Characterizing Real-World Particle-Bound Polycyclic Aromatic Hydrocarbon Emissions from Diesel-Fueled Construction Machines
Abstract
:1. Introduction
2. Materials and Methods
2.1. Test Machines and Emission Sampling
2.2. Real-World Emissions Measurement
2.3. Analysis of Particle-Bound PAHs
2.4. Toxic Equivalent Emission Factors of PAHs
3. Results and Discussion
3.1. Operation Mode Characterization
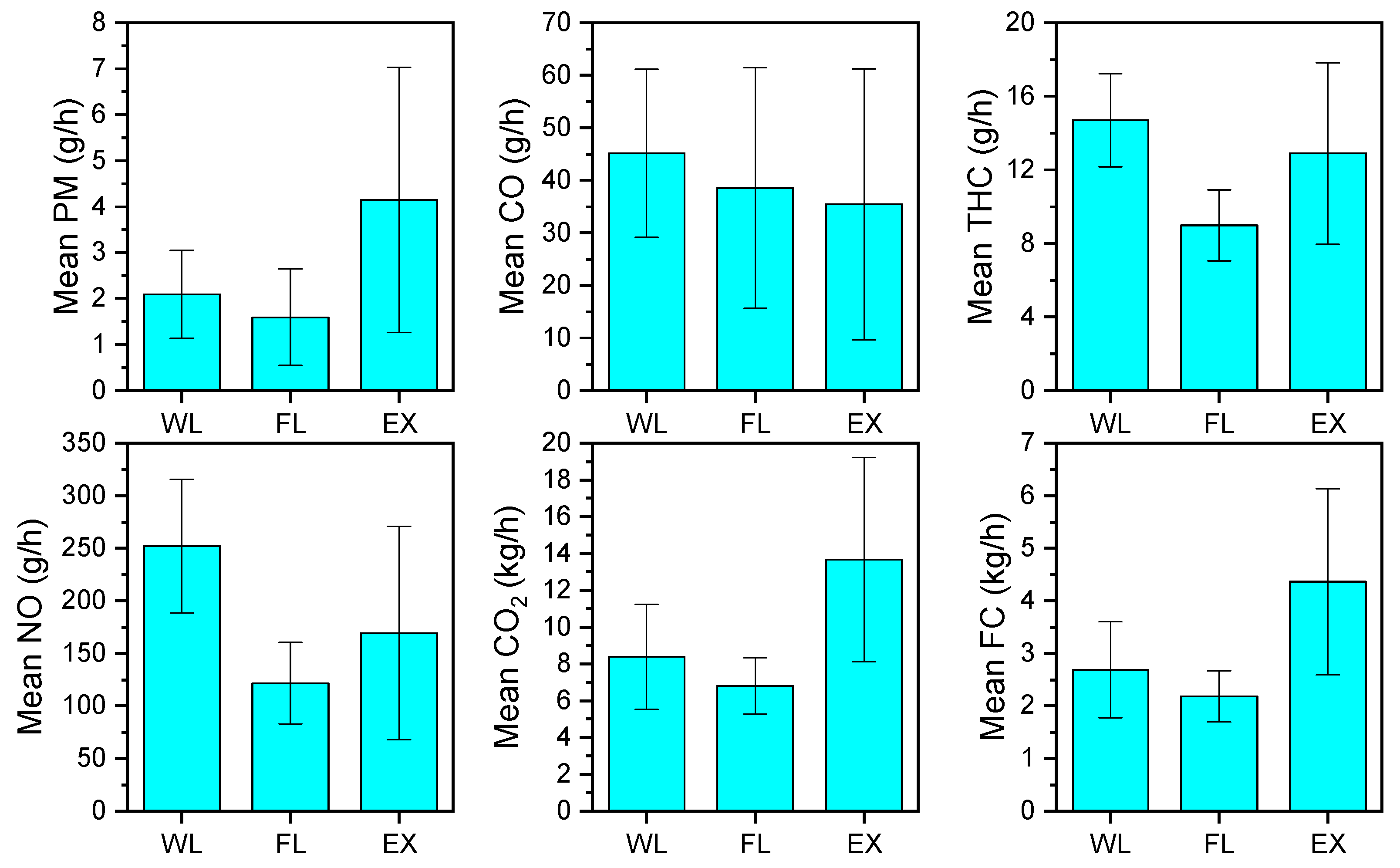
3.2. PM and Gaseous Pollutant Emission Factors
3.3. PAH Emission Factors
3.4. Toxic Equivalent Emission Factors of PAHs
4. Conclusions
Supplementary Materials
Author Contributions
Funding
Institutional Review Board Statement
Informed Consent Statement
Data Availability Statement
Conflicts of Interest
References
- Yan, F.; Winijkul, E.; Streets, D.G.; Lu, Z.; Bond, T.C.; Zhang, Y. Global emission projections for the transportation sector using dynamic technology modeling. Atmos. Chem. Phys. 2014, 14, 5709–5733. [Google Scholar] [CrossRef] [Green Version]
- Desouza, C.D.; Marsh, D.J.; Beevers, S.D.; Molden, N.; Green, D.C. Real-world emissions from non-road mobile machinery in London. Atmos. Environ. 2020, 223, 117301. [Google Scholar] [CrossRef]
- Pang, K.; Zhang, K.; Ma, S. Tailpipe emission characterizations of diesel-fueled forklifts under real-world operations using a portable emission measurement system. J. Environ. Sci. 2021, 100, 34–42. [Google Scholar] [CrossRef] [PubMed]
- Yu, F.; Li, C.; Liu, J.; Liao, S.; Zhu, M.; Xie, Y.; Sha, Q.; Huang, Z.; Zheng, J. Characterization of particulate smoke and the potential chemical fingerprint of non-road construction equipment exhaust emission in China. Sci. Total Environ. 2020, 723, 137967. [Google Scholar] [CrossRef] [PubMed]
- Cao, T.; Durbin, T.D.; Russell, R.L.; Cocker, D.R.; Scora, G.; Maldonado, H.; Johnson, K.C. Evaluations of in-use emission factors from off-road construction equipment. Atmos. Environ. 2016, 147, 234–245. [Google Scholar] [CrossRef] [Green Version]
- Qi, L.; Liu, H.; Shen, X.; Fu, M.; Huang, F.; Man, H.; Deng, F.; Shaikh, A.A.; Wang, X.; Dong, R.; et al. Intermediate-volatility organic compound emissions from nonroad construction machinery under different operation modes. Environ. Sci. Technol. 2019, 53, 13832–13840. [Google Scholar] [CrossRef]
- Hu, Q.; Huang, C.; Qiao, L.; Ma, Y.; Yang, Q.; Tang, W.; Zhou, M.; Zhu, S.; Lou, S.; Tao, S.; et al. Speciated PM composition and gas and particle emission factors for diesel construction machinery in China. Aerosol Air Qual. Res. 2019, 19, 1820–1833. [Google Scholar] [CrossRef] [Green Version]
- Liu, Y.; Zhang, W.; Yang, W.; Bai, Z.; Zhao, X. Chemical compositions of PM2.5 emitted from diesel trucks and construction equipment. Aerosol Sci. Eng. 2018, 2, 51–60. [Google Scholar] [CrossRef] [Green Version]
- Jung, S.; Kim, S.; Lim, Y.; Lee, J.; Chung, T.; Hong, H.; Mun, S.; Lee, S.; Jang, W.; Lim, J. Emission characteristics of hazardous air pollutants from construction equipment. Aerosol Air Qual. Res. 2020, 20, 2012–2024. [Google Scholar] [CrossRef]
- Frey, H.C.; Rasdorf, W.; Lewis, P. Comprehensive field study of fuel use and emissions of nonroad diesel construction equipment. Transp. Res. Rec. J. Transp. Res. Board 2010, 2158, 69–76. [Google Scholar] [CrossRef]
- Tu, R.; Li, T.; Meng, C.; Chen, J.; Sheng, Z.; Xie, Y.; Xie, F.; Yang, F.; Chen, H.; Li, Y.; et al. Real-world emissions of construction mobile machines and comparison to a non-road emission model. Sci. Total Environ. 2021, 771, 145365. [Google Scholar] [CrossRef] [PubMed]
- Cao, T.; Russell, R.L.; Durbin, T.D.; Cocker, D.R.; Burnette, A.; Calavita, J.; Maldonado, H.; Johnson, K.C. Characterization of the emissions impacts of hybrid excavators with a portable emissions measurement system (PEMS)-based methodology. Sci. Total Environ. 2018, 635, 112–119. [Google Scholar] [CrossRef] [PubMed] [Green Version]
- Fu, M.; Ge, Y.; Tan, J.; Zeng, T.; Liang, B. Characteristics of typical non-road machinery emissions in China by using portable emission measurement system. Sci. Total Environ. 2012, 437, 255–261. [Google Scholar] [CrossRef] [PubMed]
- Zavala, M.; Huertas, J.I.; Prato, D.; Jazcilevich, A.; Aguilar, A.; Balam, M.; Misra, C.; Molina, L.T. Real-world emissions of in-use off-road vehicles in Mexico. J. Air Waste Manag. Assoc. 2017, 67, 958–972. [Google Scholar] [CrossRef] [Green Version]
- Martin, N.; Lombard, M.; Jensen, K.R.; Kelley, P.; Pratt, T.; Traviss, N. Effect of biodiesel fuel on “real-world”, nonroad heavy duty diesel engine particulate matter emissions, composition and cytotoxicity. Sci. Total Environ. 2017, 586, 409–418. [Google Scholar] [CrossRef] [PubMed]
- Lewis, P.; Leming, M.; Rasdorf, W. Impact of engine idling on fuel use and CO2 emissions of nonroad diesel construction equipment. J. Manag. Eng. 2012, 28, 31–38. [Google Scholar] [CrossRef]
- Peng, Z.; Ge, Y.; Tan, J.; Fu, M.; Wang, X.; Chen, M.; Lu, Y.; Wu, Y. Real-world emission from in-use construction equipment in China. Aerosol Air Qual. Res. 2016, 16, 1893–1902. [Google Scholar] [CrossRef] [Green Version]
- Nisbet, I.C.T.; LaGoy, P.K. Toxic equivalency factors (TEFs) for polycyclic aromatic hydrocarbons (PAHs). Regul. Toxicol. Pharmacol. 1992, 16, 290–300. [Google Scholar] [CrossRef]
- Dhital, N.B.; Wang, S.X.; Lee, C.H.; Su, J.; Tsai, M.Y.; Jhou, Y.J.; Yang, H.H. Effects of driving behavior on real-world emissions of particulate matter, gaseous pollutants and particle-bound PAHs for diesel trucks. Environ. Pollut. 2021, 286, 117292. [Google Scholar] [CrossRef]
- Yang, H.H.; Dhital, N.B.; Cheruiyot, N.K.; Wang, L.C.; Wang, S.X. Effects of road grade on real-world tailpipe emissions of regulated gaseous pollutants and volatile organic compounds for a Euro 5 motorcycle. Atmos. Pollut. Res. 2021, 12, 101167. [Google Scholar] [CrossRef]
- Zhang, Q.; Yang, L.; Ma, C.; Zhang, Y.; Wu, L.; Mao, H. Emission characteristics and chemical composition of particulate matter emitted by typical non-road construction machinery. Atmos. Pollut. Res. 2019, 11, 679–685. [Google Scholar] [CrossRef]
- Katsoyiannis, A.; Sweetman, A.J.; Jones, K.C. PAH molecular diagnostic ratios applied to atmospheric sources: A critical evaluation using two decades of source inventory and air concentration data from the UK. Environ. Sci. Technol. 2011, 45, 8897–8906. [Google Scholar] [CrossRef] [PubMed]
- Lin, Y.C.; Li, Y.C.; Amesho, K.T.T.; Chou, F.C.; Cheng, P.C. Characterization and quantification of PM2.5 emissions and PAHs concentration in PM2.5 from the exhausts of diesel vehicles with various accumulated mileages. Sci. Total Environ. 2019, 660, 188–198. [Google Scholar] [CrossRef]
- Zheng, X.; Wu, Y.; Zhang, S.; Hu, J.; Zhang, K.M.; Li, Z.; He, L.; Hao, J. Characterizing particulate polycyclic aromatic hydrocarbon emissions from diesel vehicles using a portable emissions measurement system. Sci. Rep. 2017, 7, 10058. [Google Scholar] [CrossRef] [PubMed]






| ID | Type | Brand | Model | DV 1 (L) | Rated Power (kW) | Accumulated Work (h) |
|---|---|---|---|---|---|---|
| WL | Wheel loader | TCM | STD30 | 6.5 | 55.9 | 16,100 |
| FL | Forklift | Toyota | FD25 | 2.5 | 40.3 | 21,700 |
| EX | Excavator | Komatsu | PC120 | 3.3 | 64.1 | 16,150 |
| Equipment/Data Source | PM | CO | THC | NO | CO2 |
|---|---|---|---|---|---|
| WL (present study) | 0.916 ± 0.623 | 17.0 ± 2.36 | 5.77 ± 1.39 | 96.8 ± 17.3 | 3112 ± 5.75 |
| FL (present study) | 0.712 ± 0.331 | 17.9 ± 10.2 | 4.18 ± 0.788 | 57.8 ± 19.7 | 3115 ± 16.2 |
| EX (present study) | 1.17 ± 1.07 | 8.27 ± 4.09 | 3.04 ± 0.543 | 38.1 ± 17.4 | 3134 ± 5.76 |
| Pang et al. (2021) [3] 1 | 2.8–7.7 | 15.5–23.2 | 5.8–8.2 | 21.8–27.5 | 3100 |
| Hu et al. (2019) [7] 2 | 0.1–0.7 | 3.9–21.0 | 3.7–9.5 | 31.5–86.0 3 | – |
| Cao et al. (2016) [5] 4 | 0.001–5.06 | –0.737–19.1 | 0.177–3.50 | 7.62–31.3 3 | 3123–3192 |
| Frey et al. (2010) [10] 5 | – | 2.17–52.8 | 1.55–23.9 | 20.2–66.7 3 | – |
| Emission Factor Type | Emission Parameters | WL | FL | EX |
|---|---|---|---|---|
| Time-specific | PM | 45.7 | 65.7 | 69.4 |
| CO | 35.4 | 59.5 | 72.8 | |
| CO2 | 34.1 | 22.5 | 40.7 | |
| THC | 17.2 | 21.6 | 38.3 | |
| NO | 25.3 | 31.9 | 60.1 | |
| Fuel-specific | PM | 68.1 | 46.5 | 90.8 |
| CO | 13.9 | 57.0 | 49.4 | |
| CO2 | 0.185 | 0.519 | 0.184 | |
| THC | 24.0 | 18.8 | 17.8 | |
| NO | 17.9 | 34.1 | 45.5 |
| PAHs | Time-Specific Toxic Emission Factor 1 | Fuel-Specific Toxic Emission Factor 2 | ||||
|---|---|---|---|---|---|---|
| WL | FL | EX | WL | FL | EX | |
| 2-ring PAHs | ||||||
| Nap | 42.9 | 25.0 | 62.7 | 17.4 | 11.9 | 11.0 |
| 3-ring PAHs | ||||||
| Acy | – 3 | – | – | – | – | – |
| Ace | – | – | – | – | – | – |
| Fl | – | – | – | – | – | – |
| Phe | – | 4.0 | 16.2 | – | 2.76 | 2.43 |
| Ant | – | – | – | – | – | – |
| Flu | 39.2 | 51.5 | 163 | 17.3 | 26.6 | 26.6 |
| Pyr | 103 | 123 | 448 | 47.2 | 60.6 | 73.4 |
| 4-ring PAHs | ||||||
| BaA | 3383 | 829 | 1866 | 1406 | 530 | 300 |
| Chr | 746 | 563 | 1053 | 326 | 285 | 178 |
| 5-ring PAHs | ||||||
| BbF | 3253 | 2026 | 4402 | 1303 | 1073 | 736 |
| BkF | 6729 | 4515 | 3983 | 2836 | 2298 | 691 |
| BaP | 42,217 | 23,154 | 34,341 | 17,650 | 11,168 | 5873 |
| DahA | – | – | – | – | – | – |
| 6-ring PAHs | ||||||
| IcdP | 3702 | 787 | – | 1630 | 542 | – |
| BghiP | 645 | 255 | 131 | 263 | 136 | 26.1 |
| ΣPAHs | 60,860 | 32,333 | 46,467 | 25,495 | 16,134 | 7918 |
Publisher’s Note: MDPI stays neutral with regard to jurisdictional claims in published maps and institutional affiliations. |
© 2022 by the authors. Licensee MDPI, Basel, Switzerland. This article is an open access article distributed under the terms and conditions of the Creative Commons Attribution (CC BY) license (https://creativecommons.org/licenses/by/4.0/).
Share and Cite
Dhital, N.B.; Wang, L.-C.; Yang, H.-H.; Cheruiyot, N.K.; Lee, C.-H. Characterizing Real-World Particle-Bound Polycyclic Aromatic Hydrocarbon Emissions from Diesel-Fueled Construction Machines. Atmosphere 2022, 13, 766. https://doi.org/10.3390/atmos13050766
Dhital NB, Wang L-C, Yang H-H, Cheruiyot NK, Lee C-H. Characterizing Real-World Particle-Bound Polycyclic Aromatic Hydrocarbon Emissions from Diesel-Fueled Construction Machines. Atmosphere. 2022; 13(5):766. https://doi.org/10.3390/atmos13050766
Chicago/Turabian StyleDhital, Narayan Babu, Lin-Chi Wang, Hsi-Hsien Yang, Nicholas Kiprotich Cheruiyot, and Che-Hsuan Lee. 2022. "Characterizing Real-World Particle-Bound Polycyclic Aromatic Hydrocarbon Emissions from Diesel-Fueled Construction Machines" Atmosphere 13, no. 5: 766. https://doi.org/10.3390/atmos13050766
APA StyleDhital, N. B., Wang, L.-C., Yang, H.-H., Cheruiyot, N. K., & Lee, C.-H. (2022). Characterizing Real-World Particle-Bound Polycyclic Aromatic Hydrocarbon Emissions from Diesel-Fueled Construction Machines. Atmosphere, 13(5), 766. https://doi.org/10.3390/atmos13050766

