Short-Term Effects of Air Pollution on the Risk of Influenza in Jinan, China during 2020–2021: A Time-Series Analysis
Abstract
1. Introduction
2. Methodology
2.1. Study Area
2.2. Data Collection
2.3. Statistical Analysis
2.4. Sensitivity Analyses
3. Results
3.1. Descriptive Analysis
3.2. Spearman Correlation Coefficients Analysis
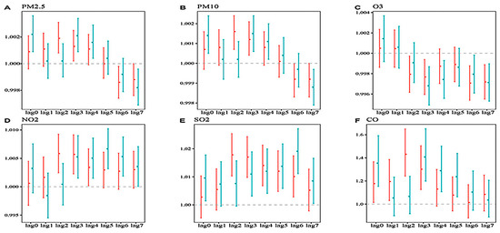
3.3. Single and Multi-Day Pollutant Model Analysis
3.4. Subgroup Analysis
3.5. Sensitivity Analysis
4. Discussion
5. Conclusions
Supplementary Materials
Author Contributions
Funding
Institutional Review Board Statement
Informed Consent Statement
Data Availability Statement
Acknowledgments
Conflicts of Interest
Abbreviations
| PM2.5 | particulate matter with an aerodynamic diameter less than 2.5 μg |
| PM10 | particulate matter with an aerodynamic diameter less than 10 μg |
| NO2 | nitrogen dioxide |
| SO2 | sulfur dioxide |
| O3 | ozone |
| CO | carbon monoxide |
| ILI | influenza-like illness |
| RR | relative risk |
| CI | confidence interval |
| COVID-19 | coronavirus disease 2019 |
References
- Brenner, F.; Marwan, N.; Hoffmann, P. Climate impact on spreading of airborne infectious diseases: Complex network based modeling of climate influences on influenza like illnesses. Eur. Phys. J. Spec. Top 2017, 226, 1845–1856. [Google Scholar] [CrossRef] [PubMed]
- Seasonal Influenza. Available online: https://www.who.int/news-room/fact-sheets/detail/influenza-(seasonal) (accessed on 1 June 2022).
- Seasonal Influenza. Available online: https://www.who.int/health-topics/influenza-seasonal#tab=tab_2 (accessed on 3 June 2022).
- Chen, F.; Zhu, W.; Zhang, X.; Yang, J.; Wang, L.; Xie, Z.; Chen, Y.; Bai, T.; Li, Y.; Wang, Z.; et al. Transmissibility of the Influenza Virus during Influenza Outbreaks and Related Asymptomatic Infection in Mainland China, 2005-2013. PLoS ONE 2016, 11, e0166180. [Google Scholar] [CrossRef][Green Version]
- Feng, L.; Feng, S.; Chen, T.; Yang, J.; Lau, Y.C.; Peng, Z.; Li, L.; Wang, X.; Wong, J.Y.T.; Qin, Y.; et al. Burden of influenza-associated outpatient influenza-like illness consultations in China, 2006-2015: A population-based study. Influenza Other Respir. Viruses 2020, 14, 162–172. [Google Scholar] [CrossRef] [PubMed]
- Disease Outbreaks. Available online: https://www.who.int/emergencies/disease-outbreak-news (accessed on 4 June 2022).
- Air Pollution. Available online: https://www.who.int/health-topics/air-pollution#tab=tab_1 (accessed on 7 June 2022).
- Hahad, O.; Lelieveld, J.; Birklein, F.; Lieb, K.; Daiber, A.; Munzel, T. Ambient Air Pollution Increases the Risk of Cerebrovascular and Neuropsychiatric Disorders through Induction of Inflammation and Oxidative Stress. Int. J. Mol. Sci. 2020, 21, 4306. [Google Scholar] [CrossRef]
- Lee, K.K.; Bing, R.; Kiang, J.; Bashir, S.; Spath, N.; Stelzle, D.; Mortimer, K.; Bularga, A.; Doudesis, D.; Joshi, S.S.; et al. Adverse health effects associated with household air pollution: A systematic review, meta-analysis, and burden estimation study. Lancet Glob. Health 2020, 8, e1427–e1434. [Google Scholar] [CrossRef]
- Li, X.; Xu, J.; Wang, W.; Liang, J.J.; Deng, Z.H.; Du, J.; Xie, M.Z.; Wang, X.R.; Liu, Y.; Cui, F.; et al. Air pollutants and outpatient visits for influenza-like illness in Beijing, China. PeerJ 2021, 9, e11397. [Google Scholar] [CrossRef]
- Sooryanarain, H.; Elankumaran, S. Environmental Role in Influenza Virus Outbreaks. Annu. Rev. Anim. Biosci. 2015, 3, 347–373. [Google Scholar] [CrossRef]
- Feng, C.; Li, J.; Sun, W.; Zhang, Y.; Wang, Q. Impact of ambient fine particulate matter (PM2.5) exposure on the risk of influenza-like-illness: A time-series analysis in Beijing, China. Env. Health 2016, 15, 17. [Google Scholar] [CrossRef]
- Meng, Y.; Lu, Y.; Xiang, H.; Liu, S. Short-term effects of ambient air pollution on the incidence of influenza in Wuhan, China: A time-series analysis. Env. Res. 2021, 192, 110327. [Google Scholar] [CrossRef]
- Lindner-Cendrowska, K.; Broede, P. Impact of biometeorological conditions and air pollution on influenza-like illnesses incidence in Warsaw. Int. J. Biometeorol. 2021, 65, 929–944. [Google Scholar] [CrossRef]
- Song, Y.; Zhang, Y.; Wang, T.; Qian, S.; Wang, S. Spatio-temporal Differentiation in the Incidence of Influenza and Its Relationship with Air Pollution in China from 2004 to 2017. Chin. Geogr. Sci. 2021, 31, 815–828. [Google Scholar] [CrossRef] [PubMed]
- Huang, L.; Zhou, L.; Chen, J.; Chen, K.; Liu, Y.; Chen, X.; Tang, F. Acute effects of air pollution on influenza-like illness in Nanjing, China: A population-based study. Chemosphere 2016, 147, 180–187. [Google Scholar] [CrossRef] [PubMed]
- Liu, X.-X.; Li, Y.; Qin, G.; Zhu, Y.; Li, X.; Zhang, J.; Zhao, K.; Hu, M.; Wang, X.-L.; Zheng, X. Effects of air pollutants on occurrences of influenza-like illness and laboratory-confirmed influenza in Hefei, China. Int. J. Biometeorol. 2019, 63, 51–60. [Google Scholar] [CrossRef] [PubMed]
- Chen, G.; Zhang, W.; Li, S.; Zhang, Y.; Williams, G.; Huxley, R.; Ren, H.; Cao, W.; Guo, Y. The impact of ambient fine particles on influenza transmission and the modification effects of temperature in China: A multi-city study. Env. Int. 2017, 98, 82–88. [Google Scholar] [CrossRef] [PubMed]
- Wang, Q.; Feng, H.; Feng, H.; Yu, Y.; Li, J.; Ning, E. The impacts of road traffic on urban air quality in Jinan based GWR and remote sensing. Sci. Rep. 2021, 11, 15512. [Google Scholar] [CrossRef]
- Bell, M.L.; Samet, J.M.; Dominici, F. Time-series studies of particulate matter. Annu Rev. Public Health 2004, 25, 247–280. [Google Scholar] [CrossRef]
- Schenker, N.; Gentleman, J.F. On judging the significance of differences by examining the overlap between confidence intervals. Am. Stat. 2001, 55, 182–186. [Google Scholar] [CrossRef]
- Su, W.; Wu, X.; Geng, X.; Zhao, X.; Liu, Q.; Liu, T. The short-term effects of air pollutants on influenza-like illness in Jinan, China. BMC Public Health 2019, 19, 1319. [Google Scholar] [CrossRef]
- Kim, J.; Gomez, R.E.G.; Hong, K.; Yum, S.; Jang, J.; Chun, B.C. Changing influenza activity in the Southern hemisphere countries during the COVID-19 pandemic. Int. J. Infect. Dis. 2021, 108, 109–111. [Google Scholar] [CrossRef]
- Sayed, S.; Diwadkar, A.R.; Dudley, J.W.; O’Brien, J.; Dvorin, D.; Kenyon, C.C.; Himes, B.E.; Hill, D.A.; Henrickson, S.E. COVID-19 Pandemic-Related Reductions in Pediatric Asthma Exacerbations Corresponded with an Overall Decrease in Respiratory Viral Infections. J. Allergy Clin. Immunol. Pr. 2022, 10, 91–99.e12. [Google Scholar] [CrossRef]
- Wang, L.; Wang, K.; Zhong, H.; Zhao, N.; Xu, W.; Yang, Y.; He, Y.; Liu, S. The Effect of Coronavirus 2019 Disease Control Measures on the Incidence of Respiratory Infectious Disease and Air Pollutant Concentrations in the Yangtze River Delta Region, China. Int. J. Env. Res Public Health 2022, 19, 1286. [Google Scholar] [CrossRef] [PubMed]
- Olsen, S.J.; Azziz-Baumgartner, E.; Budd, A.P.; Brammer, L.; Sullivan, S.; Pineda, R.F.; Cohen, C.; Fry, A.M. Decreased Influenza Activity During the COVID-19 Pandemic—United States, Australia, Chile, and South Africa, 2020. Mmwr-Morb. Mortal. Wkly. Rep. 2020, 69, 3681–3685. [Google Scholar] [CrossRef] [PubMed]
- Liao, Q.; Hu, X.; Xue, Q.; Wang, L.; Liu, J.; Wang, S.; Gong, Y.; Nie, S. Short-term impact of air pollutants on influenza-like illness in Yichang City. Chin. J. Environ. Occup. Med. 2018, 35, 879–884, 891. [Google Scholar]
- Jakab, G.J.; Spannhake, E.W.; Canning, B.J.; Kleeberger, S.R.; Gilmour, M.I. The Effects of Ozone on Immune Finction. Environ. Health Perspect. 1995, 103, 77–89. [Google Scholar] [PubMed]
- Tam, W.W.S.; Wong, T.W.; Ng, L.; Wong, S.Y.S.; Kung, K.K.L.; Wong, A.H.S. Association between Air Pollution and General Outpatient Clinic Consultations for Upper Respiratory Tract Infections in Hong Kong. PLoS ONE 2014, 9, e86913. [Google Scholar] [CrossRef]
- Ciencewicki, J.; Jaspers, I. Air pollution and respiratory viral infection. Inhal. Toxicol. 2007, 19, 1135–1146. [Google Scholar] [CrossRef]
- Wang, K.-Y.; Chau, T.-T. An Association between Air Pollution and Daily Outpatient Visits for Respiratory Disease in a Heavy Industry Area. PLoS ONE 2013, 8, e75220. [Google Scholar] [CrossRef]



| Daily Data | Range | Number | Percent (%) |
|---|---|---|---|
| Influenza cases | |||
| Male | 0–66 | 2548 | 53.45 |
| Female | 0–53 | 2219 | 46.55 |
| 0–6 years | 0–76 | 2115 | 44.37 |
| 7–18 years | 0–54 | 1535 | 32.2 |
| 19–59 years | 0–24 | 750 | 15.73 |
| ≥60 years | 0–14 | 367 | 7.70 |
| Parameters | Min | P25 | Median | P75 | Max | Mean (SD) |
|---|---|---|---|---|---|---|
| PM2.5 (μg/m3) | 0 | 24 | 36 | 53 | 211 | 44.01 (32.30) |
| PM10 (μg/m3) | 0 | 49 | 73 | 105 | 282 | 80.39 (48.66) |
| SO2 (μg/m3) | 1 | 8 | 10 | 15 | 46 | 12.21 (5.79) |
| NO2 (μg/m3) | 8 | 22 | 31 | 44 | 86 | 34.29 (15.52) |
| CO (㎎/m3) | 0.3 | 0.6 | 0.8 | 0.9 | 2.4 | 0.83 (0.32) |
| O3 (μg/m3) | 11 | 68.0 | 105.0 | 148.5 | 274 | 110.70 (52.65) |
| Temperature (°C) | −13.55 | 7.6125 | 15.6250 | 24.1875 | 32.15 | 15.32 (9.75) |
| RH (%) | 18 | 40.50 | 57.25 | 71.25 | 98.25 | 56.56 (19.25) |
| Windspeed (m/s) | 0.75 | 1.50 | 2.00 | 2.75 | 5.75 | 2.26 (0.88) |
| PM2.5 (μg/m3) | PM10 (μg/m3) | SO2 (μg/m3) | NO2 (μg/m3) | CO (mg/m3) | O3 (μg/m3) | |
|---|---|---|---|---|---|---|
| Level 1 | 35 | 50 | 50 | 80 | 4 | 100 |
| Level 2 | 75 | 150 | 150 | 80 | 4 | 160 |
| Parameter | PM2.5 | PM10 | SO2 | NO2 | CO | O3 | Temperature | Relative Humidity |
|---|---|---|---|---|---|---|---|---|
| PM2.5 | ||||||||
| PM10 | 0.848 | |||||||
| SO2 | 0.546 | 0.595 | ||||||
| NO2 | 0.583 | 0.598 | 0.641 | |||||
| CO | 0.761 | 0.631 | 0.657 | 0.757 | ||||
| O3 | −0.152 | −0.097 | −0.282 | −0.443 | −0.334 | |||
| Temperature | −0.354 | −0.297 | −0.492 | −0.498 | −0.446 | 0.775 | ||
| Relative humidity | 0.058 | −0.128 | −0.402 | −0.111 | 0.098 | −0.031 | 0.168 | |
| Wind speed | −0.199 | −0.123 | −0.096 | −0.351 | −0.346 | 0.187 | 0.135 | −0.350 |
Disclaimer/Publisher’s Note: The statements, opinions and data contained in all publications are solely those of the individual author(s) and contributor(s) and not of MDPI and/or the editor(s). MDPI and/or the editor(s) disclaim responsibility for any injury to people or property resulting from any ideas, methods, instructions or products referred to in the content. |
© 2022 by the authors. Licensee MDPI, Basel, Switzerland. This article is an open access article distributed under the terms and conditions of the Creative Commons Attribution (CC BY) license (https://creativecommons.org/licenses/by/4.0/).
Share and Cite
Chen, F.; Liu, Z.; Huang, T.; Wang, B.; Sun, Z.; Gao, X.; Wang, W. Short-Term Effects of Air Pollution on the Risk of Influenza in Jinan, China during 2020–2021: A Time-Series Analysis. Atmosphere 2023, 14, 53. https://doi.org/10.3390/atmos14010053
Chen F, Liu Z, Huang T, Wang B, Sun Z, Gao X, Wang W. Short-Term Effects of Air Pollution on the Risk of Influenza in Jinan, China during 2020–2021: A Time-Series Analysis. Atmosphere. 2023; 14(1):53. https://doi.org/10.3390/atmos14010053
Chicago/Turabian StyleChen, Fangfang, Zhong Liu, Ting Huang, Baoyu Wang, Zhan Sun, Xibao Gao, and Weiru Wang. 2023. "Short-Term Effects of Air Pollution on the Risk of Influenza in Jinan, China during 2020–2021: A Time-Series Analysis" Atmosphere 14, no. 1: 53. https://doi.org/10.3390/atmos14010053
APA StyleChen, F., Liu, Z., Huang, T., Wang, B., Sun, Z., Gao, X., & Wang, W. (2023). Short-Term Effects of Air Pollution on the Risk of Influenza in Jinan, China during 2020–2021: A Time-Series Analysis. Atmosphere, 14(1), 53. https://doi.org/10.3390/atmos14010053

