Continuous preparation of Fe3O4 nanoparticles through Impinging Stream-Rotating Packed Bed reactor and their electrochemistry detection toward heavy metal ions. J. Alloys Compd. Interdiscip. J. Mater. Sci. Solid-State Chem. Phys. 2016, 671, 354–359. [Google Scholar] [CrossRef]
- Guo, Q.; Liu, Y.; Qi, G.; Jiao, W. Study of low temperature combustion performance for composite metal catalysts prepared via rotating packed bed. Energy 2019, 179, 431–441. [Google Scholar] [CrossRef]
- Ren, H.; Li, H.; Shen, H.; Liu, Y. Experimental study on CO2 adsorption with silica-supported ionic liquid in a high gravity reactor. Fuel 2023, 331, 125932. [Google Scholar] [CrossRef]
- Guo, Q.; Liu, Y.; Qi, G.; Jiao, W. Adsorption and desorption behaviour of toluene on activated carbon in a high gravity rotating bed. Chem. Eng. Res. Des. 2019, 143, 47–55. [Google Scholar] [CrossRef]
- Guo, Q.; Liu, Y.; Qi, G. Application of high-gravity technology NaOH-modified activated carbon in rotating packed bed (RPB) to adsorb toluene. J. Nanopart. Res. 2019, 21, 175. [Google Scholar] [CrossRef]
- Dutcher, B.; Fan, M.; Russell, A.G. Amine-based CO2 capture technology development from the beginning of 2013—A review. ACS Appl. Mater. Interfaces 2015, 7, 2137–2148. [Google Scholar] [CrossRef] [PubMed]
- Ferella, F.; Puca, A.; Taglieri, G.; Rossi, L.; Gallucci, K. Separation of carbon dioxide for biogas upgrading to biomethane. J. Clean. Prod. 2017, 164, 1205–1218. [Google Scholar] [CrossRef]
- Choi, S.; Drese, J.H.; Jones, C.W. Adsorbent Materials for Carbon Dioxide Capture from Large Anthropogenic Point Sources. ChemSusChem 2009, 2, 796–854. [Google Scholar] [CrossRef]
- Drage, T.C.; Snape, C.E.; Stevens, L.A. Materials challenges for the development of solid sorbents for post-combustion carbon capture. J. Mater. Chem. Interdiscip. J. Deal. Synth. Struct. Prop. Appl. Mater. Part. Those Assoc. Adv. Technol. 2012, 22, 2815–2823. [Google Scholar] [CrossRef]
- Zhao, M.; Xiao, J.; Gao, W.; Wang, Q. Defect-rich Mg-Al MMOs supported TEPA with enhanced charge transfer for highly efficient and stable direct air capture. J. Energy Chem. 2022, 68, 401–410. [Google Scholar] [CrossRef]
- Muchan, P.; Narku-Tetteh, J.; Saiwan, C.; Idem, R.; Supap, T. Effect of number of amine groups in aqueous polyamine solution on carbon dioxide (CO2) capture activities. Sep. Purif. Technol. 2017, 184, 128–134. [Google Scholar] [CrossRef]
- Yang, H.; Wang, X.; Liu, J.; Liu, W.; Gong, Y.; Sun, Y. Amine-impregnated polymeric resin with high CO2 adsorption capacity for biogas upgrading. Chem. Eng. J. 2022, 430, 132899. [Google Scholar] [CrossRef]
- Khoshhal Salestan, S.; Pirzadeh, K.; Rahimpour, A.; Abedini, R. Poly (ether-block amide) thin-film membranes containing functionalized MIL-101 MOFs for efficient separation of CO2/CH4. J. Environ. Chem. Eng. 2021, 9, 105820. [Google Scholar] [CrossRef]
- Zhou, G.; Yang, S.; Tian, Y.; Liu, Y.; Liu, Z.; Dong, X. Adsorption application of tetraethylenepentamine (TEPA) modified SBA-15@MIL-101(Cr) in carbon capture and storage (CCS). Microporous Mesoporous Mater. 2022, 344, 112232. [Google Scholar] [CrossRef]
- Zhang, G.; Zhao, P.; Hao, L.; Xu, Y. Amine-modified SBA-15(P): A promising adsorbent for CO2 capture. J. CO2 Util. 2018, 24, 22–33. [Google Scholar] [CrossRef]
- Zhao, Y.; Zhu, Y.; Zhu, T.; Lin, G.; Shao, M.; Hong, W.; Hou, S. Polyethylenimine-Based Solid Sorbents for CO2 Adsorption: Performance and Secondary Porosity. Ind. Eng. Chem. Res. 2019, 58, 15506–15515. [Google Scholar] [CrossRef]
- Ren, H.; Shen, H.; Liu, Y. Adsorption of CO2 with tetraethylammonium glycine ionic liquid modified alumina in the Rotating Adsorption Bed. J. CO2 Util. 2022, 58, 101925. [Google Scholar] [CrossRef]
- Liu, Y.; Yu, X. Carbon dioxide adsorption properties and adsorption/desorption kinetics of amine-functionalized KIT-6. Appl. Energy 2018, 211, 1080–1088. [Google Scholar] [CrossRef]
- Serna-Guerrero, R.; Sayari, A. Modeling adsorption of CO2 on amine-functionalized mesoporous silica. 2: Kinetics and breakthrough curves. Chem. Eng. J. 2010, 161, 182–190. [Google Scholar] [CrossRef]
- Chaikittisilp, W.; Kim, H.-J.; Jones, C.W. Mesoporous Alumina-Supported Amines as Potential Steam-Stable Adsorbents for Capturing CO2 from Simulated Flue Gas and Ambient Air. Energy Fuels 2011, 25, 5528–5537. [Google Scholar] [CrossRef]
- Priyadarshini, P.; Rim, G.; Rosu, C.; Song, M.; Jones, C.W. Direct Air Capture of CO2 Using Amine/Alumina Sorbents at Cold Temperature. ACS Environ. Au 2023, 3, 295–307. [Google Scholar] [CrossRef] [PubMed]
- Chaikittisilp, W.; Khunsupat, R.; Chen, T.T.; Jones, C.W. Poly(allylamine)-Mesoporous Silica Composite Materials for CO2 Capture from Simulated Flue Gas or Ambient Air. Ind. Eng. Chem. Res. 2011, 50, 14203–14210. [Google Scholar] [CrossRef]
- Kumar, R.; Ohtani, S.; Tsunoji, N. Direct air capture on amine-impregnated FAU zeolites: Exploring for high adsorption capacity and low-temperature regeneration. Microporous Mesoporous Mater. 2023, 360, 112714. [Google Scholar] [CrossRef]
- Thakkar, H.; Issa, A.; Rownaghi, A.A.; Rezaei, F. CO2 Capture from Air Using Amine-Functionalized Kaolin-Based Zeolites. Chem. Eng. Technol. Ind. Chem. Plant Equip. Process Eng. Biotechnol. 2017, 40, 1999–2007. [Google Scholar] [CrossRef]
- Sun, Y.; Liu, W.; Wang, X.; Yang, H.; Liu, J. Enhanced Adsorption of Carbon Dioxide from Simulated Biogas on PEI/MEA-Functionalized Silica. Int. J. Environ. Res. Public Health 2020, 17, 1452. [Google Scholar] [CrossRef]













| Structure | Parameters/mm |
|---|---|
| Height (H) | 54 |
| ) | 32 |
| ) | 112 |
| N (r·min−1) | 200 | 300 | 400 | 500 | 600 |
|---|---|---|---|---|---|
| β | 0.67 | 1.50 | 2.67 | 4.17 | 6.00 |
| Materials | SBET (m2/g) a | Vpore (cm3/g ) b | d (nm) c | Amine Loading (%) d |
|---|---|---|---|---|
| Al2O3 | 291.10 | 0.49 | 7.29 | — |
| 1-TEPA-Al2O3 | 290.53 | 0.49 | 6.69 | 12.86 |
| 2-PEI-Al2O3 | 248.901 | 0.48 | 6.75 | 12.06 |
| 3-PEI-Al2O3 | 244.95 | 0.46 | 7.51 | 15.06 |
| 4-PEI-Al2O3 | 258.86 | 0.45 | 6.89 | 15.98 |
| 5-PEI-Al2O3 | 251.25 | 0.47 | 7.52 | 18.49 |
| The Pseudo-First-Order Model | The Pseudo-Second-Order Model | Avrami’s Fractional-Order Kinetics Model | ||||||||
|---|---|---|---|---|---|---|---|---|---|---|
| n | ||||||||||
| mg/g | mg/g | g/(mg·min) | mg/g | |||||||
| Fixed bed | 36.65 | 0.009 | 0.992 | 54.69 | 0.985 | 33.31 | 0.011 | 1.35 | 0.999 | |
| RAB | 58.17 | 0.012 | 0.978 | 84.08 | 0.969 | 50.56 | 0.015 | 1.48 | 0.997 | |
| Support | Amine | CO2 (ppm) | Adsorption Capacity (mg/g) | Regeneration Temperature (°C) | Cyclic Adsorption Capacity (mg/g) | Ref. |
|---|---|---|---|---|---|---|
| γ-Al2O3 | PEI | 400 ppmCO2/Ar | 45.32 | 105 | 33.88 | [34] |
| SBA-15 | PEI | 400 ppmCO2/Ar | 14.08 | 105 | 2.64 | [34] |
| γ-Al2O3 | 20wt%PEI | 400 ppm CO2/Ar | 25.52 | 60 | 31.24 | [35] |
| MCF a | PAA b | 400 ppm/Ar | 37.84 | 120 | 36.08 | [36] |
| MCF | PEIBr c | 400 ppm/Ar | 76.56 | 120 | 74.8 | [36] |
| zeolite | PEI | 400 ppmCO2 | 28.16 | 25 | 28.16 | [37] |
| Zeolite Y | TEPA | 0.5% CO2 | 49.28 | 100 | 47.96 | [38] |
| silica | PEI | 35.6% CO2 | 35.64 | — | — | [39] |
| γ-Al2O3 | TEPA | 400 ppm/air | 48.5 | 105 | 40.32 | this work |
Disclaimer/Publisher’s Note: The statements, opinions and data contained in all publications are solely those of the individual author(s) and contributor(s) and not of MDPI and/or the editor(s). MDPI and/or the editor(s) disclaim responsibility for any injury to people or property resulting from any ideas, methods, instructions or products referred to in the content. |
© 2024 by the authors. Licensee MDPI, Basel, Switzerland. This article is an open access article distributed under the terms and conditions of the Creative Commons Attribution (CC BY) license (https://creativecommons.org/licenses/by/4.0/).
Share and Cite
Wang, S.; Liu, Y.; Zhang, C.; Guo, S.; Li, Y. High Gravity-Enhanced Direct Air Capture: A Leap Forward in CO2 Adsorption Technology. Atmosphere 2024, 15, 238. https://doi.org/10.3390/atmos15020238
Wang S, Liu Y, Zhang C, Guo S, Li Y. High Gravity-Enhanced Direct Air Capture: A Leap Forward in CO2 Adsorption Technology. Atmosphere. 2024; 15(2):238. https://doi.org/10.3390/atmos15020238
Chicago/Turabian StyleWang, Shufei, Youzhi Liu, Chengqian Zhang, Shuwei Guo, and Yuliang Li. 2024. "High Gravity-Enhanced Direct Air Capture: A Leap Forward in CO2 Adsorption Technology" Atmosphere 15, no. 2: 238. https://doi.org/10.3390/atmos15020238
APA StyleWang, S., Liu, Y., Zhang, C., Guo, S., & Li, Y. (2024). High Gravity-Enhanced Direct Air Capture: A Leap Forward in CO2 Adsorption Technology. Atmosphere, 15(2), 238. https://doi.org/10.3390/atmos15020238
