Correlation Structure and Co-Movement of Hunan Province’s Air Pollution: Evidence from the Multiscale Temporal Networks
Abstract
1. Introduction
2. Materials and Methods
2.1. Height Cross-Correlation Analysis (HXA)
2.2. Complex Networks Construction and Properties
2.2.1. Network Construction
2.2.2. Network Topological Properties
- (1)
- Node strength
- (2)
- Clustering coefficient
- (3)
- Average path length
- (4)
- Graph Density
2.3. Jensen-Shannon Divergence
2.4. Spectral Clustering
2.5. Method Discussion
3. Case Study
3.1. Data Description
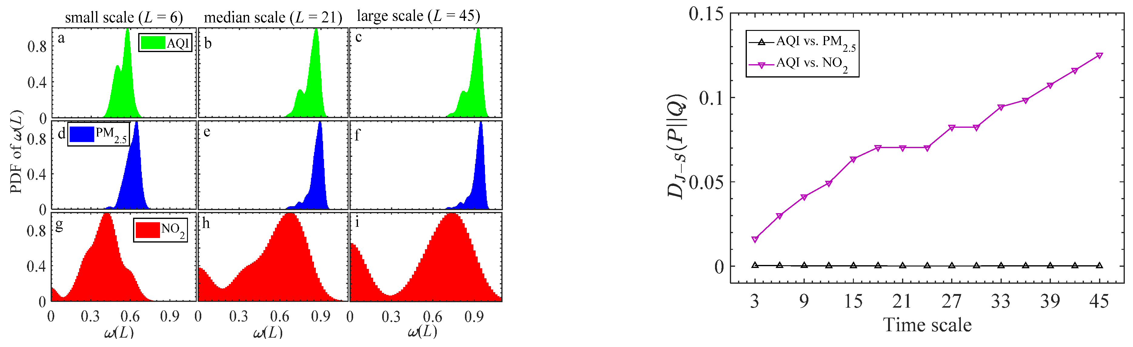
3.2. Correlation Analysis
3.3. Network Structural Analysis
3.4. Clustering Analysis
4. Discussion and Conclusions
Author Contributions
Funding
Institutional Review Board Statement
Informed Consent Statement
Data Availability Statement
Acknowledgments
Conflicts of Interest
References
- Wang, F.; Wang, L.; Chen, Y. A DFA-based bivariate regression model for estimating the dependence of PM2.5 among neighbouring cities. Sci. Rep. 2018, 8, 7475. [Google Scholar] [CrossRef] [PubMed]
- Wang, S.; Hao, J. Air quality management in China: Issues, challenges, and options. J. Environ. Sci. 2012, 24, 2–13. [Google Scholar] [CrossRef] [PubMed]
- Han, L.J.; Zhou, W.Q.; Li, W.F. Increasing impact of urban fine particles (pm 2.5) on areas surrounding Chinese cities. Sci. Rep. 2015, 5, 12467. [Google Scholar] [CrossRef] [PubMed]
- Gousseau, P.; Blocken, B.; van Heijst, G. Large-Eddy Simulation of pollutant dispersion around a cubical building: Analysis of the turbulent mass transport mechanism by unsteady concentration and velocity statistics. Environ. Pollut. 2012, 167, 47–57. [Google Scholar] [CrossRef] [PubMed]
- Shi, K. Detrended cross-correlation analysis of temperature, rainfall, pm10 and ambient dioxins in Hong Kong. Atmos. Environ. 2014, 97, 130–135. [Google Scholar] [CrossRef]
- Liu, Y.; Zhou, Y.; Lu, J. Exploring the relationship between air pollution and meteorological conditions in China under environmental governance. Sci. Rep. 2020, 10, 1–11. [Google Scholar] [CrossRef]
- Wang, F.; Fan, Q. Coupling correlation detrended analysis for multiple nonstationary series. Commun. Nonlinear Sci. Numer. Simul. 2021, 94, 105579. [Google Scholar] [CrossRef]
- Long, W.; Zhou, Y.; Liu, P. Numerical simulation of the influence of major meteorological elements on the concentration of air pollutants during rainfall over Sichuan Basin of China. Atmos. Pollut. Res. 2020, 11, 2036–2048. [Google Scholar] [CrossRef]
- Zebende, G.F.; da Silva Filho, A.M. Detrended multiple cross-correlation coefficient. Physica A 2018, 510, 91–97. [Google Scholar] [CrossRef]
- Wang, F.; Xu, J.; Fan, Q. Statistical properties of the detrended multiple cross-correlation coefficient. Commun. Nonlinear Sci. Numer. Simul. 2021, 99, 105781. [Google Scholar] [CrossRef]
- Wang, F.; Wang, L.; Chen, Y. Detecting PM2.5’s correlations between neighboring cities using a time-lagged cross-correlation coefficient. Sci. Rep. 2017, 7, 10109. [Google Scholar] [CrossRef]
- Chen, Z.; Xu, B.; Cai, J.; Gao, B. Understanding temporal patterns and characteristics of air quality in Beijing: A local and regional perspective. Atmos. Environ. 2016, 127, 303–315. [Google Scholar] [CrossRef]
- Liu, X.; Schnelle-Kreis, J.; Zhang, X.; Bendl, J.; Khedr, M.; Jakobi, G.; Schloter-Hai, B.; Hovorka, J.; Zimmermann, R. Integration of air pollution data collected by mobile measurement to derive a preliminary spatiotemporal air pollution profile from two neighboring German-Czech border villages. Sci. Total Environ. 2020, 722, 137632. [Google Scholar] [CrossRef]
- Chen, G.R.; Wang, X.F.; Li, X. Introduction to Complex Networks: Models, Structures and Dynamics; Higher Education Press: Beijing, China, 2015. [Google Scholar]
- Yang, Y.; Yang, H. Complex network-based time series analysis. Physica A 2008, 387, 1381–1386. [Google Scholar] [CrossRef]
- Donner, R.V.; Zou, Y.; Donges, J.; Marwan, N.; Kurths, J. Recurrence networks—A novel paradigm for nonlinear time series analysis. New J. Phys. 2010, 12, 033025. [Google Scholar] [CrossRef]
- Xu, X.; Zhang, J.; Small, M. Superfamily phenomena and motifs of networks induced from time series. Proc. Natl. Acad. Sci. USA 2008, 105, 19601–19605. [Google Scholar] [CrossRef]
- Lacasa, L.; Luque, B.; Ballesteros, F.; Luque, J.; Nuño, J.C. From time series to complex networks: The visibility graph. Proc. Natl. Acad. Sci. USA 2008, 105, 4972–4975. [Google Scholar] [CrossRef]
- Luque, B.; Lacasa, L.; Ballesteros, F.; Luque, J. Horizontal visibility graphs: Exact results for random time series. Phys. Rev. E 2009, 80, 046103. [Google Scholar] [CrossRef]
- Nicolis, G.; Cantú, G.A.; Nicolis, C. Dynamical aspects of interaction networks. Int. J. Bifurc. Chaos 2005, 15, 3467–3480. [Google Scholar] [CrossRef]
- Donner, R.; Small, M.; Donges, J.; Marwan, N.; Zou, Y.; Xiang, R.; Kurths, J. Recurrence-based time series analysis by means of complex network methods. Int. J. Bifurc. Chaos 2011, 21, 1019–1046. [Google Scholar] [CrossRef]
- Zou, Y.; Donner, R.V.; Marwan, N.; Donges, J.F.; Kurths, J. Complex network approaches to nonlinear time series analysis. Phys. Rep. 2019, 787, 1–97. [Google Scholar] [CrossRef]
- Song, C.; Huang, G.; Zhang, B.; Yin, B.; Lu, H. Modeling air pollution transmission behavior as complex network and mining key monitoring station. IEEE Access 2019, 7, 121245–121254. [Google Scholar] [CrossRef]
- Plocoste, T.; Carmona-Cabezas, R.; de Ravé, E.G.; Jiménez-Hornero, F.J. Wet scavenging process of particulate matter (PM10): A multivariate complex network approach. Atmos. Pollut. Res. 2021, 12, 101095. [Google Scholar] [CrossRef]
- Zhang, Z.; Wang, F.; Shen, L.; Xie, Q. Multiscale time-lagged correlation networks for detecting air pollution interaction. Physica A 2022, 602, 127627. [Google Scholar] [CrossRef]
- Dai, Y.H.; Zhou, W.X. Temporal and spatial correlation patterns of air pollutants in Chinese cities. PLoS ONE 2017, 12, e0182724. [Google Scholar] [CrossRef] [PubMed]
- Chang, F.; Ge, L.; Li, S.; Wu, K.; Wang, Y. Self-adaptive spatial–temporal network based on heterogeneous data for air quality prediction. Connect. Sci. 2021, 33, 427–446. [Google Scholar] [CrossRef]
- Bulletin of the Second National Pollution Source Census in Hunan Province. Available online: http://www.hunan.gov.cn/xxgk/tzgg/szbm/202012/t20201228_14086835.html (accessed on 10 November 2022).
- Kristoufek, L. Multifractal height cross-correlation analysis: A new method for analyzing long-range cross-correlations. Europhys. Lett. 2011, 95, 68001. [Google Scholar] [CrossRef]
- Wang, F.; Yang, Z.; Wang, L. Detecting and quantifying cross-correlations by analogous multifractal height cross-correlation analysis. Physica A 2016, 444, 954–962. [Google Scholar] [CrossRef]
- Wang, F.; Wang, L.; Chen, Y. Quantifying the range of cross-correlated fluctuations using a q–L dependent AHXA coefficient. Physica A 2018, 494, 454–464. [Google Scholar] [CrossRef]
- Barabási, A.L.; Vicsek, T. Multifractality of self-affine fractals. Phys. Rev. A 1991, 44, 2730. [Google Scholar] [CrossRef]
- Podobnik, B.; Stanley, H.E. Detrended cross-correlation analysis: A new method for analyzing two nonstationary time series. Phys. Rev. Lett. 2008, 100, 084102. [Google Scholar] [CrossRef]
- Podobnik, B.; Jiang, Z.-Q.; Zhou, W.-X.; Stanley, H. Statistical tests for power-law cross-correlated processes. Phys. Rev. E 2011, 84, 066118. [Google Scholar] [CrossRef]
- Barrat, A.; Barthelemy, M.; Pastor-Satorras, R.; Vespignani, A. The architecture of complex weighted networks. Proc. Natl. Acad. Sci. USA 2004, 101, 3747–3752. [Google Scholar] [CrossRef]
- Holme, P.; Park, S.M.; Kim, B.J.; Edling, C.R. Korean university life in a network perspective: Dynamics of a large affiliation network. Physica A 2007, 373, 821–830. [Google Scholar] [CrossRef]
- Opsahl, T.; Panzarasa, P. Clustering in weighted networks. Soc. Netw. 2009, 31, 155–163. [Google Scholar] [CrossRef]
- Mhatre, V.; Rosenberg, C. Homogeneous vs heterogeneous clustered sensor networks: A comparative study. In Proceedings of the 2004 IEEE International Conference on Communications (IEEE Cat. No. 04CH37577), Paris, France, 20–24 June 2004; Volume 6, pp. 3646–3651. [Google Scholar]
- Hougardy, S. The Floyd–Warshall algorithm on graphs with negative cycles. Inf. Process. Lett. 2010, 110, 279–281. [Google Scholar] [CrossRef]
- Nielsen, F. On the Jensen–Shannon symmetrization of distances relying on abstract means. Entropy 2019, 21, 485. [Google Scholar] [CrossRef]
- Von Luxburg, U. A tutorial on spectral clustering. Stat. Comput. 2007, 17, 395–416. [Google Scholar] [CrossRef]
- Wang, F.; Zhao, W.; Jiang, S. Detecting asynchrony of two series using multiscale cross-trend sample entropy. Nonlinear Dyn. 2020, 99, 1451–1465. [Google Scholar] [CrossRef]
- Menichetti, G.; Remondini, D.; Panzarasa, P.; Mondragón, R.J.; Bianconi, G. Weighted Multiplex Networks. PLoS ONE 2014, 9, e97857. [Google Scholar] [CrossRef]








| City Name | Location | AQI | PM2.5 (μg/m³) | NO2 (mg/m3) | ||||||
|---|---|---|---|---|---|---|---|---|---|---|
| Mean(Std) | K | S | Mean(Std) | K | S | Mean(Std) | K | S | ||
| CD | 29.02° N, 111.51° E | 73.42 (37.67) | 9.86 | 1.91 | 48.01 (32.32) | 11.69 | 2.04 | 19.37 (10.59) | 4.13 | 1.05 |
| CS | 28.12° N, 112.59° E | 75.91 (39.62) | 6.99 | 1.67 | 49.65 (33.41) | 7.56 | 1.78 | 34.52 (16.14) | 3.67 | 0.99 |
| CZ | 25.46° N, 113.02° E | 61.46 (28.40) | 6.86 | 1.53 | 35.45 (25.22) | 6.42 | 1.55 | 24.50 (9.88) | 3.63 | 0.87 |
| HH | 27.33° N, 109.58° E | 65.71 (27.01) | 5.48 | 1.33 | 37.39 (25.07) | 4.75 | 1.30 | 15.65 (9.06) | 4.52 | 1.28 |
| HY | 26.53° N, 112.37° E | 70.65 (38.10) | 6.24 | 1.53 | 46.77 (32.12) | 7.08 | 1.63 | 27.13 (12.84) | 4.00 | 1.12 |
| LD | 27.44° N, 111.59° E | 62.11 (28.09) | 12.11 | 1.95 | 37.57 (23.34) | 16.35 | 2.49 | 19.23 (9.17) | 4.38 | 1.17 |
| SY | 27.14° N, 111.28° E | 72.29 (38.57) | 8.84 | 1.90 | 49.12 (32.80) | 15.72 | 2.43 | 19.83 (10.04) | 4.96 | 1.32 |
| XT | 27.52° N, 112.53° E | 74.90 (38.27) | 6.03 | 1.53 | 48.48 (32.25) | 6.22 | 1.59 | 32.05 (14.98) | 3.72 | 1.02 |
| XX | 28.18° N, 109.43° E | 57.40 (25.49) | 6.03 | 1.29 | 34.89 (21.51) | 5.83 | 1.42 | 14.32 (6.92) | 5.75 | 1.38 |
| YI | 28.36° N, 112.20° E | 68.60 (30.63) | 8.95 | 1.83 | 40.04 (26.92) | 8.67 | 1.92 | 24.51 (12.07) | 3.51 | 0.98 |
| YU | 29.22° N, 113.06° E | 71.05 (32.33) | 16.65 | 2.19 | 46.20 (28.28) | 39.56 | 3.48 | 22.29 (10.38) | 3.26 | 0.80 |
| YZ | 26.13° N, 111.37° E | 66.04 (31.86) | 6.27 | 1.49 | 43.95 (26.54) | 5.92 | 1.42 | 21.59 (11.03) | 5.27 | 1.31 |
| ZJ | 29.08° N, 110.29° E | 62.49 (30.16) | 8.89 | 1.99 | 37.20 (26.63) | 7.58 | 1.85 | 17.14 (6.20) | 5.69 | 1.30 |
| ZZ | 27.51° N, 113.09° E | 72.19 (38.71) | 7.98 | 1.81 | 47.07 (32.54) | 9.78 | 2.08 | 30.90 (13.79) | 3.34 | 0.80 |
Disclaimer/Publisher’s Note: The statements, opinions and data contained in all publications are solely those of the individual author(s) and contributor(s) and not of MDPI and/or the editor(s). MDPI and/or the editor(s) disclaim responsibility for any injury to people or property resulting from any ideas, methods, instructions or products referred to in the content. |
© 2022 by the authors. Licensee MDPI, Basel, Switzerland. This article is an open access article distributed under the terms and conditions of the Creative Commons Attribution (CC BY) license (https://creativecommons.org/licenses/by/4.0/).
Share and Cite
Wang, F.; Zhang, Z. Correlation Structure and Co-Movement of Hunan Province’s Air Pollution: Evidence from the Multiscale Temporal Networks. Atmosphere 2023, 14, 55. https://doi.org/10.3390/atmos14010055
Wang F, Zhang Z. Correlation Structure and Co-Movement of Hunan Province’s Air Pollution: Evidence from the Multiscale Temporal Networks. Atmosphere. 2023; 14(1):55. https://doi.org/10.3390/atmos14010055
Chicago/Turabian StyleWang, Fang, and Zehui Zhang. 2023. "Correlation Structure and Co-Movement of Hunan Province’s Air Pollution: Evidence from the Multiscale Temporal Networks" Atmosphere 14, no. 1: 55. https://doi.org/10.3390/atmos14010055
APA StyleWang, F., & Zhang, Z. (2023). Correlation Structure and Co-Movement of Hunan Province’s Air Pollution: Evidence from the Multiscale Temporal Networks. Atmosphere, 14(1), 55. https://doi.org/10.3390/atmos14010055
